创建水箱强化学习模型
- 问题描述
- 行动与观测
- 奖励信号
- 终止信号
- 创建环境对象
- 重置函数
本示例说明如何创建一个水箱强化学习Simulink®环境,该环境包含一个RL Agent块来代替用于水箱中水位的控制器。要模拟此环境,必须创建一个智能体并在RL智能体块中指定该智能体。
问题描述
如果直接在matlab使用
open_system('rlwatertank')
则会报错
No system or file called ‘rlwatertank’ found. ‘rlwatertank’ 用于
Create Simulink Environment and Train Agent
Validate Simulink Environment
Water Tank Reinforcement Learning Environment Model。
或者

需要先对智能体进行创建。
mdl = 'rlwatertank';
open_system(mdl)

该模型已经包含一个RL Agent块,该块连接到以下信号:
-
标量动作输出信号
-
观测输入信号的向量
-
标量奖励输入信号
-
逻辑输入信号,用于停止仿真
行动与观测
强化学习环境从智能体接收动作信号,并响应于这些动作生成观察信号。要创建和训练智能体,必须创建操作和观察规范对象。
在这种环境下的作用信号是发送到工厂的流量控制信号。要为此连续动作信号创建规格对象,请使用rlNumericSpec功能。
actionInfo = rlNumericSpec([1 1]);
actionInfo.Name = 'flow';
如果动作信号采用一组离散的可能值之一,则使用该rlFiniteSetSpec函数创建规格。
对于此环境,有三个发送到代理的观察信号,指定为矢量信号。观察向量是
[
∫
e
d
t
e
h
]
T
[int e , dt , e , h]^T
[∫edteh]T
其中:
- h h h是水箱中水的高度。
2. e = r − h e = r − h e=r−h, r r r 是水高的参考值。
在生成观测子系统中计算观测信号。
open_system([mdl '/generate observations'])

创建观察规范的三元素向量。将水高度的下限指定为0,使其他观察信号不受限制。
observationInfo = rlNumericSpec([3 1],...
'LowerLimit',[-inf -inf 0 ]',...
'UpperLimit',[ inf inf inf]');
observationInfo.Name = 'observations';
observationInfo.Description = 'integrated error, error, and measured height';
如果动作或观察结果由总线信号表示,则使用该bus2RLSpec功能创建规格。
奖励信号
构造一个标量奖励信号。对于此示例,请指定以下奖励。
奖励= 10 ( ∣ e ∣ < 0.1 ) − 1 ( ∣ e ∣ ≥ 0.1 ) − 100 ( h ≤ 0 ∣ ∣ h ≥ 20 ) 10(|e|<0.1)-1(|e|geq0.1)-100(hleq0||hgeq20) 10(∣e∣<0.1)−1(∣e∣≥0.1)−100(h≤0∣∣h≥20)
当误差低于误差时,奖励为正,0.1否则为负。此外,有一个大的奖励惩罚当水高度为外0给20范围。
在计算奖励子系统中构造此奖励。
open_system([mdl '/calculate reward'])

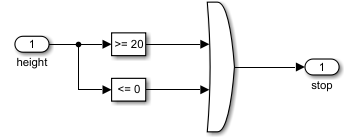
终止信号
要终止训练情节和模拟,请向模块的isdone输入端口指定逻辑信号。对于此示例,如果 h ≤ 0 h≤0 h≤0 要么 h ≥ 20 h≥20 h≥20.
在停止模拟子系统中计算该信号。
open_system([mdl '/stop simulation'])

创建环境对象
为Simulink创建一个环境对象
env = rlSimulinkEnv(mdl,[mdl '/RL Agent'],observationInfo,actionInfo);
重置函数
您还可以创建一个自定义重置功能,以随机化模型的参数,变量或状态。在此示例中,重置功能将参考信号和初始水位随机化,并设置相应的块参数。
env.ResetFcn = @(in)localResetFcn(in);
在本地创建函数 localResetFcn.m ,在文件中添加
function in = localResetFcn(in)
% Randomize reference signal
blk = sprintf('rlwatertank/Desired nWater Level');
h = 3*randn + 10;
while h <= 0 || h >= 20
h = 3*randn + 10;
end
in = setBlockParameter(in,blk,'Value',num2str(h));
% Randomize initial height
h = 3*randn + 10;
while h <= 0 || h >= 20
h = 3*randn + 10;
end
blk = 'rlwatertank/Water-Tank System/H';
in = setBlockParameter(in,blk,'InitialCondition',num2str(h));
end
此时 rlwatertank 环境创建完毕
重新执行
open_system('rlwatertank')
就可以开始水箱模型的强化学习训练啦
训练水箱模型
最后
以上就是高兴小兔子最近收集整理的关于MATLAB强化学习工具箱(四)创建水箱强化学习模型问题描述行动与观测奖励信号终止信号创建环境对象重置函数的全部内容,更多相关MATLAB强化学习工具箱(四)创建水箱强化学习模型问题描述行动与观测奖励信号终止信号创建环境对象重置函数内容请搜索靠谱客的其他文章。
发表评论 取消回复