题目
A General Framework for Content-enhanced Network Representation Learning
题目分析(analysis):
1)结构+内容的Network Embedding;
2)Content-enhanced,应该注意内容如何enhance;
摘要
现有的网络嵌入方法大多只依赖于网络结构,而忽视了能够代表这个节点的丰富的相关文本信息。本文提出内容增强网络嵌入(CENE),来联合学习这两个部分的信息。该方法将内容信息作为一种特殊的节点来处理,将文本建模和结构建模集成在一个通用框架中。
简介
网络嵌入的经典算法有:Deepwalk(2014)、LINE(2015)、GraRep(2015)、node2vec(2016)等。
之前的这些大多数方法只利用来自网络结构的信息,而没有考虑使用文本信息,而文本信息对于节点的表示是有益的,并且也有利于下游任务的表示。
为了应对这个挑战,相应的算法也应运而生:
Text-associated DeepWalk (TADW)(2015):它通过矩阵分解将文本特性合并到网络嵌入中,但是这个方法通常存在计算成本高和无法扩展到大规模网络的问题。此外,TADW中的内容被简单地合并为无序的文本特性,而不是显式地建模。因此,不能很好地捕获内容中包含的更深的语义。
本文提出的方法:Content-Enhanced Network Embedding (CENE)
1)联合学习网络结构和文本内容;
2)每一条内容信息都整合成一个文档,并且创建一个特殊的节点用来将每个文档都整合到这个网络当中;
3)最终这个网络将有两种类型的链接:node-node、node-content;
4)通过对联合目标的优化,有效地将内容中包含的知识提取为节点嵌入;
相关工作
1. 文本嵌入(Text Embedding)
简单直观的方法就是平均在文本中每个单词的嵌入表示,如:
Composition in distributional models of semantics. 2010Linear compositional distributional semantics and structural kernels. 2013Deep unordered composition rivals syntactic methods for text classification. 2015
大多数复杂的模型就使用句子或者文档的内部结构去辅助这个嵌入,如:Recursive deep models for semantic compositionality over a sentiment treebank. 2013Grounded compositional semantics for finding and describing images with sentences. 2014
就使用RNN来解析得到的解析树,取获得句子的表示。为了缓解对语法解析的依赖,CNN就被使用:A convolutional neural network for modelling sentences. 2014Effective use of word order for text categorization with convolutional neural networks. 2015
就使用CNN,使用简单的自底向上层次结构进行组合。其他的一些缓解模型就有基于LSTM,如:Skip-thought vectors. 2015
使用长短期记忆单元来捕获长期的依赖。
2. 网络嵌入(Network Embedding)
Hoff等人在2002年Latent space approaches to social network analysis.一文中首次提出了学习网络中节点的潜在空间表示。早期的工作关注于特征向量(feature vectors & leading eigenvectors)的网络表示,如:
MDS:Modern multidimensional scaling: Theory and applications. 2005
IsoMap:A global geometric framework for nonlinear dimensionality reduction. 2000
LLE:Nonlinear dimensionality reduction by locally linear embedding. 2000
Laplacian Eigenmaps:Laplacian eigenmaps and spectral techniques for embedding and clustering. 2001
最近的一些发展就包括:
DeepWalk:Deepwalk: Online learning of social representations. 2014
受到DeepWalk和walklet:
Walklets: Multiscale graph embeddings for interpretable network classification. 2016 关注于多刻度表示学习
的启发,node2vec:
Node2vec: Scalable feature learning for networks. 2016
被提出,探寻了不同的随机游走策略。
LINE:Line: Large-scale information network embedding. 2015 提出了网络中一阶、二阶相似度的概念,
Cao等人,在Grarep: Learning graph representations with global structural information. 2015 扩展了这个相似性到K阶,并整合了网络全局结构信息到这个学习过程中。
Tang等人在2015年,在Pte: Predictive text embedding through large-scale heterogeneous text networks. 中将嵌入方法应用在了异构文本网络中;
Structural deep network embedding. 2016 采用了深度模型来捕获非线性网络结构;
Yang等人在2015年,在Network representation learning with rich text information.中首次组合了网络结构信息和文本信息来学习网络嵌入表示;他们表明,DeepWalk等价于矩阵分解(MF)和文本特征的顶点可以通过分解一个文本相关的矩阵合并。但该方法存在MF算法计算量大、难以扩展到大规模网络的问题。
在2016年,Pan等人,在Tri-party deep network representation.中组合了DeepWalk和Doc2Vec,用部分节点标签来组成一个半监督的模型。
Doc2Vec:Distributed representations of sentences and documents. 2014
然而,Doc2Vec远不能表达内容。此外,它也不能推广到图像等其他形式。
问题定义
有向图
G
=
(
V
,
E
,
C
)
G=(V,E,C)
G=(V,E,C),
C
=
{
(
v
,
d
o
c
)
∣
v
∈
V
;
d
o
c
=
{
S
i
}
}
C={ (v, doc)|v in V; doc = { S_i}}
C={(v,doc)∣v∈V;doc={Si}},
S
i
S_i
Si 是文档中第
i
i
i个句子,组成是单词序列,如
<
w
1
,
w
2
,
.
.
.
,
w
n
>
<w_1, w_2,..., wn>
<w1,w2,...,wn>。
网络嵌入的目标是:给定一个网络
G
G
G,取学习到图中的每个点的向量表示,即:
e
v
∈
R
d
,
d
<
<
∣
V
∣
e_v in mathbb{R}^d, d<<|V|
ev∈Rd,d<<∣V∣,其中
e
v
e_v
ev是节点
v
v
v的嵌入向量表示。
方法
网络结构信息,最小化目标函数:

