逆元
逆元的解释
为什么会有逆元这个概念。
因为 有时我们需要计算 (A/B) % M 的值, 如果B过大,或者A过大,可能会爆精度,然后我们就想到能不(A%M / B%M)
发现这种方法不对,那我们可以将除法换成乘法(A *B^-1)% M 这样就能转化成 (A % M *B^-1% M)% M
所以我们就要来求B-1的值,因为不能用分数,所以我们就设定B-1为B的逆元
先设C为B的逆元,由上面可以知道由(a/b)%M,可以推出B*C=1(mod m)
则(A/B)%m = (A/B)*1%m = (A/B)*(B*C%M)%M= A*C(mod M)
即A/B的模等于A*B的逆元
还有一种更接地气的解释在此记录一下,首先我们设定一个加法取模的世界,是一个以0为中心的世界,有一个点从世界的中心加了3,然后又加了一个数使得点回到了世界中心,这个数就是逆元
然后又是一个乘法取模且中心为1的世界,有一个点从中心*3mod7,然后又突然乘了一个数让点mod7回到了世界中心,这个数就是在乘法世界mod7的逆元,这个世界没有除法,没有分数,因为3*5mod7=1,所以3mod7的一个逆元就是5,所以5和3就是在mod7的条件下互为逆元
为什么要逆元呢,因为除法是定义内会出现不可计算的情况,比如说3/5mod7,在这个世界里就变成了3*3mod7这就可以推导出公式(A/B)%p=(A*B-1)%p=(A%p*B-1%p)%p ==> 推导之后变成了(3/5)mod7=((3mod7)*(5^-1))mod7=((3mod7)*(3mod7))mod7
对于求逆元就要求B*C=1(mod m)里C的值,首先这个方程可以写成B*C+k*m=1(k为任意整数),这样我们就可以使用拓展欧几里得来求
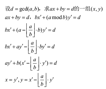
拓展欧几里得的推导(理解难度比较高,闲麻烦的也可以背代码): 对于这个我们其实就是利用辗转相除法,我们可以知道,我们辗转相除法的边界是a=d,b=0,(a和b为要求最大公约数的两个数,d为他们的公约数),此时我们可以知道a就是最大公约数,我们还可以知道,在这时,一定有个解是x=1,y=0,即a * 1+b * 0 =d,(a此时等于d,b等于0)。这个有什么用呢?
我们知道gcd(a,b)=gcd(b,a%b),如果我们可以推导出每一次的解x和y,与相除后的解x1和y1的关系我们就可以算出其中的一个接了,(x和y相当于是a和b的解,x1和y1是a已经变成了b,b变成了a%b时的解),我们下面推导一下,x、y和x1、y1之间有什么关系
这样我们就可以得到x、y和x1、y1之间的关系了,所以我们只要在回溯的时候计算一下就好了。
2019蓝桥杯CA RSA解密

看题目我们就可以看出来,这一题有点难,首先我们获得的是n,因为n是由质数q和p相乘所得到的,那么我们就可以通过枚举来暴力的到q和p的值,这时候我们注意d*e/(p-1)(q-1)的余数为1,那么我们就先设s=(p-1)(q-1),推到出一个方程d*e=1%s,这就和我们上面说到的逆元方程一样,那么我们就可以转化为求d的逆元e,其中d题目给出了而s我们计算出来了,这样我们代入拓展欧几里得就可以求出我们需要的逆元e,然后再通过快速幂,快速乘(快速幂的乘法会越界,所以需要快速乘)求的X=C^e mod n。具体代码如下
#include<iostream>
using namespace std;
typedef long long ll;
ll q,p,e,x,y,s;
ll n=1001733993063167141;
ll d=212353;
ll c=20190324;
//枚举得到q和p
void init(){
for(ll i=2;i<n;i++){
if(n%i==0){
q=i;p=n/i;
s=(q-1)*(p-1);
return;
}
}
}
//拓展欧几里得代码,理解完上面步骤的结果
void ex_gcd(ll a,ll b){
if(b==0){
x=1;
y=0;
return;
}
ex_gcd(b,a%b);
ll k=x; //因为x会变化所以先记录x
x=y; //x和y在上面已经定义完成
y=k-(a/b)*y;
}
//快速乘(没什么好讲的)
ll mul(ll a,ll b,ll mod){
ll ans=0;
while(b){
if(b&1){
ans=(ans+a)%mod;
}
a=(a*2)%mod;
b>>=1;
}
return ans;
}
//快速幂(也没什么好讲的)
ll power(ll a,ll b,ll mod){
ll ans=1;
while(b){
if(b&1){
ans=mul(ans,a,mod);
}
a=mul(a,a,mod)%mod;
b>>=1;
}
return ans;
}
int main(){
//init();
//ex_gcd(d,s); 求出初始逆元
//e=(x+s)%s; 有可能逆元为负数,那就需要将其改正
//num=power(c,e,n); 求出X的值
cout<<"579706994112328949"<<endl; //因为正常的提交会导致超时,且这一题为填空题,所以只需要提交答案
return 0;
}
r(c,e,n); 求出X的值
cout<<"579706994112328949"<<endl; //因为正常的提交会导致超时,且这一题为填空题,所以只需要提交答案
return 0;
}
最后
以上就是调皮砖头最近收集整理的关于RSA解密(逆元,快速幂,快速乘)逆元的全部内容,更多相关RSA解密(逆元内容请搜索靠谱客的其他文章。
发表评论 取消回复