一、拓扑排序的介绍
拓扑排序对应施工的流程图具有特别重要的作用,它可以决定哪些子工程必须要先执行,哪些子工程要在某些工程执行后才可以执行。为了形象地反映出整个工程中各个子工程(活动)之间的先后关系,可用一个有向图来表示,图中的顶点代表活动(子工程),图中的有向边代表活动的先后关系,即有向边的起点的活动是终点活动的前序活动,只有当起点活动完成之后,其终点活动才能进行。通常,我们把这种顶点表示活动、边表示活动间先后关系的有向图称做顶点活动网(Activity On Vertex network),简称AOV网。
一个AOV网应该是一个有向无环图,即不应该带有回路,因为若带有回路,则回路上的所有活动都无法进行(对于数据流来说就是死循环)。在AOV网中,若不存在回路,则所有活动可排列成一个线性序列,使得每个活动的所有前驱活动都排在该活动的前面,我们把此序列叫做拓扑序列(Topological order),由AOV网构造拓扑序列的过程叫做拓扑排序(Topological sort)。AOV网的拓扑序列不是唯一的,满足上述定义的任一线性序列都称作它的拓扑序列。
二、拓扑排序的实现步骤
1.在有向图中选一个没有前驱的顶点并且输出
2.从图中删除该顶点和所有以它为尾的弧(白话就是:删除所有和它有关的边)
3.重复上述两步,直至所有顶点输出,或者当前图中不存在无前驱的顶点为止,后者代表我们的有向图是有环的,因此,也可以通过拓扑排序来判断一个图是否有环。
三、拓扑排序示例手动实现
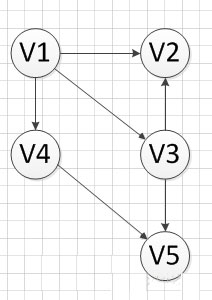
如果我们有如下的一个有向无环图,我们需要对这个图的顶点进行拓扑排序,过程如下:

首先,我们发现V6和v1是没有前驱的,所以我们就随机选去一个输出,我们先输出V6,删除和V6有关的边,得到如下图结果:

然后,我们继续寻找没有前驱的顶点,发现V1没有前驱,所以输出V1,删除和V1有关的边,得到下图的结果:

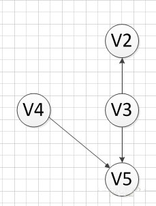
然后,我们又发现V4和V3都是没有前驱的,那么我们就随机选取一个顶点输出(具体看你实现的算法和图存储结构),我们输出V4,得到如下图结果:

然后,我们输出没有前驱的顶点V3,得到如下结果:

