我是靠谱客的博主 稳重河马,这篇文章主要介绍第7章 集合和映射7-1 集合基础和基于二分搜索树的集合实现7-2 基于链表的集合实现7-3 集合类的复杂度分析7-4 LeetCode中的集合问题7-5 映射基础7-6 基于链表的映射实现7-7 基于二分搜索树的映射实现7-8 映射的复杂度分析7-9 LeetCode上更多集合和映射的问题,现在分享给大家,希望可以做个参考。
第7章 集合和映射
- 7-1 集合基础和基于二分搜索树的集合实现
- 7-2 基于链表的集合实现
- 7-3 集合类的复杂度分析
- 7-4 LeetCode中的集合问题
- 7-5 映射基础
- 7-6 基于链表的映射实现
- 7-7 基于二分搜索树的映射实现
- 7-8 映射的复杂度分析
- 7-9 LeetCode上更多集合和映射的问题
7-1 集合基础和基于二分搜索树的集合实现

public interface Set<E> {
void add(E e);
boolean contains(E e);
void remove(E e);
int getSize();
boolean isEmpty();
}
利用上一章实现的二分搜索树
public class BSTSet<E extends Comparable<E>> implements Set<E> {
private BST<E> bst;
public BSTSet(){
bst = new BST<>();
}
@Override
public int getSize(){
return bst.size();
}
@Override
public boolean isEmpty(){
return bst.isEmpty();
}
@Override
public void add(E e){
bst.add(e);
}
@Override
public boolean contains(E e){
return bst.contains(e);
}
@Override
public void remove(E e){
bst.remove(e);
}
}
7-2 基于链表的集合实现

import java.util.ArrayList;
public class LinkedListSet<E> implements Set<E> {
private LinkedList<E> list;
public LinkedListSet(){
list = new LinkedList<>();
}
@Override
public int getSize(){
return list.getSize();
}
@Override
public boolean isEmpty(){
return list.isEmpty();
}
@Override
public void add(E e){
if(!list.contains(e))
list.addFirst(e);
}
@Override
public boolean contains(E e){
return list.contains(e);
}
@Override
public void remove(E e){
list.removeElement(e);
}
}
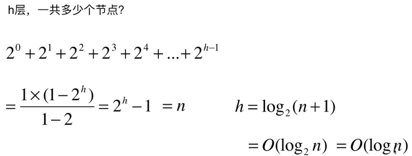
7-3 集合类的复杂度分析


7-4 LeetCode中的集合问题
LeetCode 804
import java.util.TreeSet;
public class Solution {
public int uniqueMorseRepresentations(String[] words) {
String[] codes = {".-","-...","-.-.","-..",".","..-.","--.","....","..",".---","-.-",".-..","--","-.","---",".--.","--.-",".-.","...","-","..-","...-",".--","-..-","-.--","--.."};
TreeSet<String> set = new TreeSet<>();
for(String word: words){
StringBuilder res = new StringBuilder();
for(int i = 0 ; i < word.length() ; i ++)
res.append(codes[word.charAt(i) - 'a']);
set.add(res.toString());
}
return set.size();
}
}
7-5 映射基础


