目录
小区搜索过程
主同步信号搜索
检测辅同步信号
检测物理广播信道
下行同步信道及信号
同步广播块集合
同步广播块
主同步信号
辅同步信号
物理广播信道
其他系统信息传输
SIB1的PDCCH时、频域资源分配
SIB1的PDSCH时、频域资源分配
关键点:
- 小区搜索过程
- 小区搜索相关的信道/信号
涉及同步广播块集合(SSB burst set)、同步广播块(SSB)、主同步信号(PSS)、辅同步信号(SSS)、物理广播信道(PBCH)、系统消息传输、随机接入过程及随机接入信道(PRACH)相关的设计
小区搜索过程
小区搜索主要基于对下行同步信道及信号的检测来完成。终端通过小区搜索过程获得小区ID、频率同步(载波频率)、下行时间同步(包括无线帧定时、半帧定时、时隙定时及符号定时)
整个小区搜索过程又包括主同步信号搜索、辅同步信号检测及物理广播信道检测三部分。
主同步信号搜索
终端先搜索主同步信号,完成OFDM符号边界同步,粗频率同步及并获得小区标识2
终端在检测主同步信号的时候,通常没有任何通信系统的先验信息,因此主同步信号的搜索是下行同步过程中复杂度最高的操作。终端要在同步信号频率上个的各个频点上检测主同步信号。在每个频点上,终端要盲检测(0,1,2),搜索主同步信号的OFDM符号边界并进行初始频偏校正
- NR系统支持6种同步信号周期(或称为同步广播块集合),即5ms,10ms,20ms,40ms,80ms,160ms。在小区搜索过程中,终端假定同步信号的周期为20ms。
- LTE系统同步信号周期为5ms
好处:当小区内用户数比较少时,基站可以处于深度睡眠状态,达到降低基站功耗和节能的效果。另一方面,较长的同步信号周期可能会增加终端开机后的搜索复杂度及搜索时间。不过同步信号周期的增加并不一定会影响用户的体验。
- 目前智能手机开关机的频率大大降低,开机搜索时间的适当增加并不会严重影响用户的体验,却可以有效地降低基站的功耗,在5G超密集网络中可以取得客观的节能效果
- NR系统使用了比LTE更稀疏的同步信号频率栅格,在一定程度上抵消了由于更长的同步信号周期所导致的搜索复杂度的增加
NR系统中,主同步信号的搜索栅格与频带有关,终端根据当前搜索的频带确定使用的搜索栅格。
比如,在频率范围0-3000MHz,同步栅格为1200kHz
检测辅同步信号
在搜索到主同步信号之后,终端进一步检测辅同步信号,获得小区标识1,即(0,1...335)并基于标识1和标识2计算得到物理小区标识,即
辅同步信号除了携带小区标识1以外,还可以作为PBCH的解调参考信号,提高物理广播信道的解调性能。此外,由于NR系统不支持LTE系统的公共参考信号(CRS),因此,NR系统的辅信号的另外一个重要作用是用于无线资源管理相关测量及无线链路相关测量。
检测物理广播信道
在成功检测主同步及辅同步信号之后,终端开始接收物理广播信道。
物理广播信道承载主系统消息(MIB),共56比特。通过接收MIB消息中的同步广播块索引(SSB index)以及当前频带所使用的同步广播块集合的图样确定当前同步信号所在的时隙及符号,从而完成隙定时。
成功接收PBCH之后,终端即完成小区搜索及下行同步过程。紧接着终端需要解调系统消息,获得随机接入信道的配置参数。

