一、逻辑回归

二、判定边界
当将训练集的样本以其各个特征为坐标轴在图中进行绘制时,通常可以找到某一个 判定边界 去将样本点进行分类。例如:
线性判定边界:
非线性判定边界:

三、二分类和sigmoid函数

sigmoid函数图像如下:
四、损失函数

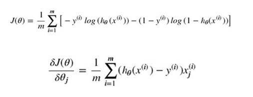
1. 定义


2. 极大似然估计
上面是一种求损失函数的方式,我们也可以换一种方式来求损失函数,即极大似然估计。用极大似然估计来作为损失函数

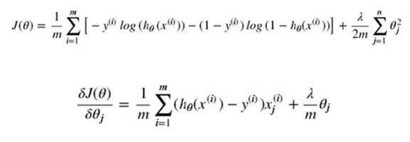
3. 正则化

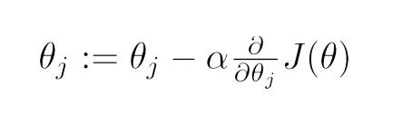
五、最小化损失函数


同样,上式中的a为学习率(下山步长)。将上式的偏导展开,可得:
非正则化的损失函数的偏导:

含正则化项的损失函数的偏导:

其中 λ 为正则化的强度。
同线性回归般,可以通过学习率a对特征系数向量中的元素不断进行迭代,直到元素值收敛到某一值即可,这时可以得到损失函数较小时的特征向量系数Θ。
六、从二分类过渡到多分类
在上面,我们主要使用逻辑回归解决二分类的问题,那对于多分类的问题,也可以用逻辑回归来解决?
1. one vs rest
由于概率函数 hΘ(X) 所表示的是样本标记为某一类型的概率,但可以将一对一(二分类)扩展为一对多(one vs rest):
将类型class1看作正样本,其他类型全部看作负样本,然后我们就可以得到样本标记类型为该类型的概率p1;
然后再将另外类型class2看作正样本,其他类型全部看作负样本,同理得到p2;
以此循环,我们可以得到该待预测样本的标记类型分别为类型class i时的概率pi,最后我们取pi中最大的那个概率对应的样本标记类型作为我们的待预测样本类型。
2. softmax函数
使用softmax函数构造模型解决多分类问题。
softmax回归分类器需要学习的函数为 : (这里下面的公式有问题,括号中的每一项应该都是以e为底的)

其中 k 个 类别的个数 ,
和
为 第 i 个 类别对应的 权重向量 和 偏移标量。
其中
可看作样本 X 的标签 为 第 j 个 类别的概率,且有
。
与 logistic回归 不同的是,softmax回归分类模型会有多个的输出,且输出个数 与 类别个数 相等,输出为样本 X 为各个类别的概率 ,最后对样本进行预测的类型为 概率最高 的那个类别。
我们需要通过学习得到
和
,因此建立目标损失函数为:

上式的代价函数也称作:对数似然代价函数。
在二分类的情况下,对数似然代价函数 可以转化为 交叉熵代价函数。
其中 m 为训练集样本的个数,k 为 类别的个数,
为示性函数,当
为真时,函数值为 1 ,否则为 0 ,即 样本类别正确时,函数值才为 1 。


继续展开:

通过 梯度下降法 最小化损失函数 和 链式偏导,使用
对
求偏导:

化简可得:

再次化简可有:

因此由 梯度下降法 进行迭代:

同理 通过梯度下降法最小化损失函数也可以得到
的最优值。
同逻辑回归一样,可以给损失函数加上正则化项。
3. 选择的方案
当标签类别之间是互斥时,适合选择softmax回归分类器 ;当标签类别之间不完全互斥时,适合选择建立多个独立的logistic回归分类器。
4. tensorflow代码示例:
- 使用softmax回归对sklearn中的digit手写数据进行分类
import tensorflow as tf
from sklearn.datasets import load_digits
import numpy as np
digits = load_digits()
X_data = digits.data.astype(np.float32)
Y_data = digits.target.reshape(-1,1).astype(np.float32)
print X_data.shape
print Y_data.shape
(1797, 64)
(1797, 1)
from sklearn.preprocessing import MinMaxScaler
scaler = MinMaxScaler()
X_data = scaler.fit_transform(X_data)
from sklearn.preprocessing import OneHotEncoder
Y = OneHotEncoder().fit_transform(Y_data).todense() #one-hot编码
Y
matrix([[ 1., 0., 0., ..., 0., 0., 0.],
[ 0., 1., 0., ..., 0., 0., 0.],
[ 0., 0., 1., ..., 0., 0., 0.],
...,
[ 0., 0., 0., ..., 0., 1., 0.],
[ 0., 0., 0., ..., 0., 0., 1.],
[ 0., 0., 0., ..., 0., 1., 0.]])
print Y.shape
(1797, 10)
1797
batch_size = 10 # 使用MBGD算法,设定batch_size为10
def generatebatch(X,Y,n_examples, batch_size):
for batch_i in range(n_examples // batch_size):
start = batch_i*batch_size
end = start + batch_size
batch_xs = X[start:end, :]
batch_ys = Y[start:end]
yield batch_xs, batch_ys # 生成每一个batch
tf.reset_default_graph()
tf_X = tf.placeholder(tf.float32,[None,64])
tf_Y = tf.placeholder(tf.float32,[None,10])
tf_W_L1 = tf.Variable(tf.zeros([64,10]))
tf_b_L1 = tf.Variable(tf.zeros([1,10]))
pred = tf.nn.softmax(tf.matmul(tf_X,tf_W_L1)+tf_b_L1)
loss = -tf.reduce_mean(tf_Y*tf.log(tf.clip_by_value(pred,1e-11,1.0)))
# 也可以直接使用tensorflow的版本:
# loss = tf.reduce_mean(tf.nn.softmax_cross_entropy_with_logits(labels=tf_Y,logits=pred))
train_step = tf.train.GradientDescentOptimizer(0.2).minimize(loss)
y_pred = tf.arg_max(pred,1)
bool_pred = tf.equal(tf.arg_max(tf_Y,1),y_pred)
accuracy = tf.reduce_mean(tf.cast(bool_pred,tf.float32)) # 准确率
with tf.Session() as sess:
sess.run(tf.global_variables_initializer())
for epoch in range(2001): # 迭代2001个周期
for batch_xs,batch_ys in generatebatch(X_data,Y,Y.shape[0],batch_size): # 每个周期进行MBGD算法
sess.run(train_step,feed_dict={tf_X:batch_xs,tf_Y:batch_ys})
if(epoch%1000==0):
res = sess.run(accuracy,feed_dict={tf_X:X_data,tf_Y:Y})
print (epoch,res)
res_ypred = y_pred.eval(feed_dict={tf_X:X_data,tf_Y:Y}).flatten()
print res_ypred
(0, 0.86866999)
(1000, 0.99332219)
(2000, 0.99833053)
[0 1 2 ..., 8 9 8]
from sklearn.metrics import accuracy_score
print accuracy_score(Y_data,res_ypred.reshape(-1,1))
0.998330550918
八、Logistic Loss的另一种表达
在上面的逻辑回归的二分类问题中,我们令正样本的标签 y = 1 ,负样本的标签 y = 0。对于单个样本来说,其损失函数Cost(hΘ(X),y)可以表示为:(hΘ(X)的值表示正样本的概率)

