Toggle navigation
首页
博客
下载
AI
科技
互联网
会员
中心
会员中心
发布资讯
发布博文
发布资源
首页
文章中心
平面几何
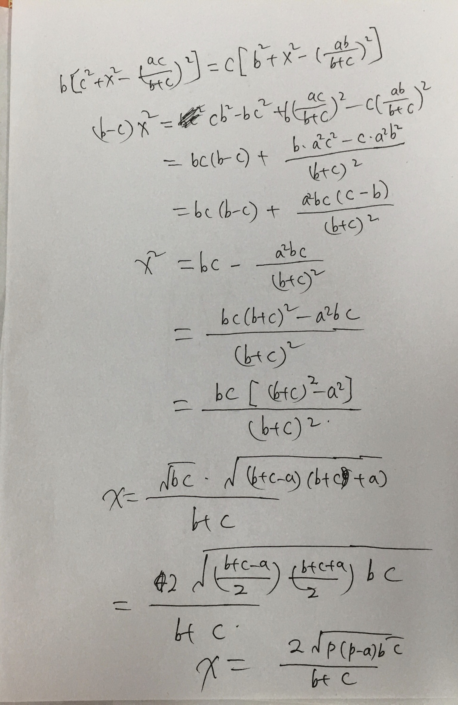
平面几何--角平分线长定理
203 阅读
0 评论
134 点赞
我是
靠谱客
的博主
兴奋墨镜
,这篇文章主要介绍
平面几何--角平分线长定理
,现在分享给大家,希望可以做个参考。
最后
以上就是
兴奋墨镜
最近收集整理的关于
平面几何--角平分线长定理
的全部内容,更多相关
平面几何--角平分线长定理
内容请搜索靠谱客的其他文章。
本图文内容来源于网友提供,作为学习参考使用,或来自网络收集整理,版权属于原作者所有。
点赞(
134
)
本文分类:
平面几何
浏览次数:
203
次浏览
发布日期:2024-01-16 22:40:50
本文链接:
https://www.kaopuke.com/article/k-p-k_13_u_23_ogf5_14__23__18_w.html
相关文章
Python 菜单中的分割线
python学习之matplotlib(2021-03-27)
Opencv实现简单功能
Python OpenCV基础安装Opencv
平面几何--角平分线长定理
传感技术复习笔记(6)——磁电式传感器1 基本原理2 结构形式的分类3 霍尔效应4 为什么半导体的霍尔效应明显
走出路径的困惑—关于绝对路径和相对路径
用arcgis求多边形内线条的长度
评论列表
共有
0
条评论
发表评论
取消回复
登录
注册新账号
立即
投稿
返回
顶部
发表评论 取消回复