下行同步信道及信号
NR的下行同步信道及信号由多种同步广播块集合组成。同步广播块集合里又包含一个或多个同步广播块,每个同步广播块内包含PSS、SSS、PBCH的发送。
同步广播块集合
NR系统的设计目标:支持0-100GHz的载波频率
当系统工作在毫米波频段的时候,往往需要波束赋形技术提高小区覆盖。由于受到硬件的限制,基站往往不能同时发送多个覆盖整个小区的波束,因此NR系统引入波束扫描技术来解决小区覆盖的问题。
波束扫描:指基站在某个时刻只发送一个或几个波束方向,通过多个时刻发送不同波束覆盖整个小区所需要的所有方向。同步广播块集合就是针对波束扫描而设计的。 用于在各个波束方向上发送终端搜索小区所需要的主同步信号、辅同步信号以及物理广播信道(构成同步广播块)。
SSB是周期发送的,周期可配置为{5, 10, 20, 40, 80, 160}ms,默认周期是20ms[5]。一个或多个SSB组成一个SSB burst,一个或多个SSB burst组成SSB set,SSB set的传输周期即为基站发送SSB的周期,SSB set限制在传输周期的前5ms窗口内。
基站以一定间隔发送多个SSB,每个SSB都是通过特定方向上的特定波束传输的,每个SSB可以通过SSB索引编号来标识。多个UE位于基站周围的各个位置,UE测量在一定时间段(一个SSB set的周期)中检测到的每个SSB的信号强度。根据测量结果,UE可以识别信号强度最强的SSB索引,具有最强信号强度的波束携带的SSB会被UE用来进行波束管理和移动性管理。
要发送多少个不同的波束由一个SSB set内的SSB数量决定。定义SSB set内SSB的最大数量为。当载波频率低于6 GHz时,为4或8,当载波频率高于6 GHz时,为64。
SSB在时域和频域上的位置是不固定的。时域上,SSB发送的位置和数量都可能变化,这是因为NR系统支持小至5MHz,大至400MHz的单载波工作带宽。
同步广播块集合(ss burst set):一定时间周期内的多个同步广播块的集合,同一周期内的每个同步信号块对应一个波束方向,且一个同步广播块集合内的各个同步广播块的波束方向覆盖了整个小区。(注意!!!:NR系统工作在低频,不需要使用波束扫描的技术时,使用同步广播块集合仍然对提高小区覆盖有好处,这是因为终端在接收同步广播块集合内的多个时分复用的同步广播块时,可以积累更多的能量)
NR系统中,一个同步广播块集合被限制在某一个5ms的半帧内,且从这个半帧的第一个时隙开始
- 同步广播块集合图样1(适用于15KHz子载波间隔的同步信号)

| 载波小于3GHz | 一个同步广播块集合包含4个SSB,占用一个半帧的前两个时隙,每个时隙包含两个SSB |
| 载波大于3GHz且小于6GHz | 一个同步广播块集合包含8个SSB,占用一个半帧的前四个时隙 |
同步广播块集合使用了非连续映射的方式(即同步广播块在时间上并不是连续映射到各个OFDM符号上)。一个时隙内的前2个OFDM符号(0,1)用于传输下行控制信道,后两个符号(12,13)用于传输上行控制信道(包括上下行信号的保护时间)。
符号6,7不映射同步广播块的原因:
- 6对应两个30kHz子载波的OFDM符号可以用于上行控制信道(包括上下行信号的保护时间)
- 7对应两个30kHz子载波的OFDM符号可以用于传输下行控制信道。
由于NR系统设计允许同步广播块和数据与控制信道采用不同的子载波间隔,这种设计可以保证,无论数据及相应的控制信道使用的是15kHz子载波还是30kHz子载波,都可以最大程度降低同步广播块的传输对数据传输的影响。
- 同步广播块集合图样2(适用于30KHz子载波间隔的同步信号)

奇偶时隙内同步广播块的映射是有区别的(半帧内首个时隙编号是0,是偶数时隙)
| 载波小于3GHz | 一个同步广播块集合包含4个SSB,占用一个半帧的前两个时隙,每个时隙包含两个SSB |
| 载波大于3GHz且小于6GHz | 一个同步广播块集合包含8个SSB,占用一个半帧的前四个时隙 |
- 同步广播块集合图样3(适用于30KHz子载波间隔的同步信号)

| 载波小于3GHz | 一个同步广播块集合包含4个SSB,占用一个半帧的前两个时隙,每个时隙包含两个SSB |
| 载波大于3GHz且小于6GHz | 一个同步广播块集合包含8个SSB,占用一个半帧的前四个时隙 |
- 同步广播块集合图样4(适用于120KHz子载波间隔的同步信号,载频大于6GHz)
| 载波大于6GHz | 一个同步广播块集合包含64个SSB,占用16个时隙对(一个时隙对包含两个时隙,一个时隙包含14个OFDM符号) |
每个时隙对包含4个SSB,4个时隙对为一组,每组之间2个时隙,这样4组同步信号对就可以均匀得分布在一个5ms得半帧内。
- 同步广播块集合图样5(适用于240KHz子载波间隔的同步信号,载频大于6GHz)

