目录
Linux内核提供的哈希hlist
各种操作宏
内核中使用实例
先定义需要的结构
辅助函数
初始化表头
增加节点(支持增加多个)
查找单个节点
删除节点(多个节点)
销毁表
在neifilter中需要根据用户态发送的IPv4来进行匹配经过hook点的包,并做阻断,所以需要存储一系列ip,增删查操作。内核已有hash表数据结构定义和操作。
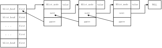
Linux内核提供的哈希hlist
struct hlist_head {
struct hlist_node *first;
};
struct hlist_node {
struct hlist_node *next, **pprev;
};
各种操作宏
#define HLIST_HEAD_INIT { .first = NULL }
#define HLIST_HEAD(name) struct hlist_head name = { .first = NULL }
#define INIT_HLIST_HEAD(ptr) ((ptr)->first = NULL)
static inline void INIT_HLIST_NODE(struct hlist_node *h)
static inline int hlist_unhashed(const struct hlist_node *h)
static inline int hlist_empty(const struct hlist_head *h)
static inline void __hlist_del(struct hlist_node *n)
static inline void hlist_del(struct hlist_node *n)
static inline void hlist_del_init(struct hlist_node *n)
static inline void hlist_add_head(struct hlist_node *n, struct hlist_head *h)
static inline void hlist_add_before(struct hlist_node *n,struct hlist_node *next)
static inline void hlist_add_behind(struct hlist_node *n,struct hlist_node *prev)
static inline void hlist_add_fake(struct hlist_node *n)
static inline void hlist_move_list(struct hlist_head *old,struct hlist_head *new)
#define hlist_entry(ptr, type, member) container_of(ptr,type,member)
#define hlist_for_each(pos, head)
for (pos = (head)->first; pos ; pos = pos->next)
#define hlist_for_each_safe(pos, n, head)
for (pos = (head)->first; pos && ({ n = pos->next; 1; });
pos = n)
#define hlist_entry_safe(ptr, type, member)
({ typeof(ptr) ____ptr = (ptr);
____ptr ? hlist_entry(____ptr, type, member) : NULL;
})
#define hlist_for_each_entry(pos, head, member)
for (pos = hlist_entry_safe((head)->first, typeof(*(pos)), member);
pos;
pos = hlist_entry_safe((pos)->member.next, typeof(*(pos)), member))
#define hlist_for_each_entry_continue(pos, member)
for (pos = hlist_entry_safe((pos)->member.next, typeof(*(pos)), member);
pos;
pos = hlist_entry_safe((pos)->member.next, typeof(*(pos)), member))
#define hlist_for_each_entry_from(pos, member)
for (; pos;
pos = hlist_entry_safe((pos)->member.next, typeof(*(pos)), member))
#define hlist_for_each_entry_safe(pos, n, head, member)
for (pos = hlist_entry_safe((head)->first, typeof(*pos), member);
pos && ({ n = pos->member.next; 1; });
pos = hlist_entry_safe(n, typeof(*pos), member))

内核中使用实例
内核中分配内存和释放内存用到的接口为kmalloc/kfree, 需要分配bucket数组和每个节点。
先定义需要的结构
这里是需要存储ipv4, 即一个uint32_t 的数字
//比如需要存储Ipv4
//定义一个存储Ipv4 的节点结构体
struct SNodeIpv4
{
struct hlist_node hnode;
uint32_t ipv4;
};
#define HASH_COUNT 9973 //指定hash bucket的数量
static struct hlist_head *ipv4_hash = NULL; //head
辅助函数
自定义结构计算hash值的函数和相等判断函数,这里的自定义结构是一个Ipv4数字
//计算hash值
struct hlist_head *call_hash_ipv4(const uint32_t *ipv4)
{
uint32_t val = 0;
if (NULL == ipv4_hash || NULL == ipv4)
{
return NULL;
}
val = *ipv4 % HASH_COUNT;
return &ipv4_hash[val];
}
//相等判断
int eq_ipv4(const uint32_t *_left, const uint32_t *_right)
{
if (NULL == _left || NULL == _right)
{
return 0;
}
if (*_left ^ *_right)
{
return 0;
}
return 1;
}
初始化表头
int InitHashIpv4(void)
{
int i = 0;
