正则化(Regularization)
机器学习中几乎都可以看到损失函数后面会添加一个额外项,常用的额外项一般有两种,一般英文称作 ℓ1 -norm和 ℓ2 -norm,中文称作L1正则化和L2正则化,或者L1范数和L2范数。
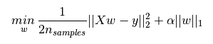
L1正则化和L2正则化可以看做是损失函数的惩罚项。对于线性回归模型,使用L1正则化的模型建叫做Lasso回归,使用L2正则化的模型叫做Ridge回归(岭回归)。下图是Python中Lasso回归的损失函数,式中加号后面一项 α||w||1 即为L1正则化项。

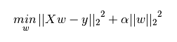
下图是Python中Ridge回归的损失函数,式中加号后面一项 α||w||22 即为L2正则化项。

一般回归分析中回归 w 表示特征的系数,从上式可以看到正则化项是对系数做了处理。L1正则化和L2正则化的说明如下:
- L1正则化是指权值向量 w 中各个元素的绝对值之和,通常表示为 ||w||1
- L2正则化是指权值向量 w 中各个元素的平方和然后再求平方根(可以看到Ridge回归的L2正则化项有平方符号),通常表示为 ||w||2
一般都会在正则化项之前添加一个系数,Python中用 α 表示,一些文章也用 λ 表示。这个系数需要用户指定。
那添加L1和L2正则化有什么用?下面是L1正则化和L2正则化的作用,这些表述可以在很多文章中找到。
- L1正则化可以产生稀疏权值矩阵,即产生一个稀疏模型,因此可以用于特征选择
- L2正则化可以防止模型过拟合(overfitting);一定程度上,L1也可以防止过拟合
稀疏模型与特征选择
上面提到L1正则化有助于生成一个稀疏权值矩阵,进而可以用于特征选择。为什么要生成一个稀疏矩阵?
稀疏矩阵指的是很多元素为0,只有少数元素是非零值的矩阵,即得到的线性回归模型的大部分系数都是0. 通常机器学习中特征数量很多,例如文本处理时,如果将一个词组(term)作为一个特征,那么特征数量会达到上万个(bigram)。在预测或分类时,那么多特征显然难以选择,但是如果代入这些特征得到的模型是一个稀疏模型,表示只有少数特征对这个模型有贡献,绝大部分特征是没有贡献的,或者贡献微小(因为它们前面的系数是0或者是很小的值,即使去掉对模型也没有什么影响),此时我们就可以只关注系数是非零值的特征。这就是稀疏模型与特征选择的关系。
L1和L2正则化的直观理解
这部分内容将解释为什么L1正则化可以产生稀疏模型(L1是怎么让系数等于零的),以及为什么L2正则化可以防止过拟合。
L1正则化和特征选择
假设有如下带L1正则化的损失函数:
其中 J0 是原始的损失函数,加号后面的一项是L1正则化项, α 是正则化系数。注意到L1正则化是权值的 绝对值之和 , J 是带有绝对值符号的函数,因此 J 是不完全可微的。机器学习的任务就是要通过一些方法(比如梯度下降)求出损失函数的最小值。当我们在原始损失函数 J0 后添加L1正则化项时,相当于对 J0 做了一个约束。令 L=α∑w|w| ,则 J=J0+L ,此时我们的任务变成 在 L 约束下求出 J0 取最小值的解 。考虑二维的情况,即只有两个权值 w1 和 w2 ,此时 L=|w1|+|w2| 对于梯度下降法,求解 J0 的过程可以画出等值线,同时L1正则化的函数 L 也可以在 w1w2 的二维平面上画出来。如下图:
图1 L1正则化
图中等值线是 J0 的等值线,黑色方形是 L 函数的图形。在图中,当 J0 等值线与 L 首次相交的地方就是最优解。上图中 J0 与 L 在 L 的一个顶点处相交,这个顶点就是最优解。注意到这个顶点的值是 (w1,w2)=(0,w) 。可以直观想象,因为 L 函数有很多『突出的角』(二维情况下四个,多维情况下更多), J0 与这些角接触的机率会远大于与 L 其它部位接触的机率,而在这些角上,会有很多权值等于0,这就是为什么L1正则化可以产生稀疏模型,进而可以用于特征选择。
类似,假设有如下带L2正则化的损失函数:
同样可以画出他们在二维平面上的图形,如下:
图2 L2正则化
二维平面下L2正则化的函数图形是个圆,与方形相比,被磨去了棱角。因此 J0 与 L 相交时使得 w1 或 w2 等于零的机率小了许多,这就是为什么L2正则化不具有稀疏性的原因。
L2正则化和过拟合
拟合过程中通常都倾向于让权值尽可能小,最后构造一个所有参数都比较小的模型。因为一般认为参数值小的模型比较简单,能适应不同的数据集,也在一定程度上避免了过拟合现象。可以设想一下对于一个线性回归方程,若参数很大,那么只要数据偏移一点点,就会对结果造成很大的影响;但如果参数足够小,数据偏移得多一点也不会对结果造成什么影响,专业一点的说法是『抗扰动能力强』。
那为什么L2正则化可以获得值很小的参数?
以线性回归中的梯度下降法为例。假设要求的参数为
θ
,
hθ(x)
是我们的假设函数,那么线性回归的代价函数如下:
那么在梯度下降法中,最终用于迭代计算参数 θ 的迭代式为:
其中 α 是learning rate. 上式是没有添加L2正则化项的迭代公式,如果在原始代价函数之后添加L2正则化,则迭代公式会变成下面的样子:
其中 λ 就是正则化参数。从上式可以看到,与未添加L2正则化的迭代公式相比,每一次迭代, θj 都要先乘以一个小于1的因子,从而使得 θj 不断减小,因此总得来看, θ 是不断减小的。
正则化参数的选择
L1正则化参数
通常越大的 λ 可以让代价函数在参数为0时取到最小值。下面是一个简单的例子,这个例子来自Quora上的问答。为了方便叙述,一些符号跟这篇帖子的符号保持一致。
假设有如下带L1正则化项的代价函数:
其中 x 是要估计的参数,相当于上文中提到的 w 以及 θ . 注意到L1正则化在某些位置是不可导的,当 λ 足够大时可以使得 F(x) 在 x=0 时取到最小值。如下图:
图3 L1正则化参数的选择
分别取 λ=0.5 和 λ=2 ,可以看到越大的 λ 越容易使 F(x) 在 x=0 时取到最小值。
L2正则化参数
从公式5可以看到, λ 越大, θj 衰减得越快。另一个理解可以参考图2, λ 越大,L2圆的半径越小,最后求得代价函数最值时各参数也会变得很小。
Reference
过拟合的解释:
https://hit-scir.gitbooks.io/neural-networks-and-deep-learning-zh_cn/content/chap3/c3s5ss2.html
正则化的解释:
https://hit-scir.gitbooks.io/neural-networks-and-deep-learning-zh_cn/content/chap3/c3s5ss1.html
正则化的解释:
http://blog.csdn.net/u012162613/article/details/44261657
正则化的数学解释(一些图来源于这里):
http://blog.csdn.net/zouxy09/article/details/24971995
最后
以上就是呆萌酒窝最近收集整理的关于L1范数和L2范数的区别 正则化(Regularization) L1和L2正则化的直观理解 正则化参数的选择 Reference的全部内容,更多相关L1范数和L2范数的区别内容请搜索靠谱客的其他文章。
发表评论 取消回复