然后,我们分别输出V5和V2,最后全部顶点输出完成,该图的一个拓扑序列为:
v6–>v1—->v4—>v3—>v5—>v2
四、拓扑排序的代码实现
下面,我们将用两种方法来实现我么的拓扑排序:
1.Kahn算法
2.基于DFS的拓扑排序算法
首先我们先介绍第一个算法的思路:
Kahn的算法的思路其实就是我们之前那个手动展示的拓扑排序的实现,我们先使用一个栈保存入度为0 的顶点,然后输出栈顶元素并且将和栈顶元素有关的边删除,减少和栈顶元素有关的顶点的入度数量并且把入度减少到0的顶点也入栈。具体的代码如下:
bool Graph_DG::topological_sort() {
cout << "图的拓扑序列为:" << endl;
//栈s用于保存栈为空的顶点下标
stack<int> s;
int i;
ArcNode * temp;
//计算每个顶点的入度,保存在indgree数组中
for (i = 0; i != this->vexnum; i++) {
temp = this->arc[i].firstarc;
while (temp) {
++this->indegree[temp->adjvex];
temp = temp->next;
}
}
//把入度为0的顶点入栈
for (i = 0; i != this->vexnum; i++) {
if (!indegree[i]) {
s.push(i);
}
}
//count用于计算输出的顶点个数
int count=0;
while (!s.empty()) {//如果栈为空,则结束循环
i = s.top();
s.pop();//保存栈顶元素,并且栈顶元素出栈
cout << this->arc[i].data<<" ";//输出拓扑序列
temp = this->arc[i].firstarc;
while (temp) {
if (!(--this->indegree[temp->adjvex])) {//如果入度减少到为0,则入栈
s.push(temp->adjvex);
}
temp = temp->next;
}
++count;
}
if (count == this->vexnum) {
cout << endl;
return true;
}
cout << "此图有环,无拓扑序列" << endl;
return false;//说明这个图有环
}
现在,我们来介绍第二个算法的思路:
其实DFS就是深度优先搜索,它每次都沿着一条路径一直往下搜索,知道某个顶点没有了出度时,就停止递归,往回走,所以我们就用DFS的这个思路,我们可以得到一个有向无环图的拓扑序列,其实DFS很像Kahn算法的逆过程。具体的代码实现如下:
bool Graph_DG::topological_sort_by_dfs() {
stack<string> result;
int i;
bool * visit = new bool[this->vexnum];
//初始化我们的visit数组
memset(visit, 0, this->vexnum);
cout << "基于DFS的拓扑排序为:" << endl;
//开始执行DFS算法
for (i = 0; i < this->vexnum; i++) {
if (!visit[i]) {
dfs(i, visit, result);
}
}
//输出拓扑序列,因为我们每次都是找到了出度为0的顶点加入栈中,
//所以输出时其实就要逆序输出,这样就是每次都是输出入度为0的顶点
for (i = 0; i < this->vexnum; i++) {
cout << result.top() << " ";
result.pop();
}
cout << endl;
return true;
}
void Graph_DG::dfs(int n, bool * & visit, stack<string> & result) {
visit[n] = true;
ArcNode * temp = this->arc[n].firstarc;
while (temp) {
if (!visit[temp->adjvex]) {
dfs(temp->adjvex, visit,result);
}
temp = temp->next;
}
//由于加入顶点到集合中的时机是在dfs方法即将退出之时,
//而dfs方法本身是个递归方法,
//仅仅要当前顶点还存在边指向其他不论什么顶点,
//它就会递归调用dfs方法,而不会退出。
//因此,退出dfs方法,意味着当前顶点没有指向其他顶点的边了
//,即当前顶点是一条路径上的最后一个顶点。
//换句话说其实就是此时该顶点出度为0了
result.push(this->arc[n].data);
}
两种算法总结:
对于基于DFS的算法,增加结果集的条件是:顶点的出度为0。这个条件和Kahn算法中入度为0的顶点集合似乎有着异曲同工之妙,Kahn算法不须要检测图是否为DAG,假设图为DAG,那么在入度为0的栈为空之后,图中还存在没有被移除的边,这就说明了图中存在环路。而基于DFS的算法须要首先确定图为DAG,当然也可以做出适当调整,让环路的检测測和拓扑排序同一时候进行,毕竟环路检測也可以在DFS的基础上进行。
二者的复杂度均为O(V+E)。
五、完整的代码和输出展示
topological_sort.h文件的代码
#pragma once
//#pragma once是一个比较常用的C/C++杂注,
//只要在头文件的最开始加入这条杂注,
//就能够保证头文件只被编译一次。
/*
拓扑排序必须是对有向图的操作
算法实现:
(1)Kahn算法
(2)DFS算法
采用邻接表存储图
*/
#include<iostream>
#include<string>
#include<stack>
using namespace std;
//表结点
struct ArcNode {
ArcNode * next; //下一个关联的边
int adjvex; //保存弧尾顶点在顶点表中的下标
};
struct Vnode {
string data; //顶点名称
ArcNode * firstarc; //第一个依附在该顶点边
};
class Graph_DG {
private:
int vexnum; //图的顶点数
int edge; //图的边数
int * indegree; //每条边的入度情况
Vnode * arc; //邻接表
public:
Graph_DG(int, int);
~Graph_DG();
//检查输入边的顶点是否合法
bool check_edge_value(int,int);
//创建一个图
void createGraph();
//打印邻接表
void print();
//进行拓扑排序,Kahn算法
bool topological_sort();
