来源|AI算法修炼营加入极市专业CV交流群,与 10000+来自港科大、北大、清华、中科院、CMU、腾讯、百度 等名校名企视觉开发者互动交流!
同时提供每月大咖直播分享、真实项目需求对接、干货资讯汇总,行业技术交流。关注 极市平台 公众号 ,回复 加群,立刻申请入群~
什么是视觉中的注意力机制?
计算机视觉(computer vision)中的注意力机制(attention)的基本思想就是想让系统学会注意力——能够忽略无关信息而关注重点信息。
近几年来,深度学习与视觉注意力机制结合的研究工作,大多数是集中于使用掩码(mask)来形成注意力机制。掩码的原理在于通过另一层新的权重,将图片数据中关键的特征标识出来,通过学习训练,让深度神经网络学到每一张新图片中需要关注的区域,也就形成了注意力。
注意力机制一种是软注意力(soft attention),另一种则是强注意力(hard attention)。
软注意力的关键点在于,这种注意力更关注区域或者通道,而且软注意力是确定性的注意力,学习完成后直接可以通过网络生成,最关键的地方是软注意力是可微的,这是一个非常重要的地方。可以微分的注意力就可以通过神经网络算出梯度并且前向传播和后向反馈来学习得到注意力的权重。
强注意力与软注意力不同点在于,首先强注意力是更加关注点,也就是图像中的每个点都有可能延伸出注意力,同时强注意力是一个随机的预测过程,更强调动态变化。当然,最关键是强注意力是一个不可微的注意力,训练过程往往是通过增强学习(reinforcement learning)来完成的。
在计算机视觉中,很多领域的相关工作(例如,分类、检测、分割、生成模型、视频处理等)都在使用Soft Attention,这些工作也衍生了很多不同的Soft Attention使用方法。这些方法共同的部分都是利用相关特征学习权重分布,再用学出来的权重施加在特征之上进一步提取相关知识。 不过施加权重的方式略有差别,可以总结如下:
加权可以作用在原图上;
加权可以作用在空间尺度上,给不同空间区域加权;
加权可以作用在Channel尺度上,给不同通道特征加权;
加权可以作用在不同时刻历史特征上,结合循环结构添加权重,例如机器翻译,或者视频相关的工作。
这次的文章我们主要来关注视觉应用中的Self-attention机制及其应用——Non-local网络模块。
1. 视觉应用中的self-attention机制
1.1 Self-attention机制
由于卷积核作用的感受野是局部的,要经过累积很多层之后才能把整个图像不同部分的区域关联起来。所以在会议CVPR2018上Hu J等人提出了SENet,从特征通道层面上统计图像的全局信息。这里,我们分享另一种特殊形式的Soft Attention —— Self Attention。
Self-Attention是从NLP中借鉴过来的思想,因此仍然保留了Query, Key和Value等名称。下图是self-attention的基本结构,feature maps是由基本的深度卷积网络得到的特征图,如ResNet、Xception等,这些基本的深度卷积网络被称为backbone,通常将最后ResNet的两个下采样层去除使获得的特征图是原输入图像的1/8大小。

