上一章分析基本神经网络以及怎么训练网络过程。里面有用到提到BP (反向传播的求解)
1)BP 其实是一种思想
首先我们看一个计算式子
e
=
(
a
+
b
)
∗
(
b
+
1
)的
图模型:如下左图所示,
其中,
c
,
d
表示中间结果,边的方向表示一个结点是另一个结点的输入。
假设输入变量
a
=
2
,
b
=
1
时,图中各结点的偏导计算结果如下:
对比两张图,发现第二张图都已经求出离e对各变量的导数,而第一张图,如果需要求出变量是需要重复步骤。BP算法只是减少了计算,并不是说正向传播不能解决问题。
2)为啥需要BP
需要BP的原因是需要训练参数w,怎么求w
3)代价函数
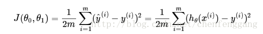
我们希望对于输入x ,产生的y尽可能与期望的y相等。或者说我们希望下面的表达式最小。
、

求解最小问题就需要求导。
4)完整BP过程
Calculus on Computational Graphs: Backpropagation
http://colah.github.io/posts/2015-08-Backprop/
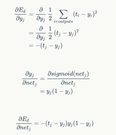
5)基于sigmoid的BP过程
对于目标函数:代价函数

需要求解,如下η表示步长,由用户设定,右边wji表示前一次的参数,初始值为0,
发现是不是都是关于E对w的求导。符号第一点的要求。
定义变量&4,,,&8
观察上图,我们发现权重
wji仅能通过
影响节点j
的输入值影响网络的其它部分(
前面只能影响后面),设
netj是节点
j
的加权输入,即
链式求导
1)
输出层权值训练
有:

分别求解:
则:
有:
得到输出层的方程
2)隐藏层权值训练
隐含层:
3)结论:

当输出层时:
当隐含层时:
到此推导过程结束
最后推荐一篇文章,里面包含更详细的说明:
http://www.52nlp.cn/tag/backpropagation
最后
以上就是冷傲汉堡最近收集整理的关于深度学习笔记(三)back propagation(BP) 原理和求解过程的全部内容,更多相关深度学习笔记(三)back内容请搜索靠谱客的其他文章。
本图文内容来源于网友提供,作为学习参考使用,或来自网络收集整理,版权属于原作者所有。
发表评论 取消回复