参考资料
欧拉公式是什么?为什么欧拉公式被称为世界上最完美的公式?下面我们就一起来了解一下吧。
欧拉公式又称为欧拉定理,也称为尤拉公式,是用在复分析领域的公式,欧拉公式将三角函数与复数指数函数相关联,之所以叫作欧拉公式,那是因为欧拉公式是由莱昂哈德·欧拉提出来的,所以用他的名字进行了命名。

在数学历史上有很多公式都是欧拉(Leonhard Euler 公元1707-1783年)发现的,它们都叫做
欧拉公式,它们分散bai在各个数学分支之中。

(1)分式里的欧拉公式: a^r/(a-b)(a-c)+b^r/(b-c)(b-a)+c^r/(c-a)(c-b)
当r=0,1时式子的值为0 当r=2时值为1 当r=3时值为a+b+c

(2)复变函数论里的欧拉公式:
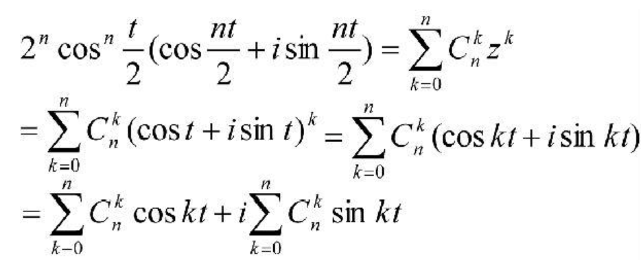
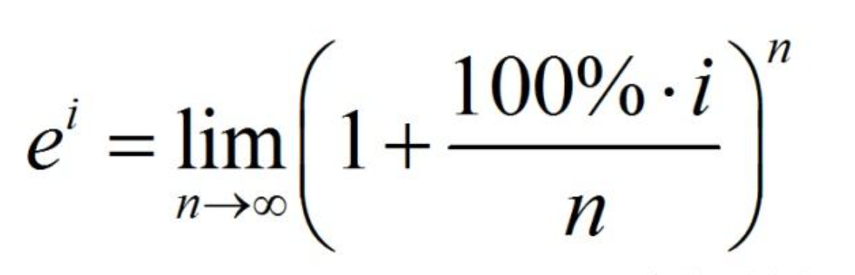
e^ix=cosx+isinx,e是自然对数的底,i是虚数单位。它将三角函数的定义域扩大到复数,建立了三角函数和指数函数的关系,它在复变函数论里占有非常重要的地位。
将公式里的x换成-x,得到:
e-ix=cosx-isinx,然后采用两式相加减的方法得到:sinx=(eix-e-ix)/(2i),cosx=(eix+e-ix)/2.这两个也叫做欧拉公式。将eix=cosx+isinx中的x取作∏就得到: e^i∏+1=0.这个恒等式也叫做欧拉公式,它是数学里最令人着迷的一个公式,它将数学里最重要的几个数学联系到了一起:两个超越数:自然对数的底e,圆周率∏,两个单位:虚数单位i和自然数的单位1,以及数学里常见的0。数学家们评价它是“上帝创造的公式”,我们只能看它而不能理解它。

(3)三角形中的欧拉公式: 设R为三角形外接圆半径,r为内切圆半径,d为外心到内心的距离,则: d^2=R^2-2Rr
(4)拓扑学里的欧拉公式:
V+F-E=X§,V是多面体P的顶点个数,F是多面体P的面数,E是多面体P的棱的条数,X§是多面体P的欧拉示性数。
如果P可以同胚于一个球面(可以通俗地理解为能吹胀而绷在一个球面上),那么X§=2,如果P同胚于一个接有h个环柄的球面,那么X§=2-2h。
X§叫做P的欧拉示性数,是拓扑不变量,就是无论再怎么经过拓扑变形也不会改变的量,是拓扑学研究的范围。 在多面体中的运用:
简单多面体的顶点数V、面数F及棱数E间有关系 V+F-E=2 这个公式叫欧拉公式。公式描述了简单多面体顶点数、面数、棱数特有的规律。

(5)初等数论里的欧拉公式: 欧拉φ函数:φ(n)是所有小于n的正整数里,和n互素的整数的个数。n是一个正整数。 欧拉证明了下面这个式子:
如果n的标准素因子分解式是p1a1*p2a2*……*pm^am,其中众pj(j=1,2,……,m)都是素数,而且两两不等。则有
φ(n)=n(1-1/p1)(1-1/p2)……(1-1/pm) 利用容斥原理可以证明它。 此外还有很多著名定理都以欧拉的名字命名。

(6) 立体图形里的欧拉公式: 面数+顶点数—2=棱数
最后
以上就是沉默战斗机最近收集整理的关于欧拉公式:世界上最完美的公式(上帝公式) 复变函数 、平面几何 、拓扑学、 初等数论、 物理学的全部内容,更多相关欧拉公式:世界上最完美的公式(上帝公式)内容请搜索靠谱客的其他文章。
发表评论 取消回复