ref:http://www.cnblogs.com/BYRans/p/4905420.html
多分类问题
在一个多分类问题中,因变量y有k个取值。例如在邮件分类问题中,我们要把邮件分为垃圾邮件、个人邮件、工作邮件3类,目标值y是一个有3个取值的离散值。这是一个多分类问题,二分类模型在这里不太适用。
多分类问题符合多项分布。有许多算法可用于解决多分类问题,像决策树、朴素贝叶斯等。这篇文章主要讲解多分类算法中的Softmax回归(Softmax Regression)
推导思路为:首先证明多项分布属于指数分布族(The exponential family),这样就可以使用广义线性模型(GLMs)来拟合这个多项分布,由广义线性模型推导出的目标函数hθ(x)即为Softmax回归的分类模型。
多分类模型的输出结果为该样本属于k个类别的概率,从这k个概率中我们选择最优的概率对应的类别(通常选概率最大的类别),作为该样本的预测类别。这k个概率用k个变量表示如下。这个k变量和为1,即满足:
且
使用广义线性模型拟合这个多分类问题,首先要验证这个多项分布是否符合一个指数分布族。定义T(y)为:
在这里,统计分量T(y)并没有像之前那样定义为T(y)=y,因为T(y)不是一个数值,而是一个k-1维的向量。使用符号(T(y))i表示向量T(y)的第i个元素。
在这里引入一个新符号1{Boolean},如果括号内为true则这个符号取1,反之取0,即1{true}=1,1{false}=0。
所以,T(y)与y的关系就可以表示为(T(y))i=1{y=i}.
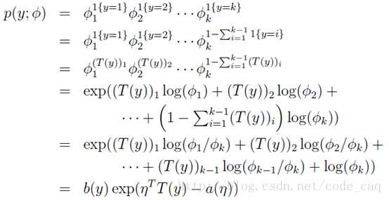
多项分布表达式转化为指数分布族表达式过程如下:
其中:
多项分布表达式可以表示为指数分布族表达式的格式,所以它属于指数分布族,那么就可以用广义线性模型(GLMs)来拟合这个多项式分布模型。
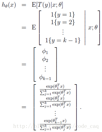
目标函数hθ(x)推到如下:

参数θ估计——极大似然估计(可利用GA法或Newton法)
有m个训练样本,似然函数:

最后
以上就是爱笑过客最近收集整理的关于多分类问题Softmax Regression的全部内容,更多相关多分类问题Softmax内容请搜索靠谱客的其他文章。
发表评论 取消回复