/**仅记录自己的学习历程,为以后的自己留一个参考**/
综述:
2013年的题目比较新颖,和实际情况密切相关,贴近生活,也比较开放。共有三个大问题,第一个问题很明确,所以求解过程中一定要保证思路清晰并有合理的误差分析;第三个问题比较开放,言之有理即可;难点和出彩的地方主要在第二个问题的偏微分方程建模。我自己也是刚刚开始建模之路,还有很多东西需要学习,如果有什么地方大家觉得有问题欢迎指正,尤其是Comsol Multipyhsics仿真那一方面,我还在摸索阶段,希望大家可以给点建议。
1.PM2.5的相关因素分析
题目要求依据附件1或附件2中的数据或自行采集数据,利用或建立适当的数学模型,对AQI中6个基本监测指标的相关与独立性进行定量分析,尤其是对其中PM2.5(含量)与其它5项分指标及其对应污染物(含量)之间的相关性及其关系进行分析。
南京航空航天大学的同学对此问题的解决思路如下:
(1) PM2.5分别与其它5项指标作散点图,分析PM2.5与其它5项指标的相关性;
(2) 使用SPSS进行相关性分析,得到6个变量的相关系数;
(3) PM2.5与其它5项指标作拟合,最大为0.8,不理想,得出无法用单一变量刻画PM2.5形成的结论;
(4) PM2.5分别与其它5项指标作多元线性回归,,结果依旧不理想,所以根据残差去掉异常点,经过多次循环最终得到的多元回归方程。

2.PM2.5的分布与演变及应急处理
2.1第一小问的模型建立与求解
该问题要求描述该地区内PM2.5的时空分布及其规律,并结合环境保护部新修订的《环境空气质量标准》分区进行污染评估。
原文思路如下:
(1)绘制PM2.5浓度与时间的散点图,得出分布趋势;
(2)以全市平均浓度代替各个监测点浓度刻画PM2.5时间分布;
(3)使用Shepard反距离插值法刻画PM2.5空间分布;
(4)污染评估。
shepard反距离插值结果

加入人工神经网络训练的结果

原文思路清晰,以PM2.5全市平均浓度随时间的变化刻画西安市PM2.5浓度的时间分布;通过Shepard插值求得西安市PM2.5浓度的空间分布。但是原文程序在计算PM2.5浓度空间分布时用的却是立方插值,并没有使用上文提到的Shepard反距离插值。
问题要求建立能够刻画该地区PM2.5的发生和演变(扩散与衰减等)规律的数学模型,合理考虑风力、湿度等天气和季节因素的影响,并利用该地区的数据进行定量与定性分析。
原文思路如下:
(1) 利用该地区的数据进行PM2.5与风力、湿度等天气和季节因素间的多元回归分析,即建立PM2.5浓度的估算模型;
(2) 利用大气污染物的扩散原理建立PM2.5扩散的偏微分方程模型,主要参考《城市大气污染扩散监测模型的理论与试验研究》这篇论文。
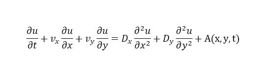
本人能力有限,反正我看不懂,对于该问题的求解,我主要参考了国防科技大学同学的一篇优秀论文,利用经典的对流扩散方程进行建模,并使用ComsolMultiphysics对问题进行仿真实验。
最终的对流扩散方程如下,等号左边后两项为对流项,等号右边前两项为扩散项,第三项为源项。

2.3第三小问的模型建立与求解
题目要求以该地区PM2.5 监测数据最高的一天为例,在全地区PM2.5浓度最高点处的浓度增至2倍,持续2小时,利用建立的模型进行预测和评估。
使用Comsol Multiphysic进行无风情况下仿真,无风情况对流为零,以扩散为主,而PM2.5的扩散系数很小,所以呈现堆积现象。

使用Comsol Multiphysic进行有风情况下仿真

3.总结
自己在重现的过程中发现自己用具体方法实现可能还可以,但具体的数学逻辑推导可能就不能表达得很清楚,在数学逻辑写作方面需要向两篇优秀论文学习。
南京航空航天大学同学论文的问题:
(1) 对于风速数据的出处没有说明;
(2) 论文中求PM2.5的空间分布使用的是Shepard插值法,但是程序中使用的仅仅是立方插值;
(3) Lingo程序与原文逻辑不一致;
考虑到建模时间的紧迫性,在论文写作的过程中难免会有瑕疵,总的来说南航同学的论文还是非常优秀的,很值得我们吸收和借鉴。
获取详细内容和程序代码地址:https://github.com/Nirvana-cn/PM2.5.git
最后
以上就是清爽枫叶最近收集整理的关于空气中PM2.5问题的建模和分析的全部内容,更多相关空气中PM2.5问题内容请搜索靠谱客的其他文章。
发表评论 取消回复