我是靠谱客的博主 义气樱桃,这篇文章主要介绍opencv_python 边缘检测笔记(Sobel,Scharr,Laplacian,Canny)opencv_python 边缘检测笔记(Sobel,Scharr,Laplacian,Canny),现在分享给大家,希望可以做个参考。
opencv_python 边缘检测笔记(Sobel,Scharr,Laplacian,Canny)




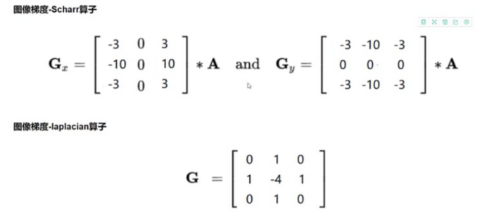
梯度和方向
非极大值抑制:
当中心点C>(dTmp1 && dTmp2)时,保留
当中心点C<(dTmp1 || dTmp2)时,非极大值抑制

当A>(C&&B)时,保留
当A<(C||B)时,非极大值抑制

保留潜在边缘

代码实现:
import cv2
import numpy as np
img = cv2.imread("img/lena.jpg", 0)
# canny边缘检测
canny = cv2.Canny(img, 50, 100)
# Sobel算子
sobelx = cv2.Sobel(img, cv2.CV_64F, dx=1, dy=0, ksize=3)
sobelx = cv2.convertScaleAbs(sobelx)
sobely = cv2.Sobel(img, cv2.CV_64F, dx=0, dy=1, ksize=3)
sobely = cv2.convertScaleAbs(sobely)
sobelxy = cv2.addWeighted(sobelx, 0.5, sobely, 0.5, 0)
# Schar算子
scharrx = cv2.Scharr(img, cv2.CV_64F, dx=1, dy=0)
scharrx = cv2.convertScaleAbs(scharrx)
scharry = cv2.Scharr(img, cv2.CV_64F, dx=0, dy=1)
scharry = cv2.convertScaleAbs(scharry)
scharrxy = cv2.addWeighted(scharrx, 0.5, scharry, 0.5, 0)
# Laplacian算子
laplacian = cv2.Laplacian(img, cv2.CV_64F)
laplacian = cv2.convertScaleAbs(laplacian)
cv2.imshow('canny', canny)
cv2.imshow('Sobel', sobelxy)
cv2.imshow('scharr', scharrxy)
cv2.imshow('laplacian', laplacian)
cv2.waitKey(0)
cv2.destroyAllWindows()

参考视频:
https://www.bilibili.com/video/av61678672/?p=6
最后
以上就是义气樱桃最近收集整理的关于opencv_python 边缘检测笔记(Sobel,Scharr,Laplacian,Canny)opencv_python 边缘检测笔记(Sobel,Scharr,Laplacian,Canny)的全部内容,更多相关opencv_python内容请搜索靠谱客的其他文章。
本图文内容来源于网友提供,作为学习参考使用,或来自网络收集整理,版权属于原作者所有。
发表评论 取消回复