文章目录
- 1. 树的概念及结构
- 1.1 树的概念
- 1.2 树的相关概念
- 1.3 树的表示方法
- 1.4 树在实际中的运用
- 2. 二叉树概念及结构
- 2.1概念
- 2.2特殊的二叉树:
- 2.3 二叉树的性质
- 3. 练手小题
- 补充:
- 例题1:
- 例题2:
- 例题3:
- 例题4:
- 例题5:
- 例题6:
- 例题7:
- 例题8:
1. 树的概念及结构
1.1 树的概念
树是一种非线性的数据结构,它是由n(n>=0)个有限结点组成一个具有层次关系的集合。把它叫做树是因为它看起来像一棵倒挂的树,也就是说它是根朝上,而叶朝下的。
- 有一个特殊的结点,称为根结点,根节点没有前驱结点
- 除根节点外,其余结点被分成M(M>0)个互不相交的集合T1、T2、……、Tm,其中每一个集合Ti(1<= i<= m)又是一棵结构与树类似的子树。每棵子树的根结点有且只有一个前驱,可以有0个或多个后继
- 因此,树是递归定义的。

注意:树形结构中,子树之间不能有交集,否则就不是树形结构

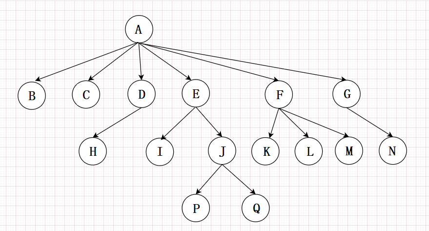
1.2 树的相关概念

节点的度: 一个节点含有的子树的个数称为该节点的度; 如上图:A的为6
叶节点或终端节点: 度为0的节点称为叶节点; 如上图:B、C、H、I…等节点为叶节点
非终端节点或分支节点: 度不为0的节点; 如上图:D、E、F、G…等节点为分支节点
双亲节点或父节点: 若一个节点含有子节点,则这个节点称为其子节点的父节点; 如上图:A是B的父节点
孩子节点或子节点: 一个节点含有的子树的根节点称为该节点的子节点; 如上图:B是A的孩子节点
兄弟节点: 具有相同父节点的节点互称为兄弟节点; 如上图:B、C是兄弟节点
树的度: 一棵树中,最大的节点的度称为树的度; 如上图:树的度为6
节点的层次: 从根开始定义起,根为第1层,根的子节点为第2层,以此类推
树的高度或深度: 树中节点的最大层次; 如上图:树的高度为4
堂兄弟节点: 双亲在同一层的节点互为堂兄弟;如上图:H、I互为兄弟节点
节点的祖先: 从根到该节点所经分支上的所有节点;如上图:A是所有节点的祖先
子孙: 以某节点为根的子树中任一节点都称为该节点的子孙。如上图:所有节点都是A的子孙
森林: 由m(m>0)棵互不相交的树的集合称为森林
1.3 树的表示方法
下面提供几种方法:
- 当知道树的度时:
(1)定义一个结构体,结构体的内容为一个数据类型变量用来存储数据,一个指针数组,数组中每个元素存放孩子的指针。
#define N 5
typedef struct TreeNode
{
int data;
struct TreeNode* sub[N]; //指针数组,数组每个元素指向了孩子的指针
};
(缺陷:树的度是所有结点的度中最大的那一个,所以这样表示树会存在空间浪费。)
2. 当不知道树的度时:
(1)定义一个结构体,结构体的内容为一个数据类型用来用来存储数据,一个顺序表用来存指向该结点孩子的指针,每个结点中都有一个顺序表。
typedef struct TreeNode
{
int data;
//用顺序表存孩子的指针,每一个结点里面都有一个顺序表
SeqList_s1; //SLDataType -> struct TreeNode* - 用一个顺序表来存储
//vector<struct TreeNode*> _subs; C++
};
(缺陷:相比于面向对象的语言,用C语言实现这种结构的话会很麻烦。)
(2)还有几种非主流的写法,例如用数组的方法,数组中存放孩子结点的下标,当然该方法还是很麻烦,用的也很少。
下面介绍一种非常优秀的表示方法:(没有之一)
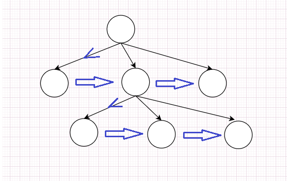
孩子兄弟表示法:
typedef int DataType;
struct TreeNode
{
struct TreeNode* firstChild1; // 第一个孩子结点
struct TreeNode* pNextBrother; // 指向其下一个兄弟结点
DataType data; // 结点中
};
一个结点有多少个孩子都无所谓:
父亲指向第一个孩子,剩下的孩子,用孩子的兄弟指针链接起来。

具体内部示意图:

1.4 树在实际中的运用
(表示文件系统的目录树结构)

2. 二叉树概念及结构
2.1概念
一棵二叉树是结点的一个有限集合,该集合:
- 或者为空
- 由一个根节点加上两棵别称为左子树和右子树的二叉树组成,从上图可以看出:

- 二叉树不存在度大于2的结点
- 二叉树的子树有左右之分,次序不能颠倒,因此二叉树是有序树
注意:对于任意的二叉树都是由以下几种情况复合而成的:

2.2特殊的二叉树:
- 满二叉树:一个二叉树,如果每一个层的结点数都达到最大值,则这个二叉树就是满二叉树。也就是
说,如果一个二叉树的层数为K,且结点总数是 ,则它就是满二叉树。 - 完全二叉树:完全二叉树是效率很高的数据结构,完全二叉树是由满二叉树而引出来的。对于深度为K
的,有n个结点的二叉树,当且仅当其每一个结点都与深度为K的满二叉树中编号从1至n的结点一一对
应时称之为完全二叉树。 要注意的是满二叉树是一种特殊的完全二叉树