第一步是将query和每个key进行相似度计算得到权重,常用的相似度函数有点积,拼接,感知机等;
第二步一般是使用一个softmax函数对这些权重进行归一化;
第三步将权重和相应的键值value进行加权求和得到最后的attention。
下面我们通过代码讲述self-attention的原理。
br/<
def __init__(self,in_dim,activation):>br/<
super(Self_Attn,self).__init__()>br/<
self.chanel_in = in_dim>br/<
self.activation = activation>br/< >br/<
self.query_conv = nn.Conv2d(in_channels = in_dim , out_channels = in_dim//8 , kernel_size= 1)>br/<
self.key_conv = nn.Conv2d(in_channels = in_dim , out_channels = in_dim//8 , kernel_size= 1)>br/<
self.value_conv = nn.Conv2d(in_channels = in_dim , out_channels = in_dim , kernel_size= 1)>br/<
self.gamma = nn.Parameter(torch.zeros(1))>br/< >br/<
self.softmax
= nn.Softmax(dim=-1) >br/<
def forward(self,x):>br/<
""">br/<
inputs :>br/<
x : input feature maps( B X C X W X H)>br/<
returns :>br/<
out : self attention value + input feature >br/<
attention: B X N X N (N is Width*Height)>br/<
""">br/<
m_batchsize,C,width ,height = x.size()>br/<
proj_query
= self.query_conv(x).view(m_batchsize,-1,width*height).permute(0,2,1) # B X CX(N)>br/<
proj_key =
self.key_conv(x).view(m_batchsize,-1,width*height) # B X C x (*W*H)>br/<
energy =
torch.bmm(proj_query,proj_key) # transpose check>br/<
attention = self.softmax(energy) # BX (N) X (N) >br/<
proj_value = self.value_conv(x).view(m_batchsize,-1,width*height) # B X C X N>br/< >br/<
out = torch.bmm(proj_value,attention.permute(0,2,1) )>br/<
out = out.view(m_batchsize,C,width,height)>br/< >br/<
out = self.gamma*out + x>br/<
return out,attention>br/class Self_Attn(nn.Module):
""" Self attention Layer"""
def __init__(self,in_dim,activation):
super(Self_Attn,self).__init__()
self.chanel_in = in_dim
self.activation = activation
self.query_conv = nn.Conv2d(in_channels = in_dim , out_channels = in_dim//8 , kernel_size= 1)
self.key_conv = nn.Conv2d(in_channels = in_dim , out_channels = in_dim//8 , kernel_size= 1)
self.value_conv = nn.Conv2d(in_channels = in_dim , out_channels = in_dim , kernel_size= 1)
self.gamma = nn.Parameter(torch.zeros(1))
self.softmax
= nn.Softmax(dim=-1)
def forward(self,x):
"""
inputs :
x : input feature maps( B X C X W X H)
returns :
out : self attention value + input feature
attention: B X N X N (N is Width*Height)
"""
m_batchsize,C,width ,height = x.size()
proj_query
= self.query_conv(x).view(m_batchsize,-1,width*height).permute(0,2,1) # B X CX(N)
proj_key =
self.key_conv(x).view(m_batchsize,-1,width*height) # B X C x (*W*H)
energy =
torch.bmm(proj_query,proj_key) # transpose check
attention = self.softmax(energy) # BX (N) X (N)
proj_value = self.value_conv(x).view(m_batchsize,-1,width*height) # B X C X N
out = torch.bmm(proj_value,attention.permute(0,2,1) )
out = out.view(m_batchsize,C,width,height)
out = self.gamma*out + x
return out,attention
假设feature maps的大小Batch_size×Channels×Width×Height
在初始化函数中,定义了三个1×1卷积,分别是query_conv , key_conv 和 value_conv:
在query_conv卷积中,输入为B×C×W×H,输出为B×C/8×W×H;
在key_conv卷积中,输入为B×C×W×H,输出为B×C/8×W×H;
在value_conv卷积中,输入为B×C×W×H,输出为B×C×W×H。
在forward函数中,定义了self-attention的具体步骤。
步骤一:
proj_query
= self.query_conv(x).view(m_batchsize,-1,width*height).permute(0,2,1)
proj_query本质上就是卷积,只不过加入了reshape的操作。首先是对输入的feature map进行query_conv卷积,输出为B×C/8×W×H;view函数是改变了输出的维度,就单张feature map而言,就是将W×H大小拉直,变为1×(W×H)大小;就batchsize大小而言,输出就是B×C/8×(W×H);permute函数则对第二维和第三维进行倒置,输出为B×(W×H)×C/8。proj_query中的第i行表示第i个像素位置上所有通道的值。

proj_key =
self.key_conv(x).view(m_batchsize,-1,width*height)
proj_key与proj_query相似,只是没有最后一步倒置,输出为B×C/8×(W×H)。proj_key中的第j行表示第j个像素位置上所有通道的值。