一个同步广播块集合包含64个同步信号块,共占8个时隙对(一个时隙对包含2个时隙,一个时隙包含14个OFDM符号)每个时隙对包含8个同步广播块。4个时隙对为1组,每组之间同样间隔两个时隙。一个时隙对内,奇偶时隙内得同步广播块所映射得OFDM符号是有区别的。
(上述同步广播块集合中定义的同步广播块数量是系统可以使用的最大值,基站可以根据覆盖一个小区所需要的波束数量确定实际使用的同步广播块的数量,一个波束对应一个同步广播块,并且可以通过系统消息SIBI或UE专用的RRC信令指示哪些同步广播块被使用了)
同步广播块


一个同步广播块在时域上占4个OFDM符号,频域上占20个RB(即240个RE)。
同步广播块内的各个物理信号及物理信道使用相同的子载波间隔
一个SSB包含主同步信号(PSS)、辅同步信号(SSS)、物理广播信道(PBCH)及其解调参考信号(DMRS)
- 第1个OFDM符号:PSS(占SSB中间144个RE)
- 第2个OFDM符号:PBCH
- 第3个OFDM符号:SSS(占SSB中间144个RE)+PBCH(占SSB两边各4个RB)
- 第4个OFDM符号:PBCH
需要注意的是:同步广播块内没有被PSS,SSS,PBCH及其DMRS使用的RE也不能用于传输其他信号或信道
物理广播信道(PBCH):承载部分系统消息,与同步信号一起提供终端接入网络的必要信息。PBCH和同步信号一起也被称为下行同步信道
为了降低小区搜索时间,让多个载波可以共享同一个同步信号,在PBCH的信息中引入了同步广播块子载波偏移边界偏移量(即NR系统的同步广播块的RB边界不一定与载波的RB边界对齐,会偏移
个子载波),可以在一定程度上减少初始同步时同步栅格上频点的数量,降低终端开机搜索复杂度。
| 子载波频率 | ||
| 15KHZ/30KHZ(载波频率小于6GHz) | 0,1,2...23(需要5个bit) | 子载波间隔可能小于初始接入带宽的子载波间隔(比如同步广播块的子载波为15KHZ,初始接入带宽的子载波为30KHZ),此时需要在两个SSB的RB范围内指示子载波偏移 |
| 120KHZ/240KHZ(载波频率大于6GHz) | 0,1,2...11(需要4个bit) | 子载波间隔永远大于初始接入带宽的子载波间隔,仅需要在1个SSB的RB范围内指示子载波偏移 |

主同步信号
主同步信号使用3条长度为127的m序列,指示的三个取值{0,1,2},主同步信号序列的生成公式为
其中,x(i+7)=[x(i+4)+x(i)]mod2,且[x(6) x(5) x(4) x(3) x(2) x(1) x(0)]=[1 1 1 0 1 1 0]
主同步信号的检测是小区搜索过程中复杂度最高的检测过程,使用多条主同部信号序列无疑会增加小区搜索的复杂度。但同时在物理小区ID数量一定的条件下,增加主同部信号序列的数量可以降低辅同步信号需略的数量,可以提高辅同步信号的检测性能。3GPP选择使用3条主同步信号序列。
- 时域上,主同步信号映射在SSB的第一个OFDM符号上
- 频域上,主同步信号从SSB的第57个子载波(子载波0为第一个子载波)开始映射
,一直映射到第183个子载波(对应
),总共占有127个子载波。
(与LTE不同的是,主同步信号映射过程中并不会绕开直流子载波)
| NR | LTE |
| m序列 | ZC序列 |
| 存在时偏和频偏的情况下,相关函数存在较大的旁瓣,影响检测性能 |