S
P
SP
SP是积极顶点对,
S
N
SN
SN是消极顶点对。例如:
在基于随机游走的算法中,如:DeepWalk、walklet、node2vec,
S
P
SP
SP是随机行走生成的路径中相邻顶点对的集合,
S
N
SN
SN是所有负采样集的并集。
p
(
u
,
v
;
θ
)
p(u, v;theta)
p(u,v;θ)是顶点
u
u
u和顶点
v
v
v之间的联合概率,意味着在
S
P
SP
SP中
(
u
,
v
)
(u, v)
(u,v)对存在的概率;
相应的,
1
−
p
(
u
,
n
;
θ
)
1-p(u, n;theta)
1−p(u,n;θ)是在
S
P
SP
SP中
(
u
,
v
)
(u, v)
(u,v)对不存在的概率;
注:
由于在本文中,作者对于 e u e_u eu和 e v e_v ev等的解释没有详细的说明,这里就看作对整体nn和nc网络进行随机游走后所产生的游走序列,进而得到的一个嵌入向量表示。
因为,在该文中,作者在计算逻辑斯特概率的时候,直接表示为 e x p ( − e u ⋅ e v ) exp(-e_u cdot e_v) exp(−eu⋅ev),而又没有其余的解释。
为了利用内容信息,一个简单的方式就是联合内容嵌入和节点嵌入,然后各自独立训练。
形式化的定义:
e
u
=
e
u
⨁
f
e
(
C
u
)
e_u=e_u bigoplus f_e(C_u)
eu=eu⨁fe(Cu) 表示为节点
u
u
u的表示,
C
u
=
{
(
u
,
c
)
∣
(
u
,
c
)
∈
C
}
C_u={ (u, c) | (u, c) in C}
Cu={(u,c)∣(u,c)∈C} 表示为节点
u
u
u的所有的内容的集合,
在本文中,将文本作为一种特殊的节点考虑,那么扩展后的网络可以表示为:
G
a
u
g
=
(
V
n
,
V
c
,
E
n
n
,
E
n
c
)
G^{aug} = (V_n, V_c, E_{nn}, E_{nc})
Gaug=(Vn,Vc,Enn,Enc),
V
n
=
v
V_n = v
Vn=v,
V
c
=
{
c
∣
(
u
,
c
)
∈
C
,
u
∈
V
}
V_c = { c| (u, c) in C, u in V}
Vc={c∣(u,c)∈C,u∈V},
E
n
n
=
E
=
V
n
×
V
n
E_{nn} = E = V_n times V_n
Enn=E=Vn×Vn, 节点之间的边集合
E
n
c
=
V
n
×
V
c
E_{nc} = V_n times V_c
Enc=Vn×Vc, 节点和内容的链接集合
这种方式可以缓解原始图中边的稀疏性问题。
这个框架就可以表示为下图:

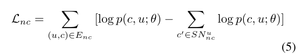
下面,就根据前面的公式1介绍node-node和node-content这两类连接各自的损失函数。
1. Node-Node Link
受到2013年Distributed representations of words and phrases and their compositionality.中负采样的启发,文中采样集合:
S
P
=
E
n
n
SP= E_{nn}
SP=Enn
S
N
n
n
u
=
{
v
′
=
(
u
,
v
′
)
∉
E
n
n
}
SN^u_{nn} = {v' = (u, v') notin E_{nn}}
SNnnu={v′=(u,v′)∈/Enn}
S
N
=
∪
u
∈
V
n
n
S
N
n
n
u
SN = underset{u in V_{nn}} cup SN^u_{nn}
SN=u∈Vnn∪SNnnu ,取并集
那么,节点-节点连接之间的损失函数可以描述为:

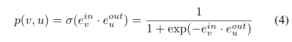
使用logistic函数来计算概率
p
(
u
,
v
;
θ
)
p(u, v; theta)
p(u,v;θ) , 简写为:
p
(
u
,
v
)
p(u, v)
p(u,v):
p
(
u
,
v
)
=
σ
(
e
u
⋅
e
v
)
=
1
1
+
e
x
p
(
−
e
u
⋅
e
v
)
p(u, v) = sigma (e_u cdot e_v) = frac{1}{1+ exp(-e_u cdot e_v)}
p(u,v)=σ(eu⋅ev)=1+exp(−eu⋅ev)1
注:
⋅
cdot
⋅是点乘。
但是,可以注意到上式是一个对称的操作,也即是
p
(
u
,
v
)
p(u, v)
p(u,v) =
p
(
v
,
u
)
p(v, u)
p(v,u),这显然是不合适的,因为前面也提到了是有向图,故而我们可以根据入度和出度来描述:

2. Node-Content Link
类似的,我们定义:
S
P
=
E
n
c
SP = E_{nc}
SP=Enc
S
N
n
c
u
=
{
c
′
∣
(
u
,
c
′
)
∉
E
n
c
}
SN^u_{nc} = { c' | (u, c') notin E_{nc} }
SNncu={c′∣(u,c′)∈/Enc} 表示负采样的边
(
u
,
c
)
(u, c)
(u,c)集合,损失函数如下:

类似的,使用logistic函数来计算概率
p
(
c
,
u
;
θ
)
p(c, u; theta)
p(c,u;θ) , 简写为:
p
(
c
,
u
)
p(c, u)
p(c,u):
p
(
c
,
u
)
=
σ
(
e
u
⋅
f
e
(
c
)
)
=
1
1
+
e
x
p
(
−
(
e
u
o
u
t
⨁
e
u
i
n
)
⋅
f
e
(
c
)
)
p(c, u) = sigma (e_u cdot f_e(c)) = frac{1}{1+ exp(-(e^{out}_u bigoplus e^{in}_u) cdot f_e(c))}
p(c,u)=σ(eu⋅fe(c))=1+exp(−(euout⨁euin)⋅fe(c))1
⨁
bigoplus
⨁运算符,表示连接。
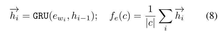
f
e
(
c
)
f_e(c)
fe(c)是一个复合函数,用于计算文档c的一个嵌入表示,将在下面介绍。
对于学习句子的表示在文中给出了三种典型的模型,分别是,如下图:

1. Word Embedding Average (WAvg)
该方法简单地将单词向量的平均值作为句子嵌入,而忽略了语序:

提出:Bag of tricks for efficient text classification. 2016
2. Recurrent Neural Network (RNN)
这里使用gated recurrent unit(GRU, 2014, Learning phrase representations using rnn encoder-decoder for statistical machine translation.),不是简单地使用最终状态的隐藏表示作为句子表示,我们对所有历史隐藏状态应用平均pooling:

3. Bidirectional Recurrent Neural Network(BiRNN)
在实践中,甚至GRU、RNN仍然不能很好的捕获特有的长短期依赖。因此,我们进一步采用了双向变体(Schuster和Paliwal 1997),该变体使用两个独立的隐藏层在两个方向上处理句子。然后将两个方向的GRU单元在每个位置的隐藏状态向量连接起来,最后通过平均池化层。

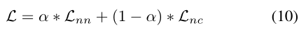
联合学习
文中作者根据node-node和node-content两个部分定义了联合优化的目标函数:

α
alpha
α是平衡参数。
采用带学习率衰减的随机梯度下降算法进行优化。梯度用反向传播计算。对应的算法如下:

最后
以上就是开放火最近收集整理的关于内容增强网络表示学习的一般框架(A General Framework for Content-enhanced Network Representation Learning)(1)的全部内容,更多相关内容增强网络表示学习的一般框架(A内容请搜索靠谱客的其他文章。
发表评论 取消回复