步骤二:
energy =
torch.bmm(proj_query,proj_key)
这一步是将batch_size中的每一对proj_query和proj_key分别进行矩阵相乘,输出为B×(W×H)×(W×H)。Energy中的第(i,j)是将proj_query中的第i行与proj_key中的第j行点乘得到。这个步骤的意义是energy中第(i,j)位置的元素是指输入特征图第j个元素对第i个元素的影响,从而实现全局上下文任意两个元素的依赖关系。

步骤三:
attention = self.softmax(energy)
这一步是将energe进行softmax归一化,是对行的归一化。归一化后每行的之和为1,对于(i,j)位置即可理解为第j位置对i位置的权重,所有的j对i位置的权重之和为1,此时得到attention_map。
proj_value = self.value_conv(x).view(m_batchsize,-1,width*height)
proj_value和proj_query与proj_key一样,只是输入为B×C×W×H,输出为B×C×(W×H)。从self-attention结构图中可以知道proj_value是与attention_map进行矩阵相乘,即下面两行代码。
out = torch.bmm(proj_value,attention.permute(0,2,1) )
out = out.view(m_batchsize,C,width,height)
在对proj_value与attention_map点乘之前,先对attention进行转置。这是由于attention中每一行的权重之和为1,是原特征图第j个位置对第i个位置的权重,将其转置之后,每一列之和为1;proj_value的每一行与attention中的每一列点乘,将权重施加于proj_value上,输出为B×C×(W×H)。

步骤四:
out = self.gamma*out + x
这一步是对attention之后的out进行加权,x是原始的特征图,将其叠加在原始特征图上。Gamma是经过学习得到的,初始gamma为0,输出即原始特征图,随着学习的深入,在原始特征图上增加了加权的attention,得到特征图中任意两个位置的全局依赖关系。
1.2 Self-attention机制应用:Non-local Neural Networks
论文地址:https://arxiv.org/abs/1711.07971
代码地址:https://github.com/pprp/SimpleCVReproduction/tree/master/attention/Non-local/Non-Local_pytorch_0.4.1_to_1.1.0/lib
在计算机视觉领域,一篇关于Attention研究非常重要的文章《Non-local Neural Networks》在捕捉长距离特征之间依赖关系的基础上提出了一种非局部信息统计的注意力机制——Self Attention。
文章中列出了卷积网络在统计全局信息时出现的三个问题如下:
1、捕获长范围特征依赖需要累积很多层的网络,导致学习效率太低; 2、由于网络需要累计很深,需要小心的设计模块和梯度; 3、当需要在比较远位置之间来回传递消息时,卷积或者时序局部操作很困难。故作者基于图片滤波领域的非局部均值滤波操作思想,提出了一个泛化、简单、可直接嵌入到当前网络的非局部操作算子,可以捕获时间(一维时序信号)、空间(图片)和时空(视频序列)的长范围依赖。这样设计的好处是:
相比较于不断堆叠卷积和RNN算子,非局部操作直接计算两个位置(可以是时间位置、空间位置和时空位置)之间的关系即可快速捕获长范围依赖,但是会忽略其欧式距离,这种计算方法其实就是求自相关矩阵,只不过是泛化的自相关矩阵;
非局部操作计算效率很高,要达到同等效果,只需要更少的堆叠层;
非局部操作可以保证输入尺度和输出尺度不变,这种设计可以很容易嵌入到目前的网络架构中。
下面我们主要分析一下作者是如何处理长距离信息的。
non-local block
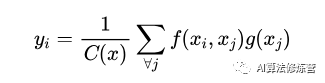
Non-local的通用公式表示:

- x是输入信号,CV中使用的一般是feature map
- i 代表的是输出位置,如空间、时间或者时空的索引,他的响应应该对j进行枚举然后计算得到的
- f 函数式计算i和j的相似度
- g 函数计算feature map在j位置的表示
- 最终的y是通过响应因子C(x) 进行标准化处理以后得到的

文中有谈及多种实现方式,在这里简单介绍一下在DL框架中最好实现的 Matmul 方式(如上图的non-local block):
首先对输入的 feature map X 进行线性映射(说白了就是 1*1*1 卷积,来压缩通道数),然后得到 θ,φ,g 特征;
通过reshape操作,强行合并上述的三个特征除通道数外的维度,然后对θ和φ进行矩阵点乘操作,得到类似协方差矩阵的东西(这个过程很重要,计算出特征中的自相关性,即得到每帧中每个像素对其他所有帧所有像素的关系);
然后对自相关特征进行 Softmax 操作,得到0~1的weights,这里就是我们需要的 Self-attention 系数;
最后将 attention系数,对应乘回特征矩阵 g 中,然后再上扩展channel数(1*1卷积),与原输入 feature map X 做残差运算,获得non-local block的输出。
可能存在的问题——计算量偏大:在高阶语义层引入non local layer, 也可以在具体实现的过程中添加pooling层来进一步减少计算量。
br/<
调用过程>br/<
NONLocalBlock2D(in_channels=32),>br/<
super(NONLocalBlock2D, self).__init__(in_channels,>br/<
inter_channels=inter_channels,>br/<
dimension=2, sub_sample=sub_sample,>br/<
bn_layer=bn_layer)>br/<
""">br/<
def __init__(self,>br/<
in_channels,>br/<
inter_channels=None,>br/<
dimension=3,>br/<
sub_sample=True,>br/<
bn_layer=True):>br/<
super(_NonLocalBlockND, self).__init__()>br/<>br/<
assert dimension in [1, 2, 3]>br/<>br/<
self.dimension = dimension>br/<
self.sub_sample = sub_sample>br/<>br/<
self.in_channels = in_channels>br/<
self.inter_channels = inter_channels>br/<>br/<
if self.inter_channels is None:>br/<
self.inter_channels = in_channels // 2>br/<
# 进行压缩得到channel个数>br/<
if self.inter_channels == 0:>br/<
self.inter_channels = 1>br/<>br/<
if dimension == 3:>br/<
conv_nd = nn.Conv3d>br/<
max_pool_layer = nn.MaxPool3d(kernel_size=(1, 2, 2))>br/<
bn = nn.BatchNorm3d>br/<
elif dimension == 2:>br/<
conv_nd = nn.Conv2d>br/<
max_pool_layer = nn.MaxPool2d(kernel_size=(2, 2))>br/<
bn = nn.BatchNorm2d>br/<
else:>br/<
conv_nd = nn.Conv1d>br/<
max_pool_layer = nn.MaxPool1d(kernel_size=(2))>br/<
bn = nn.BatchNorm1d>br/<>br/<
self.g = conv_nd(in_channels=self.in_channels,>br/<
out_channels=self.inter_channels,>br/<
kernel_size=1,>br/<
stride=1,>br/<
padding=0)>br/<>br/<
if bn_layer:>br/<
self.W = nn.Sequential(>br/<
conv_nd(in_channels=self.inter_channels,>br/<
out_channels=self.in_channels,>br/<
kernel_size=1,>br/<
stride=1,>br/<
padding=0), bn(self.in_channels))>br/<
nn.init.constant_(self.W[1].weight, 0)>br/<
nn.init.constant_(self.W[1].bias, 0)>br/<
else:>br/<
self.W = conv_nd(in_channels=self.inter_channels,>br/<
out_channels=self.in_channels,>br/<
kernel_size=1,>br/<
stride=1,>br/<
padding=0)>br/<
nn.init.constant_(self.W.weight, 0)>br/<
nn.init.constant_(self.W.bias, 0)>br/<>br/<
self.theta = conv_nd(in_channels=self.in_channels,>br/<