2.3 二叉树的性质
- 若规定根节点的层数为1,则一棵非空二叉树的 第i层上最多有2^(i - 1) 个结点.
- 若规定根节点的层数为1,则深度为h的二叉树的最大结点数是 2^h - 1.
- 对任何一棵二叉树, 如果度为0其叶结点个数为 N0, 度为2的分支结点个数为 N2,则有 N0 = N2 + 1.
- 若规定根节点的层数为1,具有n个结点的满二叉树的深度,h = log2(n + 1) . (ps:log2(n + 1)是log以2为底,n + 1为对数).
对(N0 = N2 + 1)的推导:
假设度为0的结点(叶节点)个数为N0
假设度为1的结点个数为N1
假设度为2的结点个数为N2
假设树总结点数为N:
- 我们知道树的边数是比结点数少1的,因为除了头结点其他的所有结点都有一条边是指向它的,所以树的边数为:N - 1。
我们又知道:
- 树的总边数 = 每个结点的度的总和
- 树的总结点数 = 各结点总和
所以:
- N = N0 + N1 + N2
- N - 1 = 0 * N0 + 1 * N1 + 2 * N2
两式联立便可以得到:
- N0 = N2 + 1
满二叉树总结点数是由等比数列求和公式求得不再赘述。

3. 练手小题
补充:
在这里补充一个小的技巧规律,基于二叉树的特性,我们总结出:
对于一个完全二叉树来说,度为1的结点树,只有0,或者1,两种可能。
- 当完全二叉树的结点总个数为偶数个时:
此时该二叉树的最后一层节点为奇数个,并且度为1的结点个数为1个,如图:

- 当完全二叉树的结总个数为奇数个时:
此时该二叉树的最后一层节点为偶数个,并且度为1的结点个数为0个,如图:
假设度为0的结点(叶节点)个数为N0
假设度为2的结点个数为N1
假设度为2的结点个数为N2
假设树总结点数为N:
例题1:
1.某二叉树共有399个结点,其中有199个度为2的结点,则该二叉树中的叶子结点数为()
A 不存在这样的二叉树
B 200
C 198
D 199
根据二叉树的性质:
- N0 = N2 + 1
- N0 = 199 + 1 = 200
例题2:
2.在具有2n个结点的完全二叉树中,叶子结点个数为()
A n
B n+1
C n-1
D n/2
因为2n为偶数,根据补充的内容得出:N1 = 1
- N = N0 + N1 + N2
- N2 = N0 - 1
联立两式得: - 2n = N0 + 1 + N0 - 1
- N0 = n
例题3:
3.一棵完全二叉树的节点数位为531个,那么这棵树的高度为()
A 11
B 10
C 8
D 12
这题我们将这棵完全二叉树想象成满二叉树,用满二叉树总结点个数的公式去尝试:
满二叉树总结点个数:2^h - 1
- 我们可以列一个不等式2 ^h - 1 < 531 < 2 ^(h - 1) - 1
- 解出来 h = 10 的时候满足条件
例题4:
4.一个具有767个节点的完全二叉树,其叶子节点个数为()
A 383
B 384
C 385
D 386
因为767为奇数,根据补充的内容得出:N1 = 0
- N = N0 + N1 + N2
- N2 = N0 - 1
联立两式得: - 767 = N0 + 0 + N0 - 1
- N0 = 384
公布答案: B A B B
例题5:
5.在一颗度为3的树中,度为3的结点有2个,度为2的结点有1个,度为1的结点有2个,则叶子结点有()个
A 4
B 5
C 6
D 7
- N = N0 + N1 + N2 + N3
N = N0 + 2 + 1 + 2 - N - 1 = 0 * N0 + 1 * N1 + 2 * N2 + 3 * N3
N - 1 = 0 + 2 + 2 + 6
联立两式得:
N0 = 6
例题6:
6.一颗拥有1000个结点的树度为4,则它的最小深度是()
A 5
B 6
C 7
D 8
既然要求最小的深度,那么数的每一层应该都是满的才能满足条件要求:
那么该数就为一棵四叉树,根据等比数列求和公式,得到总结点个数:(4^h - 1) / 3
- 当h = 5, 最大节点数为341,
- 当h = 6, 最大节点数为1365
- 所以最小深度应该为6
例题7:
7.一颗完全_二叉树上有1001个结点,其叶子结点的个数是()
A 251
B 500
C 501
D 不能确定
因为1001为奇数,根据补充的内容得出:N1 = 0
- N = N0 + N1 + N2
- N2 = N0 - 1
联立两式得: - 1001 = N0 + 0 + N0 - 1
- N0 = 501
例题8:
8.2-3树是一种特殊的树,它满足两个条件:
(1)每个内部结点有两个或三个子结点
(2)所有的叶结点到根的距离相同
如果一颗2-3树有10个结点,那么它有()个叶结点。
A 7
B 8
C 7或8
D 6
根据题目意思,每一个非叶子节点至少有两个孩子节点,并且叶子节点都在同一层
- 所以,假设树的高度为h,
- 则二三树种最小的节点个数为满二叉树的个数:2 ^ h - 1, 最大个数:( 3^ h - 1) / 2
- 所以 2^ h - 1 < 10 < (3^h - 1) / 2, 解得:h为3
- 结构是1(3(2,2,2))
- 所以叶节点个数为6
结构如图所示:

公布答案: C B C D
最后
以上就是虚心唇膏最近收集整理的关于【数据结构】二叉树 —— 概念 + 结构1. 树的概念及结构2. 二叉树概念及结构3. 练手小题的全部内容,更多相关【数据结构】二叉树内容请搜索靠谱客的其他文章。
发表评论 取消回复