数学规划模型
- 一.总述模型
- 二.概述
- 1.什么是数学规划
- 2.一般形式
- 3.例子
- 4.分类
- 三.线性规划问题求解
- 1.Matlab中线性规划的标准型
- 2.例题
- 3.Matlab求线性规划函数
- 4.代码
- 四.线性规划例题
- 1.例题1:生产决策问题
- 2.例题2:投料问题
一.总述模型

二.概述
1.什么是数学规划
在给定的条件下(约束条件),如何按照某一衡量指标(目标函数)来寻求计划,管理工作中的最优方案
求目标函数在一定约束条件下的极值问题
2.一般形式

3.例子

4.分类
- 线性规划:如果目标函数
f
(
x
)
f(x)
f(x)和约束条件
s
.
t
.
s.t.
s.t.均是决策量
x
x
x的线性表达式,那么此时就是线性规划
使用“单纯形法” - 非线性规划:当目标函数
f
(
x
)
f(x)
f(x)或者约束条件
s
.
t
.
s.t.
s.t.有一个是决策量
x
x
x的非线性表达式,那么就是非线性规划
没有通用算法,大多数算法就是在选定决策变量的初始值,通过寻找最优的决策变量 - 整数规划:一类要求变量取整数值的数学规划(包括线性整数规划,非线性整数规划 )
- 0 − 1 0-1 0−1规划:整数变量只能取 0 0 0和 1 1 1
三.线性规划问题求解
1.Matlab中线性规划的标准型
m
i
n
C
min C
minCT
X
X
X(向量的内积,
C
=
C=
C=
[
c
1
c
2
⋮
c
n
]
begin{bmatrix} c_{1} \ c_{2} \ vdots \ c_{n} end{bmatrix}
⎣⎢⎢⎢⎡c1c2⋮cn⎦⎥⎥⎥⎤,
X
=
[
x
1
x
2
⋮
x
n
]
X=begin{bmatrix} x_{1} \ x_{2} \ vdots \ x_{n} end{bmatrix}
X=⎣⎢⎢⎢⎡x1x2⋮xn⎦⎥⎥⎥⎤,
n
n
n是决策变量的个数)