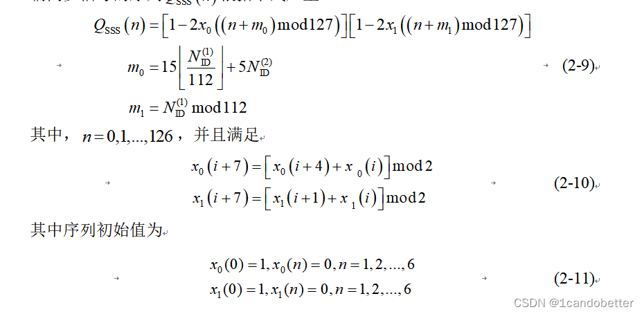
辅同步信号
辅同步信号使用336条长度为127的gold序列

- 时域上,辅同步信号映射在SSB的第3个OFDM符号上
- 频域上,主同步信号从SSB的第57个子载波(子载波0为第一个子载波)开始映射
,一直映射到第183个子载波(对应
),总共占有127个子载波。
(与LTE不同的是,辅同步信号映射过程中并不会绕开直流子载波)
- SSS一共有1008条序列,其中每个主同部序列对应336条。
- SSS的gold序列由2个生成多项式产生,第一个生成多项式产生9条序列,第一个生成多项式产生112条序列,
- m0与PSS有关,目的是为了降低小区ID检测错误的概率。比如UE可以收到来自小区1和小区2的同步信号。
- 相邻的m0相差5,目的是为了在有残留频偏的情况下,降低SSS序列之间的相关性
物理广播信道
物理广播信道的传输时间间隔(TTI)为80ms,采用polar编码。
NR的PBCH采用2级加扰机制。对于第一级加扰,在第一个无线帧,系统将对每个SSB的扰码序列分别进行初始化。在80ms的PBCH传输时间间隔(TTI)内,无线帧0,2,4,6上的PBCH分别使用同一条扰码序列的连续4段,无线帧1,3,5,7分别与无线帧0,2,4,6使用相同的扰码序列。当接收机合并连续的4个或8个SSB的PBCH信号时,这种加扰方式可以抑制相邻小区的干扰,提高合并的性能。
在每一个PBCH的PRB内,有3个RE用作DMRS。不同小区之间可以进行频域偏移,用于降低不同小区之间的干扰。
PBCH的DMRS最多可承载3比特的同步广播块索引。当同步广播块集合包含4个或8个SSB时,同步广播块索引完全通过PBCH的DMRS指示。当同步广播块集合包含64个SSB时,需6比特指示同步广播块索引,其中,低位3比特索引通过PBCH的DMRS指示,高位3比特索引通过PBCH指示。
其他系统信息传输
在检测到PBCH之后,终端就已经完成了下行同步。在进行上行同步之前,终端需要进一步接收SIB1消息,获得与上行同步相关的配置信息。SIB1消息在PDSCH中传输,并通过PDCCH进行调度,且PDSCH的资源分配范围在初始BWP的频率范围内。这里主要阐述SIB1和调度SIB1的PDCCH的物理资源分配

SIB1的PDCCH时、频域资源分配
SIB1对应的PDCCH映射在type0-PDCCH 公共搜索空间(CSS)内。频域上,type0-PDCCH 公共搜索空间(CSS)映射在控制资源集合0中(CORESET0),且控制资源集合0的频率范围(频域位置和带宽)与初始BWP完全相同。PBCH中承载的信令"pdcch-ConfigSIB1“的低位4bit指示了type0-PDCCH CSS的配置,高位4bit指示了CORESET0(控制资源集合)的配置。其中CORESET0(控制资源集合)的配置如下
- SSB与CORESET0复用的模式类型
- CORESET0占用的PRB数
- 用于CORESET0的OFDM符号数
- 频域上SSB下边界与CORESET0下边界的偏差(以RB为单位)
type0-PDCCH CSS的配置如下
- 参数O和M的取值(仅用于模式1)
- 搜索空间第1个OFDM符号的索引
- 每个slot内搜索空间的数量
与SSB一样,SIB1 也需要覆盖整个小区。因此,SIB1的PDCCH与PDSCH也需要像PBCH或SSB一样进行波束扫描。同步广播块集合中的每一个SSB对应一个CORESET0(控制资源集合),且使用相同的波束方向。
SSB与CORESET0(控制资源集合)之间的映射关系

CORESET0(控制资源集合)配置信令(pdcch-ConfigSIB1的高位4bit)用于配置模式1中CORESET0的频带下边界与SSB频带下边界的偏差(以RB为单位)


SIB1的PDSCH时、频域资源分配
常规的PDSCH使用RRC配置的时域资源分配表格,由PDCCH指示表格中的索引进行时域资源分配。但是由于UE在接收SIB1 PDSCH时,RRC连接还没有建立,因此需要定义默认时域资源分配表格, CORESET0与SSB的复用的3种模式分别对应3种默认时域资源分配表格
- type A:基于时隙的PDSCH映射 type B::基于非时隙的PDSCH映射
- K0:下行分配定时(PDCCH与PDSCH间隔,以时隙为单位,0表示PDCCH与PDSCH在一个时隙内)
- S:PDSCH的起始OFDM符号索引
- L:PDSCH持续的OFDM符号数量




频域上,SIB1 PDSCH在初始接入带宽范围内进行频域资源分配,使用资源分配type1。
最后
以上就是单薄棒棒糖最近收集整理的关于小区搜索相关小区搜索过程 下行同步信道及信号的全部内容,更多相关小区搜索相关小区搜索过程 下行同步信道及信号内容请搜索靠谱客的其他文章。
发表评论 取消回复