我是靠谱客的博主 勤劳宝贝,这篇文章主要介绍android8.1时间设置物理层_无线物理层识别:建模与验证,现在分享给大家,希望可以做个参考。

d9304a3d9b4b50e4c956e0af4162410d.png

摘要

无线物理层识别(WPLI)技术是利用无线信号的物理波形的独特特征来识别和分类授权设备。由于内在物理层特征很难被篡改,因此WPLI技术是一种比较好的无线安全解决方案。本文首次建立了无线物理层识别模型系统性地描述WPLI过程,基于发射端非线性谱特征分别研究了不同发射机、接收机、无线信道环境下的识别问题。最后通过理论建模和实验验证,在实际操作环境和无线协议下评估了该技术的可靠性。

引言

本文介绍了各种射频指纹(RFF)的来源,在发射机侧,RFF来源于发射机设备的硬件缺陷,其中包括时钟抖动,DAC采样误差,混频器,功率放大器非线性,设备天线,调制器子电路等。RFF标记的信号由发射器天线辐射到无线信道中,信道路径损耗和多径衰落也会对传输信号波形产生影响。信号到达接收端后,接收机采样率和FFT点数同样会对指纹特征产生一定的影响。本文围绕“射频指纹(RFF)”的可靠性和可区分性展开研究,主要探讨以下问题:

  1. 射频指纹(RFF)在实际应用中是否足够可靠且可区分。更具体地说,在实际操作环境,无线物理层识别技术是否可以可靠且唯一地识别授权用户和虚假用户。
  2. 设备移动问题。大多数文章中的识别分类结果都是在固定无线信道下推导出来的。实际上,实际的无线信道,比如室内和城市环境中的多径信道,具有高度的动态性,大多数现有的WPLI解决方案需要每次WPLI系统置于新环境时更新RFF数据库,但是分类器在用户移动时重建RFF数据库需要消耗大量时间和成本。

无线物理层识别的理论模型:

本文建立的WPLI模型如图1所示。在信号产生模块,首先生成OQPSK、8PSK 、16QAM 信号用于传输。由于任何特定的无线协议(例如,802.11,802.15,GSM / GPRS等)都定义了特定的调制方案和整形滤波器,本文使用Micaz传感器节点作为发射装置,该装置工作在IEEE 802.15.4协议下,所以信号模块使用该协议规定的OQPSK调制和半波整流滤波方式(HS)。实验中用到的其他的用于对比的信号调制方式和整形滤波方式有:OQPSK调制和根升余弦滤波(RRC),8PSK调制和RRC滤波,16QAM调制和RRC滤波。其中,HS滤波用于IEEE 802.15.4协议,RRC滤波用于GSM蜂窝系统。

f7828a10594ee6b045020aed60a125e7.png
图1 无线通信系统中的WPLI模型

发射机、调制方式和整形滤波器对RFF的影响:

本文中研究的RFF认为来源于发射机前端功率放大器的非线性失真和频谱再生,可以利用复数功率级数行为模型对其进行理论建模。通过拟合真实环境下的设备输出信号的频谱来推导出不同设备独特的非线性特征系数集。将信号经过理想放大器后的功率谱与实际环境中发射装置输出信号的功率谱进行对比,结果如图2所示。

caa704dc0b7f6bdb9de73b5bc3853fda.png
图2 理想信号与有RFF的信号功率谱对比

图2中(a),(b),(c),(d)为OQPSK和HS滤波;OQPSK和RRC滤波;8PSK和RRC滤波;16QAM和HS滤波分别经过USRP设备的输出信号的功率谱(PSD)与经过理想功放后的功率谱对比图。图(e)为OQPSK和HS滤波经过Micaz发射器输出信号的功率谱与经过理想放大器后的功率谱。从图(a)和(b)中可以看出整形滤波器从HS变到RRC时,HS整形滤波器可以产生更多旁瓣和更大带宽的频谱,而RRC整形滤波器则严格限制带宽和消除旁瓣的泄漏和谐波。图(c)和图(d)比较了使用8PSK和16QAM调制方案的功率谱。随着调制阶数的增加,信号功率在主瓣中受到更多限制,并且RFF唯一性仅在主瓣的小带宽中可观察到。从图(a)和(e)中可以看出,相同调制方式下,不同发送设备的RFF具有独特性。最后,从图2中我们得出,具有RFF的功率谱与不具有RFF的功率谱显著不同。此外,不同设备有RFF标记的功率谱也显示出明显的独特性,这证实了所选RFF(至少在无线信道之前的发射端)的有效性。

