参考视频按特定轴求和_哔哩哔哩_bilibili
目录
一、自动求导
◼ 相关知识
# 计算图
# 反向累积
◼ 自动求导代码实现
二、线性回归
◼ 举例:房价预测
# 线性回归模型
# 训练数据
# 参数学习
# 显示解(最优解)
# 线性回归总结
三、单元线性回归实现:糖尿病例子
◼ 生成数据集
# np.newaxis
# 比较两个数组是否等同
# 随机采样
# 将数组打乱随机排列
◼ 训练集与测试集的划分
◼ 训练数据
四、线性回归从0开始实现(使用自定义)
4.1 生成数据集
4.2 绘制数据集
4.3 读取小批量
4.4 训练模型
4.5 完整代码
五、线性回归(使用框架)
一、自动求导
◼ 相关知识



自动求导:计算一个函数在指定值上的导数,它有别于:
- 符号求导:求具体的函数的导;
- 数值求导:我不需要知道f(x)具体是什么,用数值去拟合;



# 计算图
计算图:其中节点对应于数学运算。 计算图是表达和评估数学表达式的一种方式。


# 反向累积


深度学习耗很多存储,就是因为反向累积这部分需要存储很多中间结果。
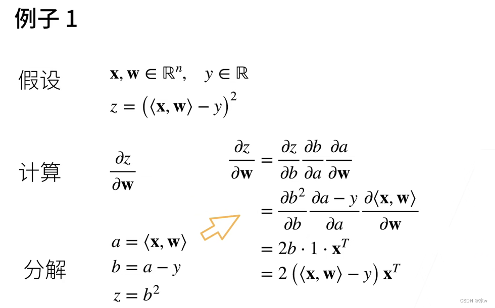
◼ 自动求导代码实现
① 假设想对函数
,关于列向量x求导。
② 在外面计算y关于x的梯度之前,需要一个地方来存储梯度。

③ 现在计算y。
④ 通过调用反向传播函数来自动计算y关于x每个分量的梯度。
其中的“grad_fn=<MulBackward0>”指的是:y是从x计算过来的。

⑤ 计算x的另一个函数。

⑥ 在深度学习中,目的不是计算微分矩阵,而是批量中每个样本单独计算的偏导数之和。
其中,y.sum().backward():我们一般会对y进行求和y.sum()后,就将向量y转为标量了,对标量求导。

⑦ 将某些计算移动到记录的计算图之外。

⑧ 即使构建函数的计算图需要通过Python控制流(例如,条件、循环或任意函数调用),仍然可以计算得到的变量的梯度。

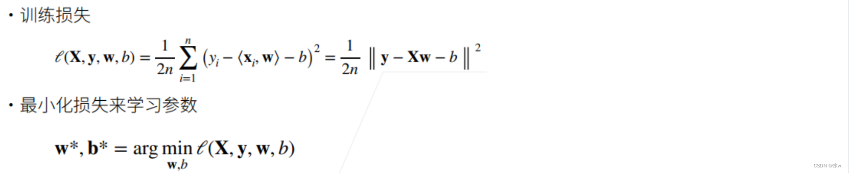
二、线性回归

◼ 举例:房价预测
# 线性回归模型

把它拓展到线性模型,

线性模型可以看做是单层神经网络。

# 训练数据

# 参数学习

# 显示解(最优解)

# 线性回归总结

三、单元线性回归实现:糖尿病例子
◼ 生成数据集
import pandas as pd
import numpy as np
import matplotlib.pyplot as plt
from sklearn import datasets, linear_model
from sklearn.metrics import mean_squared_error, r2_score
# 1.导入数据集
diabetes = datasets.load_diabetes()
diabetes

我们可以大致看一下这个数据集:422个样本,10个特征。
print(diabetes.data) # x
print(diabetes.data.shape) # 422个样本,10个特征
print(diabetes.target) # y

# np.newaxis
np.newaxis:np.newaxis 在使用和功能上等价于 None,可以给原数组增加一个维度; np.newaxis放的位置不同,产生的新数组也不同。
如果我们单取二维数组的某一列的话,就会导致出来的是一维的数组,在切片的时候使用np.newaxis就可以让我们取出来的数组还是二维数组(442, 1)。

