Softmax Regression是 Logistic Regression的推广
假设我们有训练集
Logistic Regression:
对于每个特征
,标签

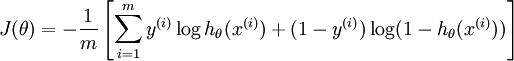
![begin{align}J(theta) = -frac{1}{m} left[ sum_{i=1}^m y^{(i)} log h_theta(x^{(i)}) + (1-y^{(i)}) log (1-h_theta(x^{(i)})) right]end{align}](https://www.shuijiaxian.com/files_image/2023110822/202311082206121634320.png)
![begin{align}J(theta) &= -frac{1}{m} left[ sum_{i=1}^m (1-y^{(i)}) log (1-h_theta(x^{(i)})) + y^{(i)} log h_theta(x^{(i)}) right] \&= - frac{1}{m} left[ sum_{i=1}^{m} sum_{j=0}^{1} 1left{y^{(i)} = jright} log p(y^{(i)} = j | x^{(i)} ; theta) right]end{align}](https://www.shuijiaxian.com/files_image/2023110822/202311082206136049799.png)
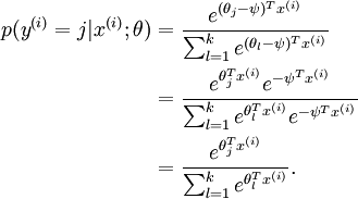
Softmax Regression:
对于每个特征
,标签

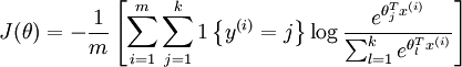
![begin{align}J(theta) = - frac{1}{m} left[ sum_{i=1}^{m} sum_{j=1}^{k} 1left{y^{(i)} = jright} log frac{e^{theta_j^T x^{(i)}}}{sum_{l=1}^k e^{ theta_l^T x^{(i)} }}right]end{align}](https://www.shuijiaxian.com/files_image/2023110822/202311082206255149261.png)
Softmax Regression有一个很特别地性质:过参数化