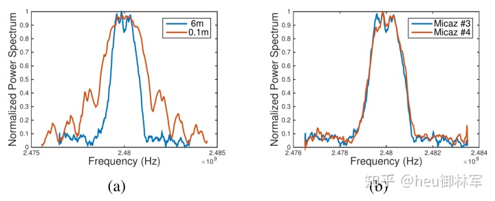
信道的影响:

本文利用通用信道模型函数建立统计多径信道模型(包括AWGN信道,瑞利信道,Rician信道和Nakagami信道)来分析信道影响。 Rayleigh模型经常用于模拟多路径衰落而没有直接的视线路径。当有一个强大的直接视线分量和许多随机较弱的分量时,通常会使用Rician模型。Nakagami-m模型最适合陆地移动和室内移动多径传播。随着参数m增加到无穷大,Nakagami-m信道收敛到AWGN信道。信道影响结果如图3所示。

028b38e9e085cd0a3a243b424c7baba9.png
图3 信道衰落对信号传输的影响

图3(a)显示了信号功率谱沿瑞利多径信道变化情况。红色曲线是距离发射器0.1米处的信号功率谱,而蓝色曲线是距发射器6米处的功率谱。由于无线信道效应可以观察到非常显着的失真。图3(b)显示了距离发射机6m处的两个MicaZ传感器的功率谱。当距离为0m时,与图2(e)中相同传感器的功率谱相比,我们发现功率谱的旁瓣信息主要受到频道效应的影响。这也是为什么大多数WPLI系统需要在用户移动或信道状况变化时更新指纹数据库的原因。

接收机采样率的影响:

文中研究了接收机采样率和FFT点数对信号的影响,结果如图4和图5所示。

495f628b234775d7bacd7872045cb025.png
图4 接收机采样率的影响

图4中显示不同采样率的影响,通过来自MicaZ传感器的两个不同的采样率,我们观察到,较高的采样率保持了信号功率谱的旁瓣中的更多的RFF识别信息。但是,还应该指出,高采样率也可能会增加噪音带。如果在长距离衰落信道中SNR变得非常低,那么高采样率可能不是一个有利的选择。

9582628a3bf2d0ec94ecd1b6512798c3.png
图5 FFT点数的影响

图5显示了不同FFT点的相同信号的功率谱。显然,较高的FFT点数增加了频域分辨率。但是,我们并没有发现高FFT分辨率与更好的识别性能之间的明确关系。部分原因是我们始终保持 FFT点数大于时域中采样信号的长度。

分类识别结果

本文利用LDA对信号功率谱特征进行降维后,得到不同情况下的特征距离评分,并对发射机进行分类和识别,不同信道下的分类错误率如图6和图7所示。

aa132160c8b81854b050556eaeb4b6fd.png
图6 更新数据库下的分类错误率

8efa20541eec3ff2cef2634531a61c0f.png
图7 不更新数据库下的分类错误率

图6和图7分别显示了在不同信道下,当手法装置距离变化时更新和不更新指纹数据库下的分类错误率。从图6我们观察到如果传输距离增加或涉及多径信道,误码率会显着增加。由于视线路径的不足,瑞利频道给出了较差的性能,而更友好的AWGN信道则表现出最佳性能。图7中固定了参考指纹(在非常近的距离0.1米处测得),在不同信道上的不同距离处绘制误差曲线。我们观察到非常差的分类性能,尤其在Rayleigh信道中3m以上的误码率接近50%。