out_channels=self.inter_channels,>br/<
kernel_size=1,>br/<
stride=1,>br/<
padding=0)>br/<
self.phi = conv_nd(in_channels=self.in_channels,>br/<
out_channels=self.inter_channels,>br/<
kernel_size=1,>br/<
stride=1,>br/<
padding=0)>br/<>br/<
if sub_sample:>br/<
self.g = nn.Sequential(self.g, max_pool_layer)>br/<
self.phi = nn.Sequential(self.phi, max_pool_layer)>br/<>br/<
def forward(self, x):>br/<
'''>br/<
:param x: (b, c,
h, w)>br/<
:return:>br/<
'''>br/<>br/<
batch_size = x.size(0)>br/<>br/<
g_x = self.g(x).view(batch_size, self.inter_channels, -1)#[bs, c, w*h]>br/<
g_x = g_x.permute(0, 2, 1)>br/<>br/<
theta_x = self.theta(x).view(batch_size, self.inter_channels, -1)>br/<
theta_x = theta_x.permute(0, 2, 1)>br/<>br/<
phi_x = self.phi(x).view(batch_size, self.inter_channels, -1)>br/<
>br/<
f = torch.matmul(theta_x, phi_x)>br/<>br/<
print(f.shape)>br/<>br/<
f_div_C = F.softmax(f, dim=-1)>br/<>br/<
y = torch.matmul(f_div_C, g_x)>br/<
y = y.permute(0, 2, 1).contiguous()>br/<
y = y.view(batch_size, self.inter_channels, *x.size()[2:])>br/<
W_y = self.W(y)>br/<
z = W_y + x>br/<
return z"
style="margin-right: 0.15em;margin-left: 0.15em;padding: 0.5em;max-width: 100%;font-size: 0.85em;font-family: Consolas, Menlo, Courier, monospace;overflow: auto;display: block;color: rgb(171, 178, 191);min-width: 800px;background: none 0% 0% / auto repeat scroll padding-box border-box rgb(40, 44, 52);box-sizing: border-box !important;overflow-wrap: break-word !important;">import torch
from torch import nn
from torch.nn import functional as F
class _NonLocalBlockND(nn.Module):
"""
调用过程
NONLocalBlock2D(in_channels=32),
super(NONLocalBlock2D, self).__init__(in_channels,
inter_channels=inter_channels,
dimension=2, sub_sample=sub_sample,
bn_layer=bn_layer)
"""
def __init__(self,
in_channels,
inter_channels=None,
dimension=3,
sub_sample=True,
bn_layer=True):
super(_NonLocalBlockND, self).__init__()
assert dimension in [1, 2, 3]
self.dimension = dimension
self.sub_sample = sub_sample
self.in_channels = in_channels
self.inter_channels = inter_channels
if self.inter_channels is None:
self.inter_channels = in_channels // 2
# 进行压缩得到channel个数
if self.inter_channels == 0:
self.inter_channels = 1
if dimension == 3:
conv_nd = nn.Conv3d
max_pool_layer = nn.MaxPool3d(kernel_size=(1, 2, 2))
bn = nn.BatchNorm3d
elif dimension == 2:
conv_nd = nn.Conv2d
max_pool_layer = nn.MaxPool2d(kernel_size=(2, 2))
bn = nn.BatchNorm2d
else:
conv_nd = nn.Conv1d
max_pool_layer = nn.MaxPool1d(kernel_size=(2))
bn = nn.BatchNorm1d
