Python是一门独特的语言,与C语言有很大区别,初学Python很多萌新表示对变量与赋值不理解,学过C的都知道,给变量赋值时,需要先指定数据类型,同时会开辟一块内存区域,用于存储值,例如:
int a = 1;

a 就是内存空间中的一小块区域,就像是一个大房间里面的一个小盒子,赋值就是把整数1装载到盒子里面。
现在给变量a重新赋值
a = 2;

盒子依然是那个盒子,也就是说内存地址没有变,只是该段内存中的值变了,变成了2。
再来看:
int b = a;

当把变量a赋值给另外一个变量b时,相当于把值拷贝了一份传递给变量b,b是新开辟的一段内存区域
而在Python中,“变量”的严格叫法是“名字(name)”,也可以理解为标签,就像我们人的姓名一样,名字就是挂在人身上的一个标签。
>>> 10-a Traceback (most recent call last): File "<stdin>", line 1, in <module> NameError: name 'a' is not defined
比如上面这段错误报的是name 'a' 没有定义,而没有说成 variable。
在Python中,给变量赋值就是相当于给对象贴标签,就像我们给人取名字一样,变量本身是没有任何意义的,它没有类型信息,真正的信息都在对象身上。
例如:
a = 1

Python内部首先会分配一段内存空间用于创建整数对象1,然后给这个1贴上名为a的标签。
然后执行
a=2
Python接着会在另一块内存区域创建整数对象2,然后把标签a从1身上撕下来贴在2身上,此时,我们没法再通过a来得到1这个值了。

现在把名字a赋值给另外一个名字b
b = a

相当于在刚才的2身上又贴了一个新的标签b,注意,这里和C语言是完全不一样的,定义b的时候不需要分配内存空间,这样我们既可以通过a来访问2也可以通过b来访问2,访问的都是同一个对象,就好比我们给宝宝取名时既有小名也有大名,其实叫的都是同一个人。
虽然我们通常在Python中还是用"变量"的叫法(因为在编程语言中这是一种通用叫法),但是我们需要理解Python中的变量不同于其他语言,变量只是一个名字。
理解了Python中的变量与赋值后,再来看函数的参数传递,如下所示:
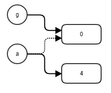
>>> def fun_a(a): ... a = a+4 ... >>> g = 0 >>> fun_a(g) >>> g 0
全局变量g传递给函数fun_a时,相当于函数中的参数a也将作为标签贴在0上,随后a被重新赋值了(a=a+4),相当于从0撕下标签a贴到4身上,然后g依然还是0上面的标签。

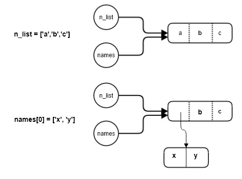
再来看这个函数,传递的是一个列表对象
>>> def fun_b(names): ... names[0] = ['x', 'y'] ... >>> n_list = ['a','b','c'] >>> fun_b(n_list) >>> >>> n_list [['x','y'], 'b', 'c']
与前面的步骤还是一样的,names 和 n_list 都是['a','b','c']上的一个标签,只是列表中的第0个元素被重新赋值了,但是names和 n_list 依然都贴在这个列表对象身上,虽然 n_list的值更新了,但对象依然是原来那个对象。就好比张三和小张都是同一个人,现在给小张换件衣服时,其实就是给张三换件衣服,人还是那个人,只是它身上的东西发生了变化。

以上内容就介绍到这,大家可以继续看下面的相关文章。
最后
以上就是沉默柜子最近收集整理的关于图解Python变量与赋值的全部内容,更多相关图解Python变量与赋值内容请搜索靠谱客的其他文章。
发表评论 取消回复