接收机采样率对分类错误率的影响如图8所示。

726143cf9b0c10416b5c30d00ac1fafa.png
图8 接收机采样率对分类错误率的影响

图8中结果显示了由于不同采样率而产生的分类错误率。为了避免多路径效应,在AWGN信道下收发距离1m和6m处采集数据。在近距离处,信道的SNR水平较高(25dB),分类错误率随着采样率的增加而下降。这是因为频谱的旁瓣信息被指纹采样带宽覆盖。在6m距离处,较高采样率下的分类性能变差。这种现象的原因是,当信道SNR水平低(15dB)时,大部分旁瓣信息被噪声带增加所破坏。在某个采样率点上,涉及的信号信息多于噪声,而在其他点上涉及更多的噪声。因此,采样率应该根据不同应用场景折中选择。

分类结果:

37dd896ead978a51b3cc193b88ebc515.png
图9 分类结果(a)为手法装置相距0.1米固定数据库,(b)为6米固定数据库,(c)为在大尺度路径损耗下,(d)为6米处更新数据库情况

图9分类结果中,x轴是测试样本的数量。前1000个是来自节点1的样本,接下来的1000个来自节点2。 y轴是每个测试样本的最小特征距离。z轴是分类结果:如果蓝色圆圈出现在上层或红色圆圈出现在下层则存在分类错误。从图9(a)中可以看出,收发装置距离较近时分类效果最好,(b)中收发装置距离为6米时,或(c)有大尺度路径损耗时基本无法有效分类,而(d)与(b)相比,更新数据库能减少分类错误率,但是分类效果仍然要比近距离情况下的分类效果差很多。

识别结果:

图10与图9的识别条件是相同的,再次对上述影响因素进行了分析,但采用的是识别程序。传感器节点#5用作真实用户,而节点#1#4用作冒名顶替者。在图10(a)至图10(d)中,x轴是测试样品的索引。样本的前半部分(1000或2000)是来自真实用户5的样本。其余样本来自冒名顶替者。y轴是每个测试样本的特征距离得分,水平红线是判断阈值。低于阈值的样本被标识为真实用户,否则被标识为冒名顶替者。

a0c8469902f93b53607d1d95572e2092.png
图10 不同收发距离下的特征距离评分 (a)为手法装置相距0.1米固定数据库,(b)为6米固定数据库,(c)为在大尺度路径损耗下,(d)为6米处更新数据库情况

从图10可以看出,当收发装置距离增大时,测试样本特征评分都出现在阈值上方,已经失去识别效果,在大尺度路径损耗下效果同样较差,而当更新指纹数据库时,虽然特征评分分布在阈值两侧,但相对于近距离识别效果而言识别结果仍然较差。

最后,作者根据上述仿真条件,在实验室环境下进行了真实实验验证,按照瑞利信道条件设置设备间的相对位置和距离,如图11所示,最后实验得出的ROC曲线(图12)与仿真曲线中的瑞利信道结果最为相似,文章理论模型与实验验证结果具有一致性。

c28a0037934c26626b71d07886528029.png
图11 实验设置

fe73ba7ac267fb11cb9462f2649ec765.png
图12 实验和理论ROC曲线

结论

文章从理论推导和实验验证两个方面严格评估了无线物理层识别技术中每个步骤在真实环境下的影响,利用来自非线性RF前端的频域RFF,在不同的发射器,接收器和无线信道中进行实验,揭示了实际应用中影响RFF的几个关键因素,同时促使人们发现更可靠和可区分的射频指纹特征,实现无线设备在动态环境中的可靠识别。

文献:

[1] WANG W, SUN Z, PIAO S, et al. Wireless Physical-Layer Identification: Modeling and Validation[J]. IEEE Transactions on Information Forensics & Security, 2016, 11(9): 2091-2106.

最后

以上就是勤劳宝贝最近收集整理的关于android8.1时间设置物理层_无线物理层识别:建模与验证的全部内容,更多相关android8内容请搜索靠谱客的其他文章。

本图文内容来源于网友提供,作为学习参考使用,或来自网络收集整理,版权属于原作者所有。
点赞(188)

评论列表共有 0 条评论

立即
投稿
返回
顶部