我是靠谱客的博主 能干月饼,这篇文章主要介绍基于arduino的视觉机械臂的研究,现在分享给大家,希望可以做个参考。

本视觉机械臂为mearm机械臂,采用眼在手外,摄像头与机械臂原点140mm距离,且在正上方。

  1. 使用openmv检测颜色物料

采用img.find_blobs([green,red])函数进行检测

  1. 关于获得的像素坐标转化为相机坐标

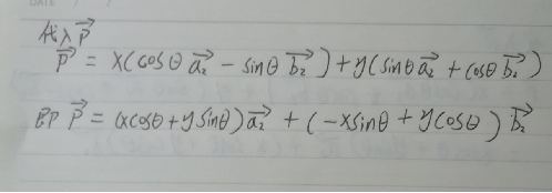
3.相机坐标转化为世界坐标

4.机械臂运动逆解

本结构采用mearm机械臂,下面为对其结构简化。

运动逆解相关部分代码

最后

以上就是能干月饼最近收集整理的关于基于arduino的视觉机械臂的研究的全部内容,更多相关基于arduino内容请搜索靠谱客的其他文章。

本图文内容来源于网友提供,作为学习参考使用,或来自网络收集整理,版权属于原作者所有。
点赞(178)

评论列表共有 0 条评论

立即
投稿
返回
顶部