public interface Map<K, V> {
void add(K key, V value);
V remove(K key);
boolean contains(K key);
V get(K key);
void set(K key, V newValue);
int getSize();
boolean isEmpty();
}
7-6 基于链表的映射实现
import java.util.ArrayList;
public class LinkedListMap<K, V> implements Map<K, V> {
private class Node{
public K key;
public V value;
public Node next;
public Node(K key, V value, Node next){
this.key = key;
this.value = value;
this.next = next;
}
public Node(K key, V value){
this(key, value, null);
}
public Node(){
this(null, null, null);
}
@Override
public String toString(){
return key.toString() + " : " + value.toString();
}
}
private Node dummyHead;
private int size;
public LinkedListMap(){
dummyHead = new Node();
size = 0;
}
@Override
public int getSize(){
return size;
}
@Override
public boolean isEmpty(){
return size == 0;
}
private Node getNode(K key){
Node cur = dummyHead.next;
while(cur != null){
if(cur.key.equals(key))
return cur;
cur = cur.next;
}
return null;
}
@Override
public boolean contains(K key){
return getNode(key) != null;
}
@Override
public V get(K key){
Node node = getNode(key);
return node == null ? null : node.value;
}
@Override
public void add(K key, V value){
Node node = getNode(key);
if(node == null){
dummyHead.next = new Node(key, value, dummyHead.next);
size ++;
}
else
node.value = value;
}
@Override
public void set(K key, V newValue){
Node node = getNode(key);
if(node == null)
throw new IllegalArgumentException(key + " doesn't exist!");
node.value = newValue;
}
@Override
public V remove(K key){
Node prev = dummyHead;
while(prev.next != null){
if(prev.next.key.equals(key))
break;
prev = prev.next;
}
if(prev.next != null){
Node delNode = prev.next;
prev.next = delNode.next;
delNode.next = null;
size --;
return delNode.value;
}
return null;
}
}
7-7 基于二分搜索树的映射实现
import java.util.ArrayList;
public class BSTMap<K extends Comparable<K>, V> implements Map<K, V> {
private class Node{
public K key;
public V value;
public Node left, right;
public Node(K key, V value){
this.key = key;
this.value = value;
left = null;
right = null;
}
}
private Node root;
private int size;
public BSTMap(){
root = null;
size = 0;
}
@Override
public int getSize(){
return size;
}
@Override
public boolean isEmpty(){
return size == 0;
}
// 向二分搜索树中添加新的元素(key, value)
@Override
public void add(K key, V value){
root = add(root, key, value);
}
// 向以node为根的二分搜索树中插入元素(key, value),递归算法
// 返回插入新节点后二分搜索树的根
private Node add(Node node, K key, V value){
if(node == null){
size ++;
return new Node(key, value);
}
if(key.compareTo(node.key) < 0)
node.left = add(node.left, key, value);
else if(key.compareTo(node.key) > 0)
node.right = add(node.right, key, value);
else // key.compareTo(node.key) == 0
node.value = value;
return node;
}
// 返回以node为根节点的二分搜索树中,key所在的节点
private Node getNode(Node node, K key){
if(node == null)
return null;
if(key.equals(node.key))
return node;
else if(key.compareTo(node.key) < 0)
return getNode(node.left, key);
else // if(key.compareTo(node.key) > 0)
return getNode(node.right, key);
}
@Override
public boolean contains(K key){
return getNode(root, key) != null;
}
@Override
public V get(K key){
Node node = getNode(root, key);
return node == null ? null : node.value;
}
@Override
public void set(K key, V newValue){
Node node = getNode(root, key);
if(node == null)
throw new IllegalArgumentException(key + " doesn't exist!");
node.value = newValue;
}
// 返回以node为根的二分搜索树的最小值所在的节点
private Node minimum(Node node){
if(node.left == null)
return node;
return minimum(node.left);
}
// 删除掉以node为根的二分搜索树中的最小节点
// 返回删除节点后新的二分搜索树的根
private Node removeMin(Node node){
if(node.left == null){
Node rightNode = node.right;
node.right = null;
size --;
return rightNode;
}
node.left = removeMin(node.left);
return node;
}
// 从二分搜索树中删除键为key的节点
@Override
public V remove(K key){
Node node = getNode(root, key);
if(node != null){
root = remove(root, key);
return node.value;
}
return null;
}
private Node remove(Node node, K key){
if( node == null )
return null;
if( key.compareTo(node.key) < 0 ){
node.left = remove(node.left , key);
return node;
}
else if(key.compareTo(node.key) > 0 ){
node.right = remove(node.right, key);
return node;
}
else{ // key.compareTo(node.key) == 0
// 待删除节点左子树为空的情况
if(node.left == null){
Node rightNode = node.right;
node.right = null;
size --;
return rightNode;
}
// 待删除节点右子树为空的情况
if(node.right == null){
Node leftNode = node.left;
node.left = null;
size --;
return leftNode;
}
// 待删除节点左右子树均不为空的情况
// 找到比待删除节点大的最小节点, 即待删除节点右子树的最小节点
// 用这个节点顶替待删除节点的位置
Node successor = minimum(node.right);
successor.right = removeMin(node.right);
successor.left = node.left;
node.left = node.right = null;
return successor;
}
}
}
7-8 映射的复杂度分析

7-9 LeetCode上更多集合和映射的问题
349. 两个数组的交集
import java.util.ArrayList;
import java.util.TreeSet;
class Solution349 {
public int[] intersection(int[] nums1, int[] nums2) {
TreeSet<Integer> set = new TreeSet<>();
for(int num: nums1)
set.add(num);
ArrayList<Integer> list = new ArrayList<>();
for(int num: nums2){
if(set.contains(num)){
list.add(num);
set.remove(num);
}
}
int[] res = new int[list.size()];
for(int i = 0 ; i < list.size() ; i ++)
res[i] = list.get(i);
return res;
}
}
350. 两个数组的交集 II
import java.util.ArrayList;
import java.util.TreeMap;
public class Solution350 {
public int[] intersect(int[] nums1, int[] nums2) {
TreeMap<Integer, Integer> map = new TreeMap<>();
for(int num: nums1){
if(!map.containsKey(num))
map.put(num, 1);
else
map.put(num, map.get(num) + 1);
}
ArrayList<Integer> res = new ArrayList<>();
for(int num: nums2){
if(map.containsKey(num)){
res.add(num);
map.put(num, map.get(num) - 1);
if(map.get(num) == 0)
map.remove(num);
}
}
int[] ret = new int[res.size()];
for(int i = 0 ; i < res.size() ; i ++)
ret[i] = res.get(i);
return ret;
}
}
最后
以上就是稳重河马最近收集整理的关于第7章 集合和映射7-1 集合基础和基于二分搜索树的集合实现7-2 基于链表的集合实现7-3 集合类的复杂度分析7-4 LeetCode中的集合问题7-5 映射基础7-6 基于链表的映射实现7-7 基于二分搜索树的映射实现7-8 映射的复杂度分析7-9 LeetCode上更多集合和映射的问题的全部内容,更多相关第7章内容请搜索靠谱客的其他文章。
本图文内容来源于网友提供,作为学习参考使用,或来自网络收集整理,版权属于原作者所有。
发表评论 取消回复