整理一下最近被问到的一些高频率的面试问题。总结一下方便日后复习巩固用,同时希望可以帮助一些朋友们。
1.python的基本数据类型
主要核心类型分为两类
不可变类型:
数字(int float bool complex),字符串(string),元祖(tuple),不可变集合(frozenset)。
可变类型:
列表(list),字典(dict),集合(set)
这里的可变不可变,是指内存中的值是否可以被改变
补充一点,其中不可变集合就是一个无序的不可变的集合,元素也只能是可hash的主要用来做字典的键,无序,元素不可重复,且元素只能是不可变类型。其次是元组并不是完全不可变的,如果元素含有list那么是可以添加元组里list的值的,原因就是添加元素的时候list的内存地址不会改变。另外过于字典的键值的问题,要求是可hash的所以字典的键值类型可以是int,string,tuple,和不可变集合。
2.python中的list去重复
这个就很简单了,首先转换成set,set的去重机制会完成去重然后再转回list即可,例如 去重list ,a=[1,2,3,44,5,6,5]
new_a=list(set(a))
3.python中的集合操作问题
给定两个集合a={1,2,4,5},b={2,3,4,1,8},求其补集,差集,并集。
首先我们先来了解set的基本运算有哪些
方法符号解释
a.update(b)
a|=b
并集,两个集合的去重后的合并
a.intersection_update(b)
a&=b
交集,两个集合相同的部分的集合
a.difference_update(b)
a-=b
差集a中有,b中没有的集合
a.symmetric_difference_update(b)
a^=b
对称差分,仅属于a或者仅属于b 上面的例子话是{3,5,8}
a.add(b)
加操作,这里会报错因为set是hash存储,必须存储不变的对象,例如字符串、数字、元组等。
a.remove(b)
删除操作 如果a里不包含b会引发异常
a.discard(b)
删除操作 如果a里不包含b不会引发异常,返回None
a.pop()
取出一个元素
a.clear()
清空列表
ok,上面的问题就可解决了,用符号&=,|=,-=就可以了
4.list合并
这个问题比较 需要注意的是list元素添加的区别
1.append() 向列表尾部追加一个新元素,列表只占一个索引位,在原有列表上增加
2.extend() 向列表尾部追加一个列表,将列表中的每个元素都追加进来,在原有列表上增加
3.+ 直接用+号看上去与用extend()一样的效果,但是实际上是生成了一个新的列表存这两个列表的和,只能用在两个列表相加上
4.+= 效果与extend()一样,向原列表追加一个新元素,在原有列表上增加
可以通过id属性查看内存地址的值,了解其运行状况。
5.正则表达是匹配url
import re
import requests
url="http://www.cnblogs.com"
s=requests.get(url).text()
ss=s.replace(" ","")
urls=re.findall(r"",ss,re.I)
for i in urls:
print (i)
else:
print ('over')
另外附上几个网上搜到的验证Url地址的正则表达式
regex = re.compile(
r'^(?:http|ftp)s?://' # http:// or https://
r'(?:(?:[A-Z0-9](?:[A-Z0-9-]{0,61}[A-Z0-9])?.)+(?:[A-Z]{2,6}.?|[A-Z0-9-]{2,}.?)|' #domain...
r'localhost|' #localhost...
r'd{1,3}.d{1,3}.d{1,3}.d{1,3})' # ...or ip
r'(?::d+)?' # optional port
r'(?:/?|[/?]S+)$', re.IGNORECASE)
关于python使用re模块的第三个参数简单了解
re.I(re.IGNORECASE): 忽略大小写(括号内是完整写法)
re.M(re.MULTILINE): 多行模式,改变'^'和'$'的行为
re.S(re.DOTALL): 点任意匹配模式,改变'.'的行为
6.filter的使用
filter() 函数用于过滤序列,过滤掉不符合条件的元素,返回由符合条件元素组成的新列表。
该接收两个参数,第一个为函数,第二个为序列,序列的每个元素作为参数传递给函数进行判,然后返回 True 或 False,最后将返回 True 的元素放到新列表中。
以下是 filter() 方法的语法:
filter(function, iterable)
需要强调的是python3中filter返回的是一个filter对象。
下面一个例子是去除列表里面的偶数,其实map和reduce就可以实现这件事了。
def is_odd(n):
return n % 2 == 1
filter(is_odd, [1, 2, 4, 5, 6, 9, 10, 15])
#结果: [1, 5, 9, 15]
7 写一个实现斐波那契的方法
斐波那契数列的定义
f(0) = 1,f(1) = 1,f(n) = f(n-1) + f(n-2)
最好理解的写法递归时间复杂度最大的。
# 递归
def Fibonacci_Recursion_tool(n):
if n <= 0:
return 0
elif n == 1:
return 1
else:
return Fibonacci_Recursion_tool(n - 1) + Fibonacci_Recursion_tool(n - 2)
一般写的最多的是这样
def fib(n):
x,y=0,1
while(n):
x,y,n=y,x+y,n-1
return x
yield的关键字实现
def Fibonacci_Yield_tool(n):
a, b = 0, 1
while n > 0:
yield b
a, b = b, a + b
n -= 1
def Fibonacci_Yield(n):
# return [f for i, f in enumerate(Fibonacci_Yield_tool(n))]
return list(Fibonacci_Yield_tool(n))
尾递归
def fib(n):
def fib_iter(n,x,y):
if n==0 : return x
else : return fib_iter(n-1,y,x+y)
return fib_iter(n,0,1)
上述代码简化
fib=lambda n,x=0,y=1:x if not n else f(n-1,y,x+y)
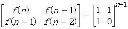
下面是效率最高矩阵实现,时间复杂度才logn,仅供参考

