设置函数
我们可以找到一个函数
P
w
,
b
(
C
1
∣
x
)
P_{w,b}(C_1|x)
Pw,b(C1∣x),如果
P
w
,
b
(
C
1
∣
x
)
≥
0.5
P_{w,b}(C_1|x)ge0.5
Pw,b(C1∣x)≥0.5则输出
C
1
C_1
C1,否则输出
C
2
C_2
C2。
逻辑回归的模型如下:
P
w
,
b
(
C
1
∣
x
)
=
σ
(
z
)
P_{w,b}(C_1|x)=sigma(z)
Pw,b(C1∣x)=σ(z)
z = w x + b = ∑ i = 1 n w i x i + b z=wx+b=sum_{i=1}^nw_ix_i+b z=wx+b=∑i=1nwixi+b
σ
(
z
)
=
1
1
+
e
x
p
(
−
z
)
sigma(z)=frac{1}{1+exp(-z)}
σ(z)=1+exp(−z)1

所以我们设置函数为:

判断函数的好坏
假设我们有下面的一组数据:

我们假定数据是依据函数
f
w
,
b
(
x
)
=
P
w
,
b
(
C
1
∣
x
)
f_{w,b}(x)=P_{w,b}(C_1|x)
fw,b(x)=Pw,b(C1∣x)生成的,那么接下来我们就要求取参数
w
w
w和
b
b
b了。
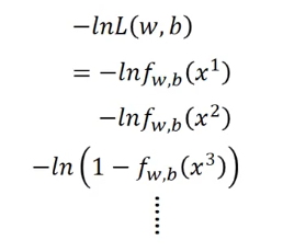
我们定义:

最有可能让训练集呈现上面的样子的是使
L
(
w
,
b
)
L(w,b)
L(w,b)最大的
w
∗
w^*
w∗和
b
∗
b^*
b∗,即:

为了简化计算,我们对上式进行一下转换:

这时候原本的乘法就变成了加法:

又(这里用到了交叉熵.),我们定义
−
l
n
L
(
w
,
b
)
-lnL(w,b)
−lnL(w,b)为交叉熵损失函数


找一个最好的函数
交叉熵损失函数对
w
i
w_i
wi求偏导(这里用到了求导的链式法则)

进行化简得:

逻辑回归和线性回归的对比

为什么逻辑回归不用平方损失函数
如果我们在逻辑回归中用了平方损失函数的话:

我们可以看到,如果目标值
y
^
n
=
1
hat y^n=1
y^n=1,当
f
w
,
b
(
x
n
)
=
1
f_{w,b}(x^n)=1
fw,b(xn)=1时,偏导数为0,也就是说因为我们计算出来的值跟目标值是一样的所以不需要更新,这是正确的。但当
f
w
,
b
(
x
n
)
=
0
f_{w,b}(x^n)=0
fw,b(xn)=0的时候,平方损失函数的偏导数为0,也就是说不需要更新,但事实上我们的计算值离实际值很远。
同样的情况会出现在
y
^
n
=
0
hat y^n=0
y^n=0中。

最后
以上就是简单心锁最近收集整理的关于李宏毅深度学习笔记(六)逻辑回归设置函数判断函数的好坏找一个最好的函数逻辑回归和线性回归的对比为什么逻辑回归不用平方损失函数的全部内容,更多相关李宏毅深度学习笔记(六)逻辑回归设置函数判断函数内容请搜索靠谱客的其他文章。
发表评论 取消回复