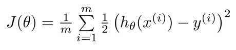
一般的线性回归使用的cost function为:

但由于logistic function:

本身非凸函数(convex function), 如果直接使用线性回归的cost function的话,很难到达全局最优解。
相反,很容易陷入局部最优解然后就认为到达收敛条件了。因此,logistic regression中使用的cost function为:

其图像为一个碗(bowl shape function),碗的底部为(1,0)。可以看出:当预测正确且非常自信时(h(x) = y),
cost function 为0; 当完全预测错误且非常自信时(h(x) = !y), cost function 为 inf。
转载于:https://www.cnblogs.com/instant7/p/4093435.html
最后
以上就是怡然饼干最近收集整理的关于logistic regression中的cost function选择的全部内容,更多相关logistic内容请搜索靠谱客的其他文章。
本图文内容来源于网友提供,作为学习参考使用,或来自网络收集整理,版权属于原作者所有。
发表评论 取消回复