2.例题



3.Matlab求线性规划函数
[x fval] = linprog(c, A, b, Aeq, beq, lb,ub,x0)
- x x x0表示给定MATLAB迭代求解的初始值(一般不用)
- c , A , b , A e q , b e q , l b , u b c, A, b, Aeq, beq, lb,ub c,A,b,Aeq,beq,lb,ub的意义和标准型中的意义一致
- 若不存在不等式约束,可用“[]”代替 A A A和 b b b
- 若不存在等式约束,可用“[]”代替 A e g Aeg Aeg和 b e g beg beg
- 若某个 x x xi无上下界,则设置 l b ( i ) = − l n f lb(i)=-lnf lb(i)=−lnf, u b ( i ) = + l n f ub(i)=+lnf ub(i)=+lnf
- 返回的 x x x表示最小值处的x取值,fval表示最优解处时取得的最小值
- 不是所有的线性规划问题都是纬一街,可能无解或有无穷多的解
- 如果求得最大值,别忘了在最后给 f v a l fval fval加一个负号
4.代码
%% Matlab求解线性规划
% [x fval] = linprog(c, A, b, Aeq, beq, lb,ub, x0)
% c是目标函数的系数向量,A是不等式约束Ax<=b的系数矩阵,b是不等式约束Ax<=b的常数项
% Aeq是等式约束Aeq x=beq的系数矩阵,beq是等式约束Aeq x=beq的常数项
% lb是X的下限,ub是X的上限,X是向量[x1,x2,...xn]' , 即决策变量。
% 迭代的初始值为x0(一般不用给)
% 更多该函数的用法说明请看讲义
%% 例题1
c = [-5 -4 -6]'; % 加单引号表示转置
% c = [-5 -4 -6]; % 写成行向量也是可以的,不过不推荐,我们按照标准型来写看起来比较正规
A = [1 -1 1;
3 2 4;
3 2 0];
b = [20 42 30]';
lb = [0 0 0]';
[x fval] = linprog(c, A, b, [], [], lb) % ub我们直接不写,则意味着没有上界的约束
% x =
% 0
% 15.0000
% 3.0000
%
% fval =
% -78
%% 例题2
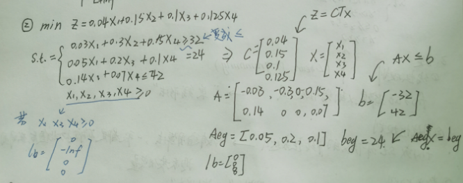
c = [0.04 0.15 0.1 0.125]';
A = [-0.03 -0.3 0 -0.15;
0.14 0 0 0.07];
b = [-32 42]';
Aeq = [0.05 0 0.2 0.1];
beq = 24;
lb = [0 0 0 0]';
[x fval] = linprog(c, A, b, Aeq, beq, lb)
% x =
% 0
% 106.6667
% 120.0000
% 0
%
% fval =
% 28
% 这个题可能有多个解,即有多个x可以使得目标函数的最小值为28(不同的Matlab版本可能得到的x的值不同,但最后的最小值一定是28)
% 例如我们更改一个限定条件:令x1要大于0(注意Matlab中线性规划的标准型要求的不等式约束的符号是小于等于0)
% x1 >0 等价于 -x1 < 0,那么给定 -x1 <= -0.1 (根据实际问题可以给一个略小于0的数-0.1),这样能将小于号转换为小于等于号,满足Matlab的标准型
c = [0.04 0.15 0.1 0.125]';
A = [-0.03 -0.3 0 -0.15;
0.14 0 0 0.07
-1 0 0 0];
b = [-32 42 -0.1]';
Aeq = [0.05 0 0.2 0.1];
beq = 24;
lb = [0 0 0 0]';
[x fval] = linprog(c, A, b, Aeq, beq, lb)
% x =
% 0.1000
% 106.6567
% 119.9750
% 0
%
% fval =
% 28.0000
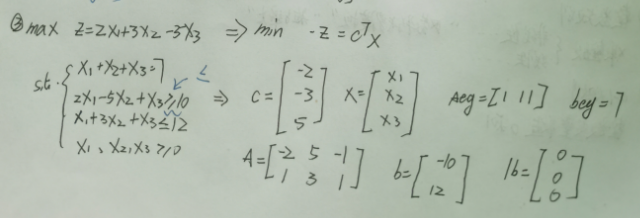
%% 例题3
c = [-2 -3 5]';
A = [-2 5 -1;
1 3 1];
b = [-10 12];
Aeq = ones(1,3);
beq = 7;
lb = zeros(3,1);
[x fval] = linprog(c, A, b, Aeq, beq, lb)
fval = -fval % 注意这个fval要取负号(原来是求最大值,我们添加负号变成了最小值问题)
% x =
% 6.4286
% 0.5714
% 0
% fval =
% -14.5714
% fval =
% 14.5714
%% 多个解的情况
% 例如 : min z = x1 + x2 s.t. x1 + x2 >= 10
c = [1 1]';
A = [-1 -1];
b = -10;
[x fval] = linprog(c, A, b) % Aeq, beq, lb和ub我们都没写,意味着没有等式约束和上下界约束
% x有多个解时,Matlab会给我们返回其中的一个解
%% 不存在解的情况
% 例如 : min z = x1 + x2 s.t. x1 + x2 = 10 、 x1 + 2*x2 <= 8、 x1 >=0 ,x2 >=0
c = [1 1]';
A = [1 2];
b = 8;
Aeq = [1 1];
beq = 10;
lb = [0 0]';
[x fval] = linprog(c, A, b, Aeq, beq, lb) % Linprog stopped because no point satisfies the constraints.(没有任何一个点满足约束条件)
四.线性规划例题
1.例题1:生产决策问题


