Note:
Anchored NeighborhoodRegression for Fast Example-Based Super-Resolution
1. Abstract
a) Propose fast super-resolutionmethods while making no compromise on quality
i. Support the use of sparselearned dictionaries in combination with neighbor embedding methods.
1). Dictionary atomsßEuclidean distance
ii. Use global collaborative coding
iii. Propose the anchoredneighborhood regression
1). Anchor the neighborhoodembedding
2). Precompute the correspondingembedding matrix
2. Introduction
a) Defination of super-resolution
b) Three subclasses
i. Interpilation methods
ii. Multi-frame methods
iii. Learning-based methods
1). Gradient Profile Prior
2). Dictionary- or example- learning methods
a) Subdivided into patches
b) Form a Markov Random Field(MRF)
c) Search for nearest neighbors
d) HR is retrieved
e) MRF can be solved
3). Downside
a) High computational complexity
b) Overcome:
i. Neighbor embedding
ii. Sparse encoding approaches
4). Proposed example-basedsuper-resolution
a). Low computational time
b). Qualitative performance
c) Organization
i. Section 2:neighbor embedding& sparse coding
ii. Section 3: proposed methods
iii. Section 4:experimental results
iv. Section 5:conclusions
3. Dictionary-basedSuper-Resolution
a) Neighbor embedding approaches
i. Low-dimensional nonlinearmanifolds
ii. Locally linear embedding(LLE)
1. Search for a set of K nearestneighbors
2. Compute K appropriate weights
3. Create HR patchs
4. Create result HR image
iii. Nonnegative neighbor embeddingapproaches
b) Sparse coding approaches
i. Effects: a learned compactdictionary
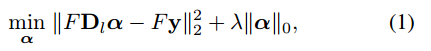
ii. 
iii. sparsedictionaries:

iv. several modifications:
1). different training approaches
2). pseudoinverse(伪逆法)
3). PCA
4). Orthogonal matching pursuit
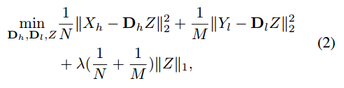
4. Proposed Methods
a) Global regression :special caseof ANR
i. 
ii. 
iii. 
iv. 
v. 
vi. 
b) Anchored neighborhoodregression
5. Experiments
a) Conditions
i. Features
1). Luminance component
2). Basic feature: the patch
3). First and second order derivative
ii. Embeddings
iii. Dictionaries
1). The larger the dictionary thebetter the performance
2). “internal”dictionary,”external” dictionary
3). Randomly sampled dictionaries,learned dictionaries
iv. Neighborhoods
b) Performance
i. Quality
ii. Running times
6. Conclusions
a) Propose a new example-basedmethod for super-resolution called Anchored Neighbor Regression
b) Propose an extreme variantcalled Global Regression
c) Most of these can reach asimilar top performance based on using the appropriate neighborhood size anddictionary
最后
以上就是虚心百合最近收集整理的关于Note《Anchored Neighborhood Regression for Fast Example-Based Super-Resolution》的全部内容,更多相关Note《Anchored内容请搜索靠谱客的其他文章。
发表评论 取消回复