学个Antenna是以天线仿真和调试为主,理论原理为辅的干货天线技术专栏,包括天线入门知识以及各类天线的原理简介、仿真软件建模、设计、调试过程及思路。如有想看到的内容或技术问题,可以在文尾写下留言。

摘要:
在实际生活中,大家所用的终端一般搭载单天线或者MIMO天线,其增益不高且单天线辐射方向图的3dB波束宽度都比较宽。在很多长距离通信的需求中,需要有强定向性天线(比如基站天线等)来弥补空间衰减。
本文使用的软件为CST2018和AnsysEM 18.2
定向天线
在学个Antenna专栏里,一开始介绍的就是全向性的振子天线(从电磁波产生到对称振子天线)。这种天线的好处就是能实现水平方向全覆盖,但由于其增益不高,通信范围就很局限;而且实际使用的时候,全向天线需要更大的净空区域。
·假设黑暗不可视环境下,一个手电筒的功率是3W,亮域很小,但很亮,黑暗中的一束光;一个常见灯泡的功率选取一个60W,360°亮域很广,但相对而言,亮度较弱。灯泡功率是手电筒的20倍,但照亮视线内的某个不定项,手电筒项下虽然看不见光域外,但势必比灯泡适用。二者有失有得,手电筒类比定向天线,灯泡类比全向天线。
相较而言,定向天线的辐射能量更集中,增益相对全向天线要高,更适合于远距离的点对点通信。给偶极振子增加一个无源反射器和若干个无源引向器平行排列,其就构成了方向图具有定向性的端射式天线——八木天线,在HF、VHF以及UHF波段应用广泛。

如下图所示,激励半波振子,其H面方向图为一个圆,说明其辐射能量在水平面可实现360°覆盖,无方向性。但加上一根或几根无源振子并排放置后,其H面内的方向图将变得有方向性。

一般而言,引向器数目愈多,引向能力愈强,但其并非线性关系,因为边缘各引向器上的感应电流会逐渐减弱。
除了八木天线外,常规的定向天线还有抛物面天线,Vivaldi 天线,带有地板的微带贴片天线(贴片天线的HFSS和CST仿真对比,贴片天线的特征模分析及其应用)等。 为什么要用阵列天线
·由许多相同的单个天线(如对称天线)按一定规律排列组成的天线系统,也称天线阵。俗称天线阵的独立单元称为阵元或天线单元。如果阵元排列在一直线或一平面上,则成为直线阵列或平面阵
在平面口径天线简谈一文中,我们提到了定向性和口径效率。为了满足通讯、雷达、导航、微波着陆、干扰和抗干扰等系统日渐严苛的需求,有必要将天线单元组阵来提高天线的增益,毕竟“众人拾柴火焰高”。
接下来从理论出发理解下天线组阵后为什么能提高增益(以均匀直线阵为例):

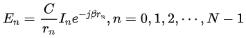
如上图所示,忽略天线的尺寸形状和单元之间的耦合因素,将每个天线单元视为一个点源。考虑到远区可近似认为各天线单元到指定点的射线是平行的,第个单元相对于第一个单元的波程差为:

图中

为第一个天线单元的激励电流,为相邻两单元的激励相位差,第N个单元(任意形式)天线的远区辐射场可写作:

总场可记为:

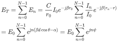
这里令阵因子为:

化简可得:

将

的公因子提出并归一化,可得归一化阵因子:

在总辐射功率相同的情况下,主瓣最大方向上的功率密度与全空间的平均功率密度之比定义为方向性系数。忽略天线损耗,方向性系数就可视为天线的实际增益。 同样,若仅考虑均匀直线阵,此时

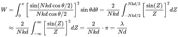
对于侧射阵而言,

当单元数N较大时,有下面等式成立:

| %matlab code |

带入积分运算,考虑到

,可以替换积分上下限进行进一步运算。

因此等幅同相激励的均匀直线阵,其最大增益可表示为:

这里为L=Nd布阵长度,可以看出单元间距固定的情况下,单元数量与增益理论上呈现线性关系。这个公式同时也可以说明,当布阵尺寸固定的情况下,盲目增加天线单元对提升阵列的增益是不一定有用的。这里又衍生出了稀布阵的概念,稀布阵在一定程度上可以减少天线单元以降低工程成本,而且在布置阵元上具有更大的自由度,从而获取更加优越的天线性能。
固定布阵长度的线阵
如下图所示是一个贴片天线线阵,现在固定总布阵长度为:单元数量*单元间距=100mm。由于CST建模里的Translate操作支持全变量建模,因此可以固定天线单元y轴方向的尺寸为12.5mm,x轴方向的尺寸设置为100mm/单元数量,将单元数量设置为变量进行扫参,这样就可以仿真固定总布阵长度下均匀布阵时,不同单元数量对应的实际增益变化。

下图是不同单元数量的情况下,1单元的端口反射系数。17GHz的S11基本在-15dB左右,端口匹配良好。

在12.5mm×100mm尺寸下,口径效率达到100%时,17GHz对应的最大增益为:

下面对比不同单元数量时,所有单元等幅同相激励下,17GHz的定向性。

从上述结果可以看出,单元数量过于稀疏,定向性会下降,而且第一副瓣会较高。单元数为8和10的定向性基本一致,前者单元间距更大,单元之间的隔离度更具优势。
总的来说,布阵尺寸确定的情况下,盲目增加天线单元不一定能提升天线增益,反而还可能导致天线单元之间的隔离度恶化,进一步降低天线增益等。单元间距和单元数量需要视阵列的波束扫描角范围和单元隔离度,以及实际成本预算等具体要求而定。
END
作者:微波天线工程师
来源:浅谈阵列天线及布阵 - RFASK射频问问
射频问问 - 原创射频技术问答学习平台www.rfask.net
应读者朋友们对这个系列文章的喜爱,也为了能够让老师更系统更全面地介绍MATLAB-HFSS-API相关知识,现推出该系列课程,共25课时,欢迎大家加入课程学习!https://www.rfask.net/kc/v/41.html
关于RFASK射频问问
射频问问 (http://RFASK.NET) 是在"微波射频网 (http://MWRF.NET)”系列原创技术专栏基础上升级打造的技术问答学习平台,主要围绕射频芯片、微波电路、天线、雷达、卫星等相关技术领域,致力于为无线通信、微波射频、天线、雷达等行业的工程师,提供优质、原创的技术问答、专栏文章、射频课程等学习内容。更多请访问:http://www.rfask.net
最后
以上就是虚心小馒头最近收集整理的关于浅谈阵列天线及布阵的全部内容,更多相关浅谈阵列天线及布阵内容请搜索靠谱客的其他文章。
发表评论 取消回复