1 Derivative模块
对输入求导数


2 Integrator模块
对输入求积分


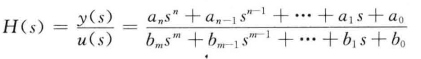
3 Transfer Fcn模块
传递函数

y(s)为系统输出,u(s)为系统输入



4 transport delay模块
用于延时系统的输入



5 Zero-Pole模块
表征一个以Laplace算子s为变量的零点、极点和增益的系统




6 State-Space模块
表征一个控制系统的状态空间,表达式如下:

A:表示系统状态空间矩阵系数,必须是n*n的矩阵,n为状态数,系统默认值为1
B:表示系统状态空间矩阵系数,必须是n*m的矩阵,m为状态数,系统默认值为1
C:表示系统状态空间矩阵系数,必须是r*n的矩阵,r为状态数,系统默认值为1
D:表示系统状态空间矩阵系数,必须是r*m的矩阵,r为状态数,系统默认值为1



最后
以上就是动人白羊最近收集整理的关于Matlab-Simulink_连续模块的全部内容,更多相关Matlab-Simulink_连续模块内容请搜索靠谱客的其他文章。
本图文内容来源于网友提供,作为学习参考使用,或来自网络收集整理,版权属于原作者所有。
发表评论 取消回复