选择结构
C语言有两种选择语句:(1)if语句:用来实现两个分支的选择结构
(2)switch语句:用来实现多分支条件的选择结构
例子:计算ax^2 + bx + c = 0的方程的根。
流程图:

代码:
#include<stdio.h>
#include<math.h>
//计算ax^2 + bx + c = 0的方程的根。
int main(){
double a,b,c,disc,x1,x2,p,q;//disc是 sqrt(b*b-4ac)
printf("输出参数:n");
scanf("%lf%lf%lf",&a,&b,&c);
disc=b*b-4*a*c;
if(disc < 0){ //b^2 - 4ac<0无实根
printf("方程无实根n");
}
else{
p=-b/(2.0*a);
q=sqrt(disc)/(2.0*a);
x1=p+q;
x2=p-q;
printf("方程的两个根为: x1:%7.2f t x2:%7.2f n",x1,x2);
}
return 0;
}


If语句:
If语句的形式:
If(表达式) 语句1
[else 语句2]
扩展

关系运算符

关系表达式:用关系运算符将两个数值或数值表达式连接起来的式子
逻辑运算符(&& 、|| 、!):

条件运算符(?):由(? 和:) 组成,必须一起使用
条件表达式: 表达式1 ? 表达式2 : 表达式3

选择结构的嵌套
If语句的嵌套:if语句包含一个或多个if语句
形式:

注意if与else的配对关系:else总是与它上面的最近的未配对的if配对
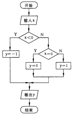
例:
-1 (x<0)
Y={ 0 (x=0)
1 (x>0)
流程图: 代码:

Switch多分支选择结构
形式:


例题:百分制成绩,要求输出成绩的等级ABCDE。
#include<stdio.h>
/*
百分制成绩,要求输出成绩的等级ABCDE。
由于case里面 只能是常量
switch里面放置表达式是得到分数的十位数字。
*/
int main()
{
int score,i=3;
while(i--){
scanf("%d",&score);
if(score>100||score<0)
{
printf("输入错误!重新输入!n");
scanf("%d",&score);
}
switch(score /10){
case(9):printf("An");break;
case(8):printf("Bn");break;
case(7):printf("Cn");break;
case(6):printf("Dn");break;
default: printf("En");break;
}
}
return 0;
}

最后
以上就是俊逸香烟最近收集整理的关于C语言的选择结构的全部内容,更多相关C语言内容请搜索靠谱客的其他文章。
本图文内容来源于网友提供,作为学习参考使用,或来自网络收集整理,版权属于原作者所有。
发表评论 取消回复