pytorch动态图与静态图
pytorch 动态图与静态图
- pytorch动态图与静态图
- 动态图初步推导
- 动态图的叶子节点
- grad_fn
- 静态图
动态图初步推导
- 计算图是用来描述运算的有向无环图
- 计算图有两个主要元素:结点(Node)和边(Edge)
- 结点表示数据 ,如向量、矩阵、张量
- 边表示运算 ,如加减乘除卷积等

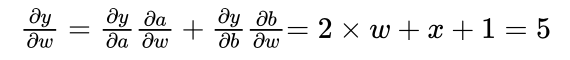
上图是用计算图表示:y=(x+w)*(w+1)
其中a=x+w b=w+1
Pytorch在计算的时候,就会把计算过程用上面那样的动态图存储起来。现在我们计算一下y关于w的梯度:

(上面的计算中,w=1,x=2)
现在我们用Pytorch的代码来实现这个过程:
import torch
x = torch.tensor([1.],requires_grad=True)
w = torch.tensor([2.],requires_grad=True)
a = x*w
b = w+1
y = a*b
y.backward()
print(w.grad)
输出结果为:
动态图的叶子节点

这个图中的叶子节点,是w和x,是整个计算图的根基。之所以用叶子节点的概念,是为了减少内存,在反向传播结束之后,非叶子节点的梯度会被释放掉 , 我们依然用上面的例子解释:
import torch
w = torch.tensor([1.],requires_grad = True)
x = torch.tensor([2.],requires_grad = True)
a = w+x
b = w+1
y = a*b
y.backward()
print(w.is_leaf,x.is_leaf,a.is_leaf,b.is_leaf,y.is_leaf)
print(w.grad,x.grad,a.grad,b.grad,y.grad)
输出结果:

可以看到,叶子节点是w和x。只有叶子节点的梯度保存了下来。
当然也可以通过.retain_grad()来保留非任意节点的梯度值。
import torch
w = torch.tensor([1.],requires_grad = True)
x = torch.tensor([2.],requires_grad = True)
a = w+x
a.retain_grad()
b = w+1
y = a*b
y.backward()
print(w.is_leaf,x.is_leaf,a.is_leaf,b.is_leaf,y.is_leaf)
print(w.grad,x.grad,a.grad,b.grad,y.grad)
输出结果:

grad_fn
torch.tensor有一个属性grad_fn,grad_fn的作用是记录创建该张量时所用的函数,这个属性反向传播的时候会用到。例如在上面的例子中,y.grad_fn=MulBackward0,表示y是通过乘法得到的。所以求导的时候就是用乘法的求导法则。同样的,a.grad=AddBackward0表示a是通过加法得到的,使用加法的求导法则。
import torch
w = torch.tensor([1.],requires_grad = True)
x = torch.tensor([2.],requires_grad = True)
a = w+x
a.retain_grad()
b = w+1
y = a*b
y.backward()
print(y.grad_fn)
print(a.grad_fn)
print(w.grad_fn)
运行结果:

叶子节点的.grad_fn是None。
静态图
两者的区别用一句话概括就是:
- 动态图:pytorch使用的,运算与搭建同时进行;灵活,易调节。
- 静态图:老tensorflow使用的,先搭建图,后运算;高效,不灵活。
静态图我们是需要先定义好运算规则流程的。比方说,我们先给出
a=x+w,b=w+1,y=(x+w)*(w+1),然后把上面的运算流程存储下来,然后把w=1,x=2放到上面运算框架的入口位置进行运算。而动态图是直接对着已经赋值的w和x进行运算,然后变运算变构建运算图。
在一个课程http://cs231n.stanford.edu/slides/2018/cs231n_2018_lecture08.pdf中的第125页,有这样的一个对比例子:

这个代码是Tensorflow的,构建运算的时候,先构建运算框架,然后再把具体的数字放入其中。整个过程类似于训练神经网络,我们要构建好模型的结构,然后再训练的时候再吧数据放到模型里面去。又类似于在旅游的时候,我们事先定要每天的行程路线,然后每天按照路线去行动。

动态图是直接对数据进行运算,然后动态的构建出运算图。很符合我们的运算习惯。
两者的区别在于,静态图先说明数据要怎么计算,然后再放入数据。假设要放入50组数据,运算图因为是事先构建的,所以每一次计算梯度都很快、高效;动态图的运算图是在数据计算的同时构建的,假设要放入50组数据,那么就要生成50次运算图。这样就没有那么高效。所以称为动态图。
动态图虽然没有那么高效,但是他的优点有以下:
- 更容易调试。
- 动态计算更适用于自然语言处理。(这个可能是因为自然语言处理的输入往往不定长?)
- 动态图更面向对象编程,我们会感觉更加自然。
最后
以上就是着急大米最近收集整理的关于pytorch——动态图与静态图pytorch动态图与静态图的全部内容,更多相关pytorch——动态图与静态图pytorch动态图与静态图内容请搜索靠谱客的其他文章。
本图文内容来源于网友提供,作为学习参考使用,或来自网络收集整理,版权属于原作者所有。
发表评论 取消回复