Example: Sampling from a bivariate a Normal distribution
目标函数p(x)是一种规范化形式,表示如下:

均值是:

方差是:

为了使用吉布斯采样从这个分布中采样,我们需要有变量/维度x1和x2的条件分布:

是第二个维度的前一个状态,
是从
中得到的第一个维度的状态。有差异的原因是更新x1和x2用的是(t-1)和t时刻的状态,在上一节中的算法大纲第三步可以看出来。第t次迭代,我们首先以变量x2的最近状态即第(t-1)次迭代结果为条件,为x1采样一种新状态。然后再以第t次迭代得到的x1的最新状态为条件采样得到变量x2。
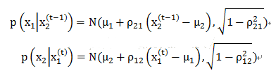
经过一些数学推导(http://fourier.eng.hmc.edu/e161/lectures/gaussianprocess/node7.html),我们发现目标正态分布的两个条件分布是:

每一个都是单变量的正态分布,其中均值依赖条件变量的最近状态的值,方差依赖两个变量之间的目标方差。
使用上述描述的变量x1和x2的条件概率,我们下面采用matlab实现吉布斯采样,输出的采样如下:
clear all
close all
clc
%seed 用来控制 rand 和 randn
% 如果没有设置seed,每次运行rand或randn产生的随机数都是不一样的
% 用了seed,比如设置rand('seed',0);,那么每次运行rand产生的随机数是一样的,这样对调试程序很有帮助
|
1
2
3
4
5
6
7
8
9
10
11
12
13
14
15
16
17
18
19
20
21
22
23
24
25
26
27
28
29
30
31
32
33
34
35
36
37
38
39
40
41
42
43
44
45
46
47
48
49
|
rand(
'seed'
,
12345
);
nSamples =
5000
;
mu = [
0
0
]; % TARGET MEAN目标均值
rho=[
1
0.8
;
0.8
1
]; % 目标方差
%% INITIALIZE THE GIBBS SAMPLER
propSigma =
1
; % PROPOSAL VARIANCE
minn = [-
3
-
3
];
maxx = [
3
3
];
%% INITIALIZE SAMPLES
x = zeros(nSamples,
2
);
x(
1
,
1
) = unifrnd(minn(
1
), maxx(
1
));%unifrnd生成连续均匀分布的随机数
x(
1
,
2
) = unifrnd(minn(
2
), maxx(
2
));
dims =
1
:
2
; % INDEX INTO EACH DIMENSION 每一维度数组索引
%% RUN GIBBS SAMPLER
for
t=
2
:nSamples
T=[t-
1
,t];
for
iD=
1
:
2
i=iD+
1
;
if
(i>
2
)
i=
1
;
end
muCond = mu(iD) + rho(i,iD)*(x(T(iD),i)-mu(i));%计算均值=μ(
1
)+ρ(
21
)*(x(n,
2
)-μ(
2
)),其中x(n,
2
)代表样本第n个数据的第二维
var
Cond = sqrt(
1
-rho(i,iD)^
2
);%计算方差
x(t,iD) = normrnd(muCond,
var
Cond);%正态分布随机函数,计算得到当前第t个数据的第
1
维数据value
end
end
% DISPLAY SAMPLING DYNAMICS
figure;
h1 = scatter(x(:,
1
),x(:,
2
),
'r.'
);%scatter描绘散点图,x为横坐标,y为纵坐标
% CONDITIONAL STEPS/SAMPLES
hold on;%画出前
3
个采样点
for
t =
1
:
3
plot([x(t,
1
),x(t+
1
,
1
)],[x(t,
2
),x(t,
2
)],
'k-'
);
plot([x(t+
1
,
1
),x(t+
1
,
1
)],[x(t,
2
),x(t+
1
,
2
)],
'k-'
);
h2 = plot(x(t+
1
,
1
),x(t+
1
,
2
),
'ko'
);
end
h3 = scatter(x(
1
,
1
),x(
1
,
2
),
'go'
,
'Linewidth'
,
3
);
legend([h1,h2,h3],{
'Samples'
,
'1st 50 Samples'
,
'x(t=0)'
},
'Location'
,
'Northwest'
)
hold off;
xlabel(
'x_1'
);
ylabel(
'x_2'
);
axis square
|
输出结果:

参考文献:
https://theclevermachine.wordpress.com/2012/11/05/mcmc-the-gibbs-sampler/
http://fourier.eng.hmc.edu/e161/lectures/gaussianprocess/node7.html
http://blog.csdn.net/zb1165048017/article/details/51778694
本文转自stock0991 51CTO博客,原文链接:http://blog.51cto.com/qing0991/1794340,如需转载请自行联系原作者
最后
以上就是害羞跳跳糖最近收集整理的关于Gibbs Sampler的全部内容,更多相关Gibbs内容请搜索靠谱客的其他文章。
发表评论 取消回复