本文实例讲述了动态规划之矩阵连乘问题Python实现方法。分享给大家供大家参考,具体如下:
给定n个矩阵{A1,A2,…,An},其中Ai与Ai+1是可乘的,i=1,2 ,…,n-1。如何确定计算矩阵连乘积的计算次序,使得依此次序计算矩阵连乘积需要的数乘次数最少。
例如:
A1={30x35} ; A2={35x15} ;A3={15x5} ;A4={5x10} ;A5={10x20} ;A6={20x25} ;
结果为:((A1(A2A3))((A4A5)A6)) 最小的乘次为15125。
原问题为n个矩阵连乘,将原问题分解为子问题,即当n等于1,2,3.....时。
n==1时,单一矩阵,不需要计算。最小乘次为0
n==2时,根据n==1时的结果,遍历计算出每相邻两个矩阵的最小乘次
n==3时,根据n==1和n==2时的结果,此时已经求出每相邻1个、2个矩阵的最小乘次,遍历计算出该相邻三个矩阵的最小乘次
依次类推……
当n==n时,根据n==1、2、……n-1时的结果,此时已经求出每相邻1个、2个、3个……n-1个矩阵的最小乘次,由此求出n==n时的最小乘次
每当n增加1时,就利用已求出的子结构来求解此时的最优值。
数学描述如下:
设矩阵Ai的维数为Pi × Pi+1。
设A[i:j]为矩阵AiAi+1....Aj的连乘积,即从Ai到Aj的连乘积,其中,0 <= i <= j <= n-1
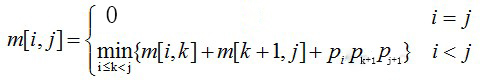
设m[i][j]为计算A[i:j]的最小乘次,所以原问题的最优值为m[0][n-1]。
当 i==j 时,单一矩阵,无需计算。m[i][i]=0,i=0,1,....n-1
当 i < j 时,利用最优子结构,计算m[i][j]。即寻找断开位置k(i <= k < j),使得m[i][k]+m[k+1][j]+Pi*Pk+1*Pj+1最小。

该算法的python实现:
# coding=gbk
# 矩阵连乘问题
__author__ = 'ice'
# row_num 每个矩阵的行数
class Matrix:
def __init__(self, row_num=0, col_num=0, matrix=None):
if matrix != None:
self.row_num = len(matrix)
self.col_num = len(matrix[0])
else:
self.row_num = row_num
self.col_num = col_num
self.matrix = matrix
def matrix_chain(matrixs):
matrix_num = len(matrixs)
count = [[0 for j in range(matrix_num)] for i in range(matrix_num)]
flag = [[0 for j in range(matrix_num)] for i in range(matrix_num)]
for interval in range(1, matrix_num + 1):
for i in range(matrix_num - interval):
j = i + interval
count[i][j] = count[i][i] + count[i + 1][j] + matrixs[i].row_num * matrixs[i + 1].row_num * matrixs[j].col_num
flag[i][j] = i
for k in range(i + 1, j):
temp = count[i][k] + count[k + 1][j] + matrixs[i].row_num * matrixs[k + 1].row_num * matrixs[j].col_num
if temp < count[i][j]:
count[i][j] = temp
flag[i][j] = k
traceback(0, matrix_num - 1, flag)
return count[0][matrix_num - 1]
def traceback(i, j, flag):
if i == j:
return
if j - i > 1:
print(str(i + 1) + '~' + str(j + 1), end=': ')
print(str(i + 1) + ":" + str(flag[i][j] + 1), end=',')
print(str(flag[i][j] + 2) + ":" + str(j + 1))
traceback(i, flag[i][j], flag)
traceback(flag[i][j] + 1, j, flag)
matrixs = [Matrix(30, 35), Matrix(35, 15), Matrix(15, 5), Matrix(5, 10), Matrix(10, 20), Matrix(20, 25)]
result = matrix_chain(matrixs)
print(result)
# 1~6: 1:3,4:6
# 1~3: 1:1,2:3
# 4~6: 4:5,6:6
# 15125
更多关于Python相关内容感兴趣的读者可查看本站专题:《Python数据结构与算法教程》、《Python加密解密算法与技巧总结》、《Python编码操作技巧总结》、《Python函数使用技巧总结》、《Python字符串操作技巧汇总》及《Python入门与进阶经典教程》
希望本文所述对大家Python程序设计有所帮助。
最后
以上就是认真康乃馨最近收集整理的关于动态规划之矩阵连乘问题Python实现方法的全部内容,更多相关动态规划之矩阵连乘问题Python实现方法内容请搜索靠谱客的其他文章。
发表评论 取消回复