若我们 令正样本的标签 y = 1 ,负样本的标签 y = -1,则有:
其中(待续)
七、代码示例
- 使用ovr多分类的逻辑回归判断鸢尾属植物的类型
from sklearn import datasets
iris = datasets.load_iris() # 加载数据
X = iris.data
y = iris.target
print X.shape
print y.shape
(150L, 4L)
(150L,)
from sklearn.model_selection import train_test_split
#分隔训练集和测试集
X_train, X_test, y_train, y_test = train_test_split(X, y ,test_size = 1/3.,random_state = 8)
from sklearn.preprocessing import PolynomialFeatures
featurizer = PolynomialFeatures(degree=2) # 特征多项式化
X_train = featurizer.fit_transform(X_train)
X_test = featurizer.transform(X_test)
from sklearn.preprocessing import StandardScaler # 对数据归一化
scaler = StandardScaler()
X_std_train = scaler.fit_transform(X_train)
X_std_test = scaler.transform(X_test)
from sklearn.linear_model import LogisticRegression
from sklearn.linear_model import SGDClassifier
# penalty:正则化 l2/l1
# C :正则化强度
# multi_class:多分类时使用 ovr: one vs rest
lor = LogisticRegression(penalty='l1',C=100,multi_class='ovr')
lor.fit(X_std_train,y_train)
print lor.score(X_std_test,y_test)
sgdv = SGDClassifier(penalty='l1')
sgdv.fit(X_std_train,y_train)
print sgdv.score(X_std_test,y_test)
0.94
0.92
LogisticRegression对参数的计算采用精确解析的方式,计算时间长但模型的性能高;SGDClassifier采用随机梯度下降/上升算法估计模型的参数,计算时间短但模型的性能较低。
- 使用Tensorflow实现线性逻辑回归:
from sklearn.datasets import make_classification
import matplotlib.pyplot as plt
import numpy as np
X, y = make_classification(n_features=2, n_redundant=0, n_informative=2,
n_clusters_per_class=1,random_state=78,n_samples=200)
X = X.astype(np.float32)
y = y.astype(np.float32)
plt.scatter(X[:,0],X[:,1],c=y)
plt.show()

from sklearn import preprocessing
scaler = preprocessing.StandardScaler().fit(X)
X = scaler.transform(X)
print X.shape
(200, 2)
b = tf.Variable(tf.zeros([1,1]))
W = tf.Variable(tf.zeros([2,1]))
X_DATA = tf.placeholder(tf.float32,[None,2])
Y = tf.placeholder(tf.float32,[None,1])
H = 1 / (1 + tf.exp(-(tf.matmul(X_DATA, W) + b)))
loss = tf.reduce_mean(- Y* tf.log(tf.clip_by_value(H,1e-11,1.0)) - (1 - Y) * tf.log(1 - tf.clip_by_value(H,1e-11,1.0)))
# 也可以使用tensorflow的版本:
#loss = tf.reduce_mean(tf.nn.sigmoid_cross_entropy_with_logits(labels=tf_Y,logits=pred))
optimizer = tf.train.GradientDescentOptimizer(0.1)
train = optimizer.minimize(loss)
init_vals = tf.global_variables_initializer()
with tf.Session() as sess:
sess.run(init_vals)
for step in range(15501):
sess.run(train,feed_dict={X_DATA:X,Y:y.reshape(-1,1)})
if(step%5000==0):
print(step,sess.run(W).flatten(),sess.run(b).flatten())
w1 = sess.run(W).flatten()
b1 = sess.run(b).flatten()
(0, array([ 0.04289575, 0.04343094], dtype=float32), array([-0.0005], dtype=float32))
(5000, array([ 3.44468737, 3.617342 ], dtype=float32), array([-1.10549724], dtype=float32))
(10000, array([ 3.46032 , 4.07498837], dtype=float32), array([-1.60735476], dtype=float32))
(15000, array([ 3.45384622, 4.39454508], dtype=float32), array([-1.95797122], dtype=float32))
print (w1,b1)
(array([ 3.45412397, 4.42197132], dtype=float32), array([-1.9879719], dtype=float32))
x1_min, x1_max = X[:,0].min(), X[:,0].max(),
x2_min, x2_max = X[:,1].min(), X[:,1].max(),
xx1, xx2 = np.meshgrid(np.linspace(x1_min, x1_max), np.linspace(x2_min, x2_max))
f = w1[0]*xx1+w1[1]*xx2+b1[0]
plt.contour(xx1, xx2, f, [0], colors = 'r') # 绘制分隔超平面
plt.scatter(X[:,0],X[:,1],c=y)
plt.show()

最后
以上就是畅快白云最近收集整理的关于Logistic Regression(逻辑回归)模型实现二分类和多分类的全部内容,更多相关Logistic内容请搜索靠谱客的其他文章。
发表评论 取消回复