Logistic Regression
前面我们讨论的都是supervised learning中的regression问题,而还有另一类问题叫做classification,这类问题的输出只有0或1,显然就需要用其他方法来解决这类问题。
模型
在线性回归中,我们用h(x)来代表我们的假设函数,这里输出就是我们想要的结果,在逻辑回归里,因为输出项只有0或者1,所以我们需要对这个函数做一下修改,使它产生的输出也是0到1.然后如果h(x)的值大于0.5,代表y为1,h(x)小于0.5,代表y为0.
原来的
h
(
x
)
=
θ
T
X
h(x) = θ^TX
h(x)=θTX我们现在利用一个新的函数叫sigmoid function
g
(
z
)
=
1
1
+
e
−
z
g(z) = frac{1}{1+e^{-z}}
g(z)=1+e−z1
然后得到我们新的h(x)
h
(
x
)
=
g
(
θ
T
X
)
h(x) = g(θ^TX)
h(x)=g(θTX)
这个函数就满足了我们上述的要求,我们也用这个函数来代表逻辑回归中的假设函数
Decision Boundary

上图是g(z)的图像,如果我们想要最后得到1,即h(x)>0.5,根据图像,我们知道只需让θ^TX>0
例如

这是我们的h(x),假设θ的三个参数为-3,1,1,那么能得到下面的等式

x
1
+
x
2
=
3
x1+x2 = 3
x1+x2=3这个等式就叫做decision boundary,它就区分了我们的不同类,如下图

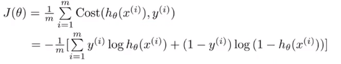
Cost Function
在线性回归中,我们定义的代价函数如下

如果我们继续用这个函数来定义逻辑回归的代价函数,就会出现一个问题,这是一个non-convex function,我们不能保证每次求得的是全局最优解,我们需要重新定义一个代价函数


怎么想到这个函数,这里用到了极大似然估计和凸优化,我们只需要记住理解这个函数,这个函数最大的好处就是他是一个凸函数,没有局部最优解。
得到了代价函数,我们就可以用梯度下降的方法求出参数θ。
最后
以上就是忐忑导师最近收集整理的关于【吴恩达机器学习】学习笔记 (逻辑回归 logistic regression)Logistic Regression的全部内容,更多相关【吴恩达机器学习】学习笔记内容请搜索靠谱客的其他文章。
发表评论 取消回复