在讲遍历之前,我们要先创建一个树:

#include <iostream>
using namespace std;
typedef struct node;
typedef node *tree;
struct node{
int data; // 结点数值
tree left,right; // 左子树和右子树
};
tree bt;
遍历二叉树有三种方式:
先序遍历
先序遍历的操作如下:
- 访问根结点
- 先序遍历左子树(递归)
- 先序遍历右子树(递归)
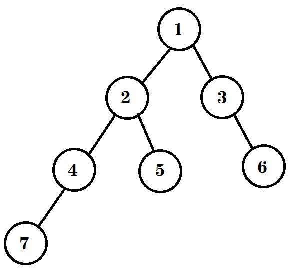
二叉树bt的先序遍历结果:12347536
代码如下:
void preorder(tree bt){
if (bt){ // 判断不为空二叉树
cout << bt->data;
preorder(bt->left); // 递归遍历左子树
preorder(bt->right); // 递归遍历右子树
}
}
中序遍历
中序遍历的操作如下:
- 中序遍历左子树(递归)
- 访问根结点
- 中序遍历右子树(递归)
二叉树bt的中序遍历结果:7425136
代码如下:
void inorder(tree bt){
if (bt){ // 判断不为空二叉树
inorder(bt->left); // 递归遍历左子树
cout << bt->data;
inorder(bt->right); // 递归遍历右子树
}
}
后序遍历
后序遍历的操作如下:
- 后序遍历左子树(递归)
- 后序遍历右子树(递归)
- 访问根结点
二叉树bt的后序遍历的结果:7452631
代码如下:
void postorder(tree bt){
if (bt){ // 判断不为空二叉树
postorder(bt->left); // 递归遍历左子树
postorder(bt->right); // 递归遍历右子树
cout << bt->data;
}
}
小结:我们使用递归的方式遍历了二叉树,大家仔细观察可以发现,先序遍历就是先访问根结点,再递归,中序遍历是把访问根结点放中间,后续遍历是最后访问。
总代码:
#include <iostream>
using namespace std;
typedef struct node;
typedef node *tree;
struct node{
int data; // 结点数值
tree left,right; // 左子树和右子树
};
tree bt;
void preorder(tree bt){
if (bt){ // 判断不为空二叉树
cout << bt->data;
preorder(bt->left); // 递归遍历左子树
preorder(bt->right); // 递归遍历右子树
}
}
void inorder(tree bt){
if (bt){ // 判断不为空二叉树
inorder(bt->left); // 递归遍历左子树
cout << bt->data;
inorder(bt->right); // 递归遍历右子树
}
}
void postorder(tree bt){
if (bt){ // 判断不为空二叉树
postorder(bt->left); // 递归遍历左子树
postorder(bt->right); // 递归遍历右子树
cout << bt->data;
}
}
补充知识:
表达式:a+b*c
表达式二叉树:

前缀表达式(波兰式):+a*bc
中缀表达式:a+b*c/d
后缀表达式(逆波兰式):abc*+
怎么将中缀表达式转换为前缀表达式或后缀表达式呢?只需像前序遍历和后序遍历一样遍历表达二叉树即可。
总结
到此这篇关于C++树之遍历二叉树的文章就介绍到这了,更多相关C++遍历二叉树内容请搜索靠谱客以前的文章或继续浏览下面的相关文章希望大家以后多多支持靠谱客!
最后
以上就是专注钻石最近收集整理的关于C++树之遍历二叉树实例详解的全部内容,更多相关C++树之遍历二叉树实例详解内容请搜索靠谱客的其他文章。
本图文内容来源于网友提供,作为学习参考使用,或来自网络收集整理,版权属于原作者所有。
发表评论 取消回复