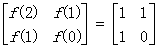
Step1: n=2时

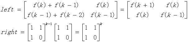
Step2:设n=k时,公式成立,则有:

等式两边同乘以[1,1;1,0]矩阵可得:

左=右,这正是n=k+1时的形式,即当n=k+1时等式成立。
由Step1和Step2可知,该数学公式成立。
由此可以知道该问题转化为计算右边矩阵的n-1幂问题.
我们利用分治的算法思想可以考虑如下求解一个数A的幂。

以上内容来自:https://www.cnblogs.com/python27/archive/2011/11/25/2261980.html
python代码实现
def multi(a,b):
c=[[0,0],[0,0]]
for i in range(2):
for j in range(2):
for k in range(2):
c[i][j]=c[i][j]+a[i][k]*b[k][j]
return c
def matrix(n):
base=[[1,1],[1,0]]
ans=[[1,0],[0,1]]
while n:
if n&1:
ans=multi(ans,base)
base=multi(base,base)
n>>=1
return ans[0][1]
print(matrix(100))
8.列表排序
这里就使用时间复杂度为O(nlogn)的快速排序
def quick_sort(array, left, right):
if left >= right:
return
low = left
high = right
key = array[low]
while left < right:
while left < right and array[right] > key:
right -= 1
array[left] = array[right]
while left < right and array[left] <= key:
left += 1
array[right] = array[left]
array[right] = key
quick_sort(array, low, left - 1)
quick_sort(array, left + 1, high)
关于8大排序算法的一些比较参考:https://www.cnblogs.com/woider/p/6835466.html
9.切片的使用
切片操作要提供三个参数 [start_index: stop_index: step]
start_index是切片的起始位置
stop_index是切片的结束位置(不包括)
step可以不提供,默认值是1,步长值不能为0,不然会报错ValueError。
当 step 是正数时,以list[start_index]元素位置开始, step做为步长到list[stop_index]元素位置(不包括)为止,从左向右截取,
start_index和stop_index不论是正数还是负数索引还是混用都可以,但是要保证 list[stop_index]元素的【逻辑】位置
必须在list[start_index]元素的【逻辑】位置右边,否则取不出元素。
例如,如何获取一个列表的后两个元素
a=[1,2,3,4,6,8]
new_a=a[-2:]
当 step 是负数时,以list[start_index]元素位置开始, step做为步长到list[stop_index]元素位置(不包括)为止,从右向左截取,
start_index和stop_index不论是正数还是负数索引还是混用都可以,但是要保证 list[stop_index]元素的【逻辑】位置
必须在list[start_index]元素的【逻辑】位置左边,否则取不出元素。
alist = [0, 1, 2, 3, 4, 5, 6, 7, 8, 9]
alist[-1: -5: -1]
假设list的长度(元素个数)是length, start_index和stop_index在符合虚拟的逻辑位置关系时,
start_index和stop_index的绝对值是可以大于length的。比如下面两个例子:
alist = [0, 1, 2, 3, 4, 5, 6, 7, 8, 9]
alist[-11:11]
该部分内容来自:https://blog.csdn.net/xpresslink/article/details/77727507
10.二分法查找
二分法是一种快速查找的方法,时间复杂度低,逻辑简单易懂,总的来说就是不断的除以2除以2… 二分法查找非常快且非常常用,但是唯一要求是要求数组是有序的,关于排序请参考第8条列表排序
代码实现
#!/usr/bin/python3.6
# -*- coding: utf-8 -*-
def BinarySearch(arr, key):
# 记录数组的最高位和最低位
min = 0
max = len(arr) - 1
if key in arr:
# 建立一个死循环,直到找到key
while True:
# 得到中位数
# 这里一定要加int,防止列表是偶数的时候出现浮点数据
center = int((min + max) / 2)
# key在数组左边
if arr[center] > key:
max = center - 1
# key在数组右边
elif arr[center] < key:
min = center + 1
# key在数组中间
elif arr[center] == key:
print(str(key) + "在数组里面的第" + str(center) + "个位置")
return arr[center]
else:
print("没有该数字!")
if __name__ == "__main__":
arr = [1, 6, 9, 15, 26, 38, 49, 57, 63, 77, 81, 93]
while True:
key = input("请输入你要查找的数字:")
if key == " ":
print("谢谢使用!")
break
else:
BinarySearch(arr, int(key))
该部分内容来自:https://www.cnblogs.com/bfyin/p/6404173.html
目前的话就是这些问题,后续会另起文章做补充,喜欢的同学可以点个赞或者转发到朋友圈,分享给更多的小伙儿伴。
最后
以上就是不安服饰最近收集整理的关于python开发面试问题_python近期遇到的一些面试问题(一)的全部内容,更多相关python开发面试问题_python近期遇到内容请搜索靠谱客的其他文章。
发表评论 取消回复