提升树Boosting Tree算法实例详解_程大海的博客-CSDN博客
从提升树Boosting Tree过度到梯度提升Gradient Boosting_程大海的博客-CSDN博客
GBDT梯度提升之回归算法个人理解_程大海的博客-CSDN博客_梯度回归算法
GBDT梯度提升之二分类算法个人理解_程大海的博客-CSDN博客_gbdt二分类
GBDT梯度提升之多分类算法个人理解_程大海的博客-CSDN博客_gbdt可以多分类吗
XGBoost算法个人理解_程大海的博客-CSDN博客_xgboost 叶子节点权重
交叉熵损失与极大似然估计_程大海的博客-CSDN博客_极大似然估计和交叉熵
使用泰勒展开解释梯度下降方法参数更新过程_程大海的博客-CSDN博客
AdaBoost算法实例详解_程大海的博客-CSDN博客_adaboost算法实例
泰勒公式:

一阶泰勒展开:
![]()
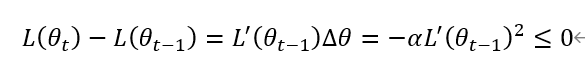
梯度下降是逐步迭代,损失函数逐步降低的过程:


为了满足上述不等式条件,取
,则上式变为:

因为
是步长,
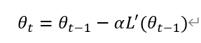
,所以上述不等式成立。 从而得出梯度下降的参数更新公式:

最后
以上就是激动寒风最近收集整理的关于使用泰勒展开解释梯度下降方法参数更新过程的全部内容,更多相关使用泰勒展开解释梯度下降方法参数更新过程内容请搜索靠谱客的其他文章。
本图文内容来源于网友提供,作为学习参考使用,或来自网络收集整理,版权属于原作者所有。
发表评论 取消回复