%% 生产决策问题
format long g %可以将Matlab的计算结果显示为一般的长数字格式(默认会保留四位小数,或使用科学计数法)
% (1) 系数向量
c = zeros(9,1); % 初始化目标函数的系数向量全为0
c(1) = 1.25 -0.25 -300/6000*5; % x1前面的系数是c1
c(2) = 1.25 -0.25 -321/10000*7;
c(3) = -250 / 4000 * 6;
c(4) = -783/7000*4;
c(5) = -200/4000 * 7;
c(6) = -300/6000*10;
c(7) = -321 / 10000 * 9;
c(8) = 2-0.35-250/4000*8;
c(9) = 2.8-0.5-321/10000*12-783/7000*11;
c = -c; % 我们求的是最大值,所以这里需要改变符号
% (2) 不等式约束
A = zeros(5,9);
A(1,1) = 5; A(1,6) = 10;
A(2,2) = 7; A(2,7) = 9; A(2,9) = 12;
A(3,3) = 6; A(3,8) = 8;
A(4,4) = 4; A(4,9) = 11;
A(5,5) = 7;
b = [6000 10000 4000 7000 4000]';
% (3) 等式约束
Aeq = [1 1 -1 -1 -1 0 0 0 0;
0 0 0 0 0 1 1 -1 0];
beq = [0 0]';
%(4)上下界
lb = zeros(9,1);
% 进行求解
[x fval] = linprog(c, A, b, Aeq, beq, lb)
fval = -fval
% fval =
% 1146.56650246305
% 注意,本题应该是一个整数规划的例子,我们在后面的整数规划部分再来重新求解。
intcon = 1:9;
[x,fval]=intlinprog(c,intcon,A,b,Aeq,beq,lb)
fval = -fval
2.例题2:投料问题


%% 投料问题
clear,clc
format long g %可以将Matlab的计算结果显示为一般的长数字格式(默认会保留四位小数,或使用科学计数法)
% (1) 系数向量
a=[1.25 8.75 0.5 5.75 3 7.25]; % 工地的横坐标
b=[1.25 0.75 4.75 5 6.5 7.25]; % 工地的纵坐标
x = [5 2]; % 料场的横坐标
y = [1 7]; % 料场的纵坐标
c = []; % 初始化用来保存工地和料场距离的向量 (这个向量就是我们的系数向量)
for j =1:2
for i = 1:6
c = [c; sqrt( (a(i)-x(j))^2 + (b(i)-y(j))^2)]; % 每循环一次就在c的末尾插入新的元素
end
end
% (2) 不等式约束
A =zeros(2,12);
A(1,1:6) = 1;
A(2,7:12) = 1;
b = [20,20]';
% (3) 等式约束
Aeq = zeros(6,12);
for i = 1:6
Aeq(i,i) = 1; Aeq(i,i+6) = 1;
end
% Aeq = [eye(6),eye(6)] % 两个单位矩阵横着拼起来
beq = [3 5 4 7 6 11]'; % 每个工地的日需求量
%(4)上下界
lb = zeros(12,1);
% 进行求解
[x fval] = linprog(c, A, b, Aeq, beq, lb)
x = reshape(x,6,2) % 将x变为6行2列便于观察(reshape函数是按照列的顺序进行转换的,也就是第一列读完,读第二列,即x1对应x_1,1,x2对应x_2,1)
% fval =
% 135.281541790676
最后
以上就是漂亮眼睛最近收集整理的关于数学建模更新12(数学线性规划模型1)一.总述模型二.概述三.线性规划问题求解四.线性规划例题的全部内容,更多相关数学建模更新12(数学线性规划模型1)一内容请搜索靠谱客的其他文章。
发表评论 取消回复