self.g = conv_nd(in_channels=self.in_channels,
out_channels=self.inter_channels,
kernel_size=1,
stride=1,
padding=0)
if bn_layer:
self.W = nn.Sequential(
conv_nd(in_channels=self.inter_channels,
out_channels=self.in_channels,
kernel_size=1,
stride=1,
padding=0), bn(self.in_channels))
nn.init.constant_(self.W[1].weight, 0)
nn.init.constant_(self.W[1].bias, 0)
else:
self.W = conv_nd(in_channels=self.inter_channels,
out_channels=self.in_channels,
kernel_size=1,
stride=1,
padding=0)
nn.init.constant_(self.W.weight, 0)
nn.init.constant_(self.W.bias, 0)
self.theta = conv_nd(in_channels=self.in_channels,
out_channels=self.inter_channels,
kernel_size=1,
stride=1,
padding=0)
self.phi = conv_nd(in_channels=self.in_channels,
out_channels=self.inter_channels,
kernel_size=1,
stride=1,
padding=0)
if sub_sample:
self.g = nn.Sequential(self.g, max_pool_layer)
self.phi = nn.Sequential(self.phi, max_pool_layer)
def forward(self, x):
'''
:param x: (b, c,
h, w)
:return:
'''
batch_size = x.size(0)
g_x = self.g(x).view(batch_size, self.inter_channels, -1)#[bs, c, w*h]
g_x = g_x.permute(0, 2, 1)
theta_x = self.theta(x).view(batch_size, self.inter_channels, -1)
theta_x = theta_x.permute(0, 2, 1)
phi_x = self.phi(x).view(batch_size, self.inter_channels, -1)
f = torch.matmul(theta_x, phi_x)
print(f.shape)
f_div_C = F.softmax(f, dim=-1)
y = torch.matmul(f_div_C, g_x)
y = y.permute(0, 2, 1).contiguous()
y = y.view(batch_size, self.inter_channels, *x.size()[2:])
W_y = self.W(y)
z = W_y + x
return z
Non local NN从传统方法Non local means中获得灵感,然后接着在神经网络中应用了这个思想,直接融合了全局的信息,而不仅仅是通过堆叠多个卷积层获得较为全局的信息。这样可以为后边的层带来更为丰富的语义信息。
论文中也通过消融实验,完全证明了该模块在视频分类,目标检测,实例分割、关键点检测等领域的有效性,但是其中并没有给出其带来的参数量上的变化,或者计算速度的变化。但是可以猜得到,参数量的增加还是有一定的,如果对速度有要求的实验可能要进行速度和精度上的权衡,不能盲目添加non local block。神经网络中还有一个常见的操作也是利用的全局信息,那就是Linear层,全连接层将feature map上每一个点的信息都进行了融合,Linear可以看做一种特殊的Non local操作。
Non-local Neural Networks模块依然存在以下的不足:
(1) 只涉及到了位置注意力模块,而没有涉及常用的通道注意力机制
(2) 可以看出如果特征图较大,那么两个(batch,hxw,512)矩阵乘是非常耗内存和计算量的,也就是说当输入特征图很大存在效率底下问题,虽然有其他办法解决例如缩放尺度,但是这样会损失信息,不是最佳处理办法。
改进思路

注意力机制在分类网络中的应用:SENet、SKNet、CBAM
比CNN更强有力,港中文贾佳亚团队提出两类新型自注意力网络|CVPR2020
Attention综述:基础原理、变种和最近研究

添加极市小助手微信(ID : cv-mart),备注:研究方向-姓名-学校/公司-城市(如:AI移动应用-小极-北大-深圳),即可申请加入AI移动应用极市技术交流群,更有每月大咖直播分享、真实项目需求对接、求职内推、算法竞赛、干货资讯汇总、行业技术交流,一起来让思想之光照的更远吧~

△长按添加极市小助手

△长按关注极市平台,获取最新CV干货
觉得有用麻烦给个在看啦~ 
最后
以上就是眼睛大雪糕最近收集整理的关于通道注意力机制_Selfattention机制及其应用:Nonlocal网络模块什么是视觉中的注意力机制?1. 视觉应用中的self-attention机制的全部内容,更多相关通道注意力机制_Selfattention机制及其应用:Nonlocal网络模块什么是视觉中的注意力机制?1.内容请搜索靠谱客的其他文章。
发表评论 取消回复