我是靠谱客的博主 寒冷荷花,这篇文章主要介绍excel随机数_用Excel做直方图(1):随机数发生器,现在分享给大家,希望可以做个参考。

在介绍用Excel做直方图前,先来介绍用Excel生成随机数的功能,在我看来,这两个功能还是很息息相关的,放在一起学习可以更深入的理解统计学里各种分布的概念。

本节知识点:

  • 数据分析工具库:随机数发生器
  • 离散变量和连续变量
  • 均匀分布、二项分布、伯努利分布、泊松分布、正态分布、离散概率分布

Excel 2016 有个数据分析的功能,可以满足数据分析小白们用Excel做数据分析的绝大多数需求。

具体位置在数据——数据分析

b13499b5642fec57abbf4c7f4711eead.png

上一节已经介绍过其中的一个功能了——相关系数,这个小节再来介绍另一个功能——随机数发生器

随机数发生器,顾名思义,用来生成随机数。发生器中的几个参数含义如下:

  • 变量个数:输出数据中想要的列数
  • 随机数个数:输出数据中想要的随机数的个数
  • 分布:随机数分布的方法。有均匀、正态、伯努利、二项式、泊松、模式、离散分布
  • 参数:选择不同的分布会出现不同的参数,稍后一一讲解。
  • 随机数基数:在此输入用来产生随机数的可选数值。可在以后重新使用该数值来生成相同的随机数。
  • 输出选项:输出可以是该工作表的某一个区域,也可以是新工作表或新工作簿。

一、均匀

均匀的随机数的参数是介于XX与XX,一个表示下限,另一个表示上限,用于生成上下限之间的均匀的连续性随机数,相当于函数RAND(),这个函数默认是生成0到1之间的连续随机数,可以自己再构造上下限。如下图所示,这里用随机数发生器均匀分布产生了1列100个介于0到1之间的随机数。

e3231e01c39ea94755db55be09e5af40.png

在统计学里变量按变量值是否连续可以分为连续型变量离散型变量,连续型变量就是在一定区间内可以任意取值,相邻的两个数值可以无限分割,其取值范围为实数,而离散型变量通常以整数取值,数据由一个一个单独的数值组成,公式里除了RAND生成随机数外,还有一个RANDBETWEEN(下限,上限),产生的是离散型的随机数。

9f34c33f16ab229bf0fa5579416852e0.png

对比一下就能明白连续和离散的区别了,上图,B列是RAND函数产生的0~1之间的随机数,也就是随机数发生器——均匀产生的随机数,C列是RANDBETWEEN函数产生的离散型随机数,可以看出,离散型随机数是一个个单独的数值,连续型随机数是实数随机均匀的。

二、二项式

3f9883314c258a8ab9571ab1dd29b500.png

二项分布条件:

  • 进行一系列独立试验
  • 每一次试验都存在成功和失败的可能,且成功的概率相同
  • 试验次数有限

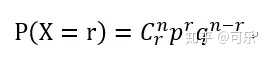
二项分布记做:X~B(n,p),X表示n次试验中的成功次数,我们要求的是成功的次数,其概率为:

77d11e00e71eb7272cfef39369ce2414.png

p是每次试验成功的概率,q=1-p是每次试验失败的概率,其中,

754af820304632557fc90fd72554899e.png

二项分布的期望E(X)=np,方差Var(X)=npq,二项分布是离散型概率分布。

ac2151b23e0519b653a9c5192199d0d4.png

具体到随机数发生器中,我们生成1列10个随机数,参数P(A)就是上述P(X=r)的概率,试验次数是n,生成的随机数如J列所示。具体到实例中,可以这样理解,假设总共有10个问题,每个问题都有4个选项,每回答对一题的概率是0.25,二项分布求的就是回答对r到题的概率,这里随机数模拟的就是回答对问题的题数。

三、伯努利

伯努利分布又叫0-1分布,是一个离散型的概率分布,是n=1的二项分布的特殊情况。它的变量为0和1,伯努利分布的期望E(X)=p,方差Var(X)=pq。

在随机数发生器中,要填的参数是P=1的概率,这里我们生成了1列100个随机数,数值只有0和1,其中p=1的概率为0.5

71223482ca16e650090c14ae4f86cc35.png

四、泊松

2a343b96ad5078c171204504a70cb2ca.png

泊松分布的条件:

  • 单独事件在给定区间内随机、独立地发生。给定区间可以是时间或空间。
  • 已知该区间内的事件平均发生次数,且为有限数值

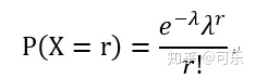
泊松分布记做:X~Po(

61352de755689fa4840571a12aa8e8d5.png

),X表示给定区间内事件发生的次数,求给定区间内发生r次事件的概率为:

f9669324d92b3492658977af9d797938.png

e23dccfb2e65bdf4da08b9e4584f62b4.png

泊松分布的期望E(X)=

61352de755689fa4840571a12aa8e8d5.png

,方差Var(X)=

61352de755689fa4840571a12aa8e8d5.png

,泊松分布是离散型。

具体到随机数发生器中,我们生成1列100个随机数,参数就是上述图片所示,即给定区间内事件平均发生的次数或发生率,不一定非为整数,生成的随机数如K列所示。具体到实例中,可以这样理解,某加油站,平均每小时来加油的车辆为10辆,泊松分布求的这个加油站每小时前来加油的车辆次数的概率,这里随机数模拟的是每小时前来加油的车辆的辆数,共模拟100次。

五、正态

不同于二项分布和泊松分布,正态分布是连续型的分布,又叫高斯分布,正态分布通过参数平均值和方差确定。正态分布记做:X~N(

fbcbd0b09d05ac4b17addd83b0a8f8c0.png

f5f11454513af00aa14d87e5af6c5880.png

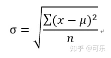
在随机数发生器中,它的参数有两个:平均值标准差。标准差是方差的平方根,方差是数值与均值的距离的平方数的平均值,方差已经可以体现数据的分散程度了,但标准差更直观。标准差越小,数值离均值越近,正态分布的曲线就越扁平、越宽。

2c73dd27d7ec3e3963e9cf42a370cc8f.png

我们生成1列100个随机数,这100个随机数符合标准的正态分布,平均值是0,标准差为1。

fd889655d789bc284ff64471e46ef3c7.png

六、模式

以下界和上界、步幅、数值的重复率和序列的重复率来表征。EXCEL的“模式”所产生的重复序列是按相同步长产生的重复序列。

具体到随机数发生器里,下界是数值的最小值,上界是数值的最大值,步幅是该数字间隔,如1~4,间隔1,则按产生1、2、3、4产生随机数,间隔为2,则按1、3产生随机数。数值的重复率是每一数字重复几次,序列的重复率是该序列重复几次。如从1到4,间隔1,重复每一数字2次,重复序列3次,得到112233441122334411223344的随机数。

277041895ca8cc02ce97d3b3b0028c25.png

七、离散

离散的参数是输入数值与概率两列。左边一列是数值,右边一列是该数值发生的概率,且概率的和必须为1。如举例所示,离散随机数生成的是100个10、15、20、25这四个数字,见H列,其中10出现的概率为0.1,15出现的概率为0.4,20出现的概率为0.3,25出现的概率为0.2,见DE列,DE列是参数的输入区域。

94b38398edf5f304f395cbaac54cebd9.png

至此,我们了解了用Excel如何生成随机数,同时顺便了解了生成的随机数的各项分布特征。下一小节将就生成的随机数进行频率分布直方图的做法详解。

下一节内容:用Excel做直方图(2):频率分布直方图

注:本文首发于CSDN,文章属原创,转载请联系作者

@作者:虾壳,在数据分析的道路上努力奔跑

@微信公众号:可乐的数据分析之路

往期文章精选:

可乐:用Excel做相关性分析​zhuanlan.zhihu.com
fe256b3f7fe15fb113218ec5f6ef08a5.png
可乐:用Excel做排列图​zhuanlan.zhihu.com
dab9a49657bfdea427fae7f5b2df134b.png
数据处理​mp.weixin.qq.com
cd4f8f4f86096aba9d2d907710235ea3.png
数据分析方法论​mp.weixin.qq.com
cd4f8f4f86096aba9d2d907710235ea3.png
入门数据分析​mp.weixin.qq.com
cd4f8f4f86096aba9d2d907710235ea3.png
我的2018年终总结分析​mp.weixin.qq.com
cd4f8f4f86096aba9d2d907710235ea3.png

最后

以上就是寒冷荷花最近收集整理的关于excel随机数_用Excel做直方图(1):随机数发生器的全部内容,更多相关excel随机数_用Excel做直方图(1)内容请搜索靠谱客的其他文章。

本图文内容来源于网友提供,作为学习参考使用,或来自网络收集整理,版权属于原作者所有。
点赞(218)

评论列表共有 0 条评论

立即
投稿
返回
顶部