其实,这个np.newaxis方法的功能与.reshape类似,我们要看.reshape(-1,1)里的1所对应的位置为列,-1就代表我不知道它有多少行。无论多少行,我只要保证列数是1列。得到的也是二维数组(442, 1)。
# 比较两个数组是否等同
np.array_equal(d1,d2): 比较两个array在shape与所含的值是否相同,等同于(d1==d2).all();
(d1==d2).all():其中.all()的作用是只要数组中有一个False,就说明两个array所含的值不相同;
# 随机采样
DataFrame.sample() :直接打乱样本
DataFrame.sample(n=None, frac=None, replace=False, random_state=None, axis=None)
- n:整数,表示你要随机抽取几行数据,比如你要抽取10行,n=10。不能与frac同时使用。
- frac:浮点型,可选。相对比例,表示抽取数据的百分比。不能与n同时使用。
- replace:布尔值,可选。原来的DataFrame是否被抽取的数据替换,默认为False。
- random_state:随机种子数
- axis: 整数型或字符串,默认axis=0从行中抽取。axis=0从行中抽取数据,axis=1从列中抽取数据。


DataFrame转化回array:
- np.array(pd.DataFrame(diabetes_X).sample(10, random_state=1))
- pd.DataFrame(diabetes_X).sample(10, random_state=1).values

# 将数组打乱随机排列
两种方法:
- np.random.shuffle(x):在原数组上进行,改变自身序列,无返回值。
- np.random.permutation(x):不在原数组上进行,返回新的数组,不改变自身数组。
◼ 训练集与测试集的划分
后20行数据作为测试集,后20行以外的数据都作为训练集。

◼ 训练数据
mean_squared_error(diabetes_y_test, diabetes_y_pred)),均方误差,(真实值-预测值)之差->平方->求和->平均。即线性回归的损失函数,这个损失函数越小越好。
r2_score(diabetes_y_test, diabetes_y_pred),即R方,反映模型拟合优度的统计量。R方取值在0到1之间,其值反映了因变量y的总方差中回归模型所能解释那部分的百分比。

得到的均方误差为2548.07,

可视化 :

四、线性回归从0开始实现(使用自定义)
将从零开始实现整个方法,包括数据流水线、模型、损失函数和小批量随即梯度下降优化器。
4.1 生成数据集
① 根据带有噪声的线性模型构造一个人造数据集。我们使用线性模型参数
、和噪声项ϵ生成数据集及其标签:
。

4.2 绘制数据集
① features中每一行都包含一个二维数据样本,labels中的每一行都包含一维标签值(一个标签)。

4.3 读取小批量

4.4 训练模型
定义模型,损失函数,优化算法,

训练过程:

4.5 完整代码
%matplotlib inline
import random
import torch
from d2l import torch as d2l
def synthetic_data(w,b,num_exaples):
"""生成 y = Xw + b + 噪声"""
X = torch.normal(0,1,(num_exaples,len(w)))
y = torch.matmul(X,w) + b
y += torch.normal(0,0.01,y.shape)
return X, y.reshape((-1,1))
true_w = torch.tensor([2,-3.4])
true_b = 4.2
features, labels = synthetic_data(true_w, true_b, 1000)
print('features:',features[0],'nlabel:',labels[0])
d2l.set_figsize()
d2l.plt.scatter(features[:,(1)].detach().numpy(),labels.detach().numpy(),1)
def data_iter(batch_size,features,labels):
num_examples = len(features) # 样本个数
indices = list(range(num_examples)) # 样本索引
# 这些样本是随即读取的,没有特定的顺序
random.shuffle(indices) # 把索引随即打乱
for i in range(0, num_examples, batch_size):
batch_indices = torch.tensor(indices[i:min(i+batch_size,num_examples)]) # 当i+batch_size超出时,取num_examples
yield features[batch_indices], labels[batch_indices] # 获得随即顺序的特征,及对应的标签
batch_size = 10
for X,y in data_iter(batch_size, features, labels):
print(X, 'n', y) # 取一个批次后,就break跳出了
break
# 定义初始化模型参数
w = torch.normal(0,0.01,size=(2,1),requires_grad=True)
b = torch.zeros(1,requires_grad=True)
# 定义模型
def linreg(X,w,b):
"""线性回归模型"""
return torch.matmul(X,w)+b
# 定义损失函数
def squared_loss(y_hat,y):
"""均方损失"""
return (y_hat - y.reshape(y_hat.shape))**2/2 # 将y统一成与y_hat一样同尺寸
# 定义优化算法
def sgd(params,lr,batch_size):
"""小批量随即梯度下降"""
with torch.no_grad(): # 不要产生梯度计算,减少内存消耗
for param in params: # 每个参数进行遍历
param -= lr * param.grad / batch_size # 每个参数进行更新,损失函数没有求均值,所以这里除以 batch_size 求了均值。由于乘法的线性关系,这里除以放在loss的除以是等价的。
param.grad.zero_() # 每个参数的梯度清零
# 训练过程
lr = 0.03
num_epochs = 3
net = linreg # 这里用线性模型,这样写是很方便net赋予其他模型,只需要改一处,不需要下面所有网络模型名称都改
loss = squared_loss
# 训练过程
for epoch in range(num_epochs):
for X,y in data_iter(batch_size,features,labels):
l = loss(net(X,w,b),y) # x和y的小批量损失
# 因为l是形状是(batch_size,1),而不是一个标量。l中所有元素被加到一起
# 并以此计算关于[w,b]的梯度
l.sum().backward()
sgd([w,b],lr,batch_size) #使用参数的梯度更新参数
with torch.no_grad():
train_l = loss(net(features,w,b),labels)
print(f'epoch{epoch+1},loss{float(train_l.mean()):f}')
# 比较真实参数和通过训练学到的参数来评估训练的成功程度
print(f'w的估计误差:{true_w-w.reshape(true_w.shape)}')
print(f'b的估计误差:{true_b-b}')
五、线性回归(使用框架)
import numpy as np
import torch
from torch.utils import data
from d2l import torch as d2l
from torch import nn
true_w = torch.tensor([2,-3.4])
true_b = 4.2
features, labels = d2l.synthetic_data(true_w,true_b,1000) # 库函数生成人工数据集
# 调用框架现有的API来读取数据
def load_array(data_arrays,batch_size,is_train=True):
"""构造一个Pytorch数据迭代器"""
dataset = data.TensorDataset(*data_arrays) # dataset相当于Pytorch的Dataset。一个星号*,表示对list解开入参。
return data.DataLoader(dataset,batch_size,shuffle=is_train) # 返回的是从dataset中随机挑选出batch_size个样本出来
batch_size = 10
data_iter = load_array((features,labels),batch_size) # 返回的数据的迭代器
print(next(iter(data_iter))) # iter(data_iter) 是一个迭代器对象,next是取迭代器里面的元素
# 使用框架的预定义好的层
# nn是神经网络的缩写
net = nn.Sequential(nn.Linear(2,1))
# 初始化模型参数
net[0].weight.data.normal_(0,0.01) # 使用正态分布替换掉weight变量里面的数据值
net[0].bias.data.fill_(0) # 偏差bias变量里面的值设置为0
print(net[0])
# 计算均方误差使用的是MSELoss类,也称为平方L2范数
loss = nn.MSELoss() #L1是算术差,L2是平方差
# 实例化SGD实例
trainer = torch.optim.SGD(net.parameters(),lr=0.03)
# 训练过程代码与从零开始时所做的非常相似
num_epochs = 3
for epoch in range(num_epochs):
for X, y in data_iter: # 从DataLoader里面一次一次把所有数据拿出来
# print("X:",X)
# print("y:",y)
l = loss(net(X),y) # net(X) 为计算出来的线性回归的预测值
trainer.zero_grad() # 梯度清零
l.backward()
trainer.step() # SGD优化器优化模型
l = loss(net(features),labels)
print(f'epoch{epoch+1},loss{l:f}')

最后
以上就是虚拟高山最近收集整理的关于【动手学深度学习PyTorch版】2 线性回归一、自动求导二、线性回归三、单元线性回归实现:糖尿病例子四、线性回归从0开始实现(使用自定义) 五、线性回归(使用框架)的全部内容,更多相关【动手学深度学习PyTorch版】2内容请搜索靠谱客的其他文章。


发表评论 取消回复