我是靠谱客的博主 整齐鲜花,这篇文章主要介绍Games101结合Unity Shader入门精要学习笔记(个人向),现在分享给大家,希望可以做个参考。

第一章

了解何为Rasterization光栅化:

光栅化(Rasterization)是把顶点数据转换为片元的过程,具有将图转化为一个个栅格组成的图象的作用,特点是每个元素对应帧缓冲区中的一像素。

在渲染流水线中有三个阶段:应用阶段,几何阶段,光栅化阶段。

(图片p6)

应用阶段:

        由CPU主导,开发者在此阶段有绝对控制权;

应用阶段任务:

        1、准备场景数据。

        2、粗粒度剔除(将不可见物体剔除,提高渲染性能)。

        3、设置每个模型的渲染状态。

        Tip:此阶段最重要的输出是渲染所需的几何信息,即渲染图元,这些渲染图元将会被传递给下一阶段——几何阶段。

几何阶段:

        几何阶段负责和每个渲染图元打交道,进行逐顶点、逐多边形的操作,通常在GPU上运行。

        几何阶段的一个重要任务就是把顶点坐标变换到屏幕空间中,再交给光栅器进行处理。通过对输入的渲染图元进行多步处理后,这一阶段将会输出屏幕空间的二维顶点坐标、每个顶点对应的深度值、着色等相关信息(想到HW3的小牛了),并传递给下一个阶段。

光栅化阶段:

        在GPU上运行,使用几何阶段传来的数据来产生屏幕上的像素,并渲染出最终的图像。

CPU与GPU之间的通信:渲染流水线的起点是CPU,即应用阶段:

1、把数据加载到显存中:因为显卡对显存的访问速度更快,而且大多数显卡对于RAM没有直接访问权限;

2、设置渲染状态:与Unity Shader的设置有关;

3、调用Draw Call:CPU通知GPU;

GPU流水线:

        与几何阶段和光栅化阶段有关;

(图片p9)

       Tip:与着色器相关的内容之后细讲。

裁剪:将不可视物体剔除,只处理可见物体,不可编程,是硬件上的固定操作。

屏幕映射:将图元的x、y坐标转换到屏幕坐标系下。

三角形遍历:Games101后续内容。

第二章

线性代数————过!!!

第三章

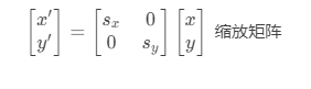
缩放

​ 

平移

 仿射变换Affine Transformation

仿射变换=线性变换+平移——注意做变换一定是先做线性变换,再平移——不断左乘

最后

以上就是整齐鲜花最近收集整理的关于Games101结合Unity Shader入门精要学习笔记(个人向)的全部内容,更多相关Games101结合Unity内容请搜索靠谱客的其他文章。

本图文内容来源于网友提供,作为学习参考使用,或来自网络收集整理,版权属于原作者所有。
点赞(237)

评论列表共有 0 条评论

立即
投稿
返回
顶部