可以看到参数减去任意的一个值并不影响我们的假设,也就是说有很多歌参数满足我们的假设
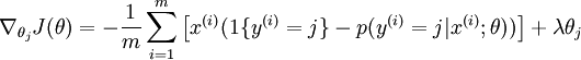
为了避免过大参数的影响,
![begin{align}J(theta) = - frac{1}{m} left[ sum_{i=1}^{m} sum_{j=1}^{k} 1left{y^{(i)} = jright} log frac{e^{theta_j^T x^{(i)}}}{sum_{l=1}^k e^{ theta_l^T x^{(i)} }} right] + frac{lambda}{2} sum_{i=1}^k sum_{j=0}^n theta_{ij}^2end{align}](https://www.shuijiaxian.com/files_image/2023110822/202311082206283952954.png)
![begin{align}nabla_{theta_j} J(theta) = - frac{1}{m} sum_{i=1}^{m}{ left[ x^{(i)} ( 1{ y^{(i)} = j} - p(y^{(i)} = j | x^{(i)}; theta) ) right] } + lambda theta_jend{align}](https://www.shuijiaxian.com/files_image/2023110822/202311082206285273107.png)
参考练习:
http://deeplearning.stanford.edu/wiki/index.php/Exercise:Softmax_Regression
实验步骤:
0. 初始化参数和常亮
1.载入数据
2.计算代价函数
3.Gradient checking
4.训练
5.测试
%% CS294A/CS294W Softmax Exercise
% Instructions
% ------------
%
% This file contains code that helps you get started on the
% softmax exercise. You will need to write the softmax cost function
% in softmaxCost.m and the softmax prediction function in softmaxPred.m.
% For this exercise, you will not need to change any code in this file,
% or any other files other than those mentioned above.
% (However, you may be required to do so in later exercises)
%%======================================================================
%% STEP 0: Initialise constants and parameters
%
% Here we define and initialise some constants which allow your code
% to be used more generally on any arbitrary input.
% We also initialise some parameters used for tuning the model.
inputSize = 28 * 28; % Size of input vector (MNIST images are 28x28)
numClasses = 10; % Number of classes (MNIST images fall into 10 classes)
lambda = 1e-4; % Weight decay parameter
%%======================================================================
%% STEP 1: Load data
%
% In this section, we load the input and output data.
% For softmax regression on MNIST pixels,
% the input data is the images, and
% the output data is the labels.
%
% Change the filenames if you've saved the files under different names
% On some platforms, the files might be saved as
% train-images.idx3-ubyte / train-labels.idx1-ubyte
images = loadMNISTImages('train-images-idx3-ubyte');
labels = loadMNISTLabels('train-labels-idx1-ubyte');
labels(labels==0) = 10; % Remap 0 to 10
inputData = images;
% For debugging purposes, you may wish to reduce the size of the input data
% in order to speed up gradient checking.
% Here, we create synthetic dataset using random data for testing
DEBUG = true; % Set DEBUG to true when debugging.
if DEBUG
inputSize = 8;
inputData = randn(8, 100);
labels = randi(10, 100, 1);
end
% Randomly initialise theta
theta = 0.005 * randn(numClasses * inputSize, 1);
%%======================================================================
%% STEP 2: Implement softmaxCost
%
% Implement softmaxCost in softmaxCost.m.
[cost, grad] = softmaxCost(theta, numClasses, inputSize, lambda, inputData, labels);
%%======================================================================
%% STEP 3: Gradient checking
%
% As with any learning algorithm, you should always check that your
% gradients are correct before learning the parameters.
%
if DEBUG
numGrad = computeNumericalGradient( @(x) softmaxCost(x, numClasses, ...
inputSize, lambda, inputData, labels), theta);
% Use this to visually compare the gradients side by side
disp([numGrad grad]);
% Compare numerically computed gradients with those computed analytically
diff = norm(numGrad-grad)/norm(numGrad+grad);
disp(diff);
% The difference should be small.
% In our implementation, these values are usually less than 1e-7.
% When your gradients are correct, congratulations!
end
%%======================================================================
%% STEP 4: Learning parameters
%
% Once you have verified that your gradients are correct,
% you can start training your softmax regression code using softmaxTrain
% (which uses minFunc).
options.maxIter = 100;
softmaxModel = softmaxTrain(inputSize, numClasses, lambda, ...
inputData, labels, options);
% Although we only use 100 iterations here to train a classifier for the
% MNIST data set, in practice, training for more iterations is usually
% beneficial.
%%======================================================================
%% STEP 5: Testing
%
% You should now test your model against the test images.
% To do this, you will first need to write softmaxPredict
% (in softmaxPredict.m), which should return predictions
% given a softmax model and the input data.
images = loadMNISTImages('mnist/t10k-images-idx3-ubyte');
labels = loadMNISTLabels('mnist/t10k-labels-idx1-ubyte');
labels(labels==0) = 10; % Remap 0 to 10
inputData = images;
% You will have to implement softmaxPredict in softmaxPredict.m
[pred] = softmaxPredict(softmaxModel, inputData);
acc = mean(labels(:) == pred(:));
fprintf('Accuracy: %0.3f%%n', acc * 100);
% Accuracy is the proportion of correctly classified images
% After 100 iterations, the results for our implementation were:
%
% Accuracy: 92.200%
%
% If your values are too low (accuracy less than 0.91), you should check
% your code for errors, and make sure you are training on the
% entire data set of 60000 28x28 training images
% (unless you modified the loading code, this should be the case)
function [cost, grad] = softmaxCost(theta, numClasses, inputSize, lambda, data, labels)
% numClasses - the number of classes
% inputSize - the size N of the input vector
% lambda - weight decay parameter
% data - the N x M input matrix, where each column data(:, i) corresponds to
% a single test set
% labels - an M x 1 matrix containing the labels corresponding for the input data
%
% Unroll the parameters from theta
theta = reshape(theta, numClasses, inputSize);
numCases = size(data, 2);
groundTruth = full(sparse(labels, 1:numCases, 1));
cost = 0;
thetagrad = zeros(numClasses, inputSize);
%% ---------- YOUR CODE HERE --------------------------------------
% Instructions: Compute the cost and gradient for softmax regression.
% You need to compute thetagrad and cost.
% The groundTruth matrix might come in handy.
M = bsxfun(@minus, theta*data,max((theta*data),[],1));
M = exp(M);
p = bsxfun(@rdivide, M, sum(M));
cost = -1/numCases * groundTruth(:)'*log(p(:)) + lamda/2 * sum(theta(:)).^2;
thetagrad = -1/numCases * (groundTruth - p) *data' + lamda*theta;
% ------------------------------------------------------------------
% Unroll the gradient matrices into a vector for minFunc
grad = [thetagrad(:)];
end
function [softmaxModel] = softmaxTrain(inputSize, numClasses, lambda, inputData, labels, options)%softmaxTrain Train a softmax model with the given parameters on the given% data. Returns softmaxOptTheta, a vector containing the trained parameters% for the model.%% inputSize: the size of an input vector x^(i)% numClasses: the number of classes % lambda: weight decay parameter% inputData: an N by M matrix containing the input data, such that% inputData(:, c) is the cth input% labels: M by 1 matrix containing the class labels for the% corresponding inputs. labels(c) is the class label for% the cth input% options (optional): options% options.maxIter: number of iterations to train forif ~exist('options', 'var') options = struct;endif ~isfield(options, 'maxIter') options.maxIter = 400;end% initialize parameterstheta = 0.005 * randn(numClasses * inputSize, 1);% Use minFunc to minimize the functionaddpath minFunc/options.Method = 'lbfgs'; % Here, we use L-BFGS to optimize our cost % function. Generally, for minFunc to work, you % need a function pointer with two outputs: the % function value and the gradient. In our problem, % softmaxCost.m satisfies this.minFuncOptions.display = 'on';[softmaxOptTheta, cost] = minFunc( @(p) softmaxCost(p, ... numClasses, inputSize, lambda, ... inputData, labels), ... theta, options);% Fold softmaxOptTheta into a nicer formatsoftmaxModel.optTheta = reshape(softmaxOptTheta, numClasses, inputSize);softmaxModel.inputSize = inputSize;softmaxModel.numClasses = numClasses; end
最后
以上就是温婉小蝴蝶最近收集整理的关于深度学习基础(五)Softmax Regression的全部内容,更多相关深度学习基础(五)Softmax内容请搜索靠谱客的其他文章。
发表评论 取消回复