int retCode = 0;
do
{
ipv4_hash = (struct hlist_head *)kmalloc(sizeof(struct hlist_head) * HASH_COUNT, GFP_ATOMIC);
if (NULL == ipv4_hash)
{
printk(KERN_ERR "%s:%i ipv4_hash alloc errorn", __FILE__, __LINE__);
retCode = -1;
break;
}
//初始化hash表头
for (i = 0; i < HASH_COUNT; i++)
{
INIT_HLIST_HEAD(&ipv4_hash[i]);
}
printk(KERN_DEBUG "%s:%i InitHashIpv4 succ.n", __FILE__, __LINE__);
}while(false);
return retCode;
}
增加节点(支持增加多个)
int AddIpv4(const uint32_t *_ipv4, uint32_t count)
{
int i = 0;
const uint32_t *node_ipv4 = _ipv4;
struct hlist_head *hash_bucket = NULL;
struct SNodeIpv4 *pNode = NULL;
struct hlist_node *next = NULL;
int retCode = 0;
if (NULL == node_ipv4 || count < 1)
{
return -1;
}
for(i = 0; i < count; ++i)
{
//找到bucket
node_ipv4 = _ipv4 + i;
hash_bucket = call_hash_ipv4(node_ipv4);
if (NULL == hash_bucket)
{
retCode = -1;
break;
}
hlist_for_each_entry_safe(pNode, next, hash_bucket, hnode)
{
if (eq_ipv4(&pNode->ipv4, node_ipv4))
{
//已经存在
continue;
}
}
//分配一个node
pNode = (struct SNodeIpv4 *)kmalloc(sizeof(struct SNodeIpv4), GFP_ATOMIC);
if (pNode == NULL)
{
printk(KERN_ERR "%s:%i SNodeIpv4 alloc errorn", __FILE__, __LINE__);
retCode = -1;
break;
}
memset(pNode, 0, sizeof(struct SNodeIpv4));
INIT_HLIST_NODE(&pNode->hnode);
memcpy(&pNode->ipv4, node_ipv4, sizeof(pNode->ipv4));
hlist_add_head(&pNode->hnode, hash_bucket);
printk(KERN_DEBUG "%s:%i AddIpv4 [%u]n", __FILE__, __LINE__, *node_ipv4);
}
return retCode;
}
查找单个节点
int FindIpv4(const uint32_t *_ipv4)
{
struct hlist_head *hash_bucket = NULL;
struct SNodeIpv4 *pNode = NULL;
struct hlist_node *next = NULL;
int retCode = -1;
if (NULL == _ipv4)
{
return -1;
}
do
{
hash_bucket = call_hash_ipv4(_ipv4);
if (NULL == hash_bucket)
{
retCode = -1;
break;
}
hlist_for_each_entry_safe(pNode, next, hash_bucket, hnode)
{
if (eq_ipv4(&pNode->ipv4, _ipv4))
{
retCode = 0;
break;
}
}
}while(false);
return retCode;
}
删除节点(多个节点)
int DelIpv4(const uint32_t *_ipv4, uint32_t count)
{
int i = 0;
const uint32_t *node_ipv4 = _ipv4;
struct hlist_head *hash_bucket = NULL;
struct SNodeIpv4 *pNode = NULL;
struct hlist_node *next = NULL;
int retCode = 0;
if (NULL == _ipv4 || count < 1)
{
return -1;
}
for(i = 0; i < count; ++i)
{
node_ipv4 = _ipv4 + i;
hash_bucket = call_hash_ipv4(node_ipv4);
if (NULL == hash_bucket)
{
retCode = -1;
break;
}
hlist_for_each_entry_safe(pNode, next, hash_bucket, hnode)
{
if (eq_ipv4(&pNode->ipv4, node_ipv4))
{
hlist_del(&pNode->hnode);
kfree(pNode);
}
}
}
return retCode;
}
销毁表
int DestoryHashIpv4(void)
{
struct SNodeIpv4 *pNode = NULL;
struct hlist_node *next = NULL;
int i = 0;
int retCode = 0;
do
{
if (NULL == ipv4_hash)
{
printk(KERN_ERR "%s:%i ipv4_hash is NULLn", __FILE__, __LINE__);
retCode = -1;
break;
}
for (i = 0; i < HASH_COUNT; i++)
{
hlist_for_each_entry_safe(pNode, next, &ipv4_hash[i], hnode)
{
hlist_del(&pNode->hnode);
kfree(pNode);
}
}
kfree(ipv4_hash);
ipv4_hash = NULL;
} while (false);
return retCode;
}
凡是过往,即为序章
最后
以上就是舒适蜡烛最近收集整理的关于linux 内核中 hash 的使用Linux内核提供的哈希hlist各种操作宏内核中使用实例的全部内容,更多相关linux内容请搜索靠谱客的其他文章。
本图文内容来源于网友提供,作为学习参考使用,或来自网络收集整理,版权属于原作者所有。
发表评论 取消回复