计算飞狐交易师股票接口表达公式是什么?

飞狐交易师股票接口价值因子是两个高BM组合的等权平均减去两个低BM组合的等权平均。
最后
以上就是无限夏天最近收集整理的关于计算飞狐交易师股票接口表达公式是什么?的全部内容,更多相关计算飞狐交易师股票接口表达公式是什么内容请搜索靠谱客的其他文章。
本图文内容来源于网友提供,作为学习参考使用,或来自网络收集整理,版权属于原作者所有。
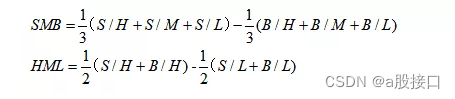
计算飞狐交易师股票接口表达公式是什么?

飞狐交易师股票接口价值因子是两个高BM组合的等权平均减去两个低BM组合的等权平均。
以上就是无限夏天最近收集整理的关于计算飞狐交易师股票接口表达公式是什么?的全部内容,更多相关计算飞狐交易师股票接口表达公式是什么内容请搜索靠谱客的其他文章。
发表评论 取消回复