//进行拓扑排序,DFS算法
bool topological_sort_by_dfs();
void dfs(int n,bool * & visit, stack<string> & result);
};
topological_sort.cpp文件代码
#include"topological_sort.h"
Graph_DG::Graph_DG(int vexnum, int edge) {
this->vexnum = vexnum;
this->edge = edge;
this->arc = new Vnode[this->vexnum];
this->indegree = new int[this->vexnum];
for (int i = 0; i < this->vexnum; i++) {
this->indegree[i] = 0;
this->arc[i].firstarc = NULL;
this->arc[i].data = "v" + to_string(i + 1);
}
}
//释放内存空间
Graph_DG::~Graph_DG() {
ArcNode * p, *q;
for (int i = 0; i < this->vexnum; i++) {
if (this->arc[i].firstarc) {
p = this->arc[i].firstarc;
while (p) {
q = p->next;
delete p;
p = q;
}
}
}
delete [] this->arc;
delete [] this->indegree;
}
//判断我们每次输入的的边的信息是否合法
//顶点从1开始编号
bool Graph_DG::check_edge_value(int start, int end) {
if (start<1 || end<1 || start>vexnum || end>vexnum) {
return false;
}
return true;
}
void Graph_DG::createGraph() {
int count = 0;
int start, end;
cout << "输入每条起点和终点的顶点编号(从1开始编号)" << endl;
while (count != this->edge) {
cin >> start;
cin >> end;
//检查边是否合法
while (!this->check_edge_value(start, end)) {
cout << "输入的顶点不合法,请重新输入" << endl;
cin >> start;
cin >> end;
}
//声明一个新的表结点
ArcNode * temp = new ArcNode;
temp->adjvex = end - 1;
temp->next = NULL;
//如果当前顶点的还没有边依附时,
if (this->arc[start - 1].firstarc == NULL) {
this->arc[start - 1].firstarc = temp;
}
else {
ArcNode * now = this->arc[start - 1].firstarc;
while(now->next) {
now = now->next;
}//找到该链表的最后一个结点
now->next = temp;
}
++count;
}
}
void Graph_DG::print() {
int count = 0;
cout << "图的邻接矩阵为:" << endl;
//遍历链表,输出链表的内容
while (count != this->vexnum) {
//输出链表的结点
cout << this->arc[count].data<<" ";
ArcNode * temp = this->arc[count].firstarc;
while (temp) {
cout<<"<"<< this->arc[count].data<<","<< this->arc[temp->adjvex].data<<"> ";
temp = temp->next;
}
cout << "^" << endl;
++count;
}
}
bool Graph_DG::topological_sort() {
cout << "图的拓扑序列为:" << endl;
//栈s用于保存栈为空的顶点下标
stack<int> s;
int i;
ArcNode * temp;
//计算每个顶点的入度,保存在indgree数组中
for (i = 0; i != this->vexnum; i++) {
temp = this->arc[i].firstarc;
while (temp) {
++this->indegree[temp->adjvex];
temp = temp->next;
}
}
//把入度为0的顶点入栈
for (i = 0; i != this->vexnum; i++) {
if (!indegree[i]) {
s.push(i);
}
}
//count用于计算输出的顶点个数
int count=0;
while (!s.empty()) {//如果栈为空,则结束循环
i = s.top();
s.pop();//保存栈顶元素,并且栈顶元素出栈
cout << this->arc[i].data<<" ";//输出拓扑序列
temp = this->arc[i].firstarc;
while (temp) {
if (!(--this->indegree[temp->adjvex])) {//如果入度减少到为0,则入栈
s.push(temp->adjvex);
}
temp = temp->next;
}
++count;
}
if (count == this->vexnum) {
cout << endl;
return true;
}
cout << "此图有环,无拓扑序列" << endl;
return false;//说明这个图有环
}
bool Graph_DG::topological_sort_by_dfs() {
stack<string> result;
int i;
bool * visit = new bool[this->vexnum];
//初始化我们的visit数组
memset(visit, 0, this->vexnum);
cout << "基于DFS的拓扑排序为:" << endl;
//开始执行DFS算法
for (i = 0; i < this->vexnum; i++) {
if (!visit[i]) {
dfs(i, visit, result);
}
}
//输出拓扑序列,因为我们每次都是找到了出度为0的顶点加入栈中,
//所以输出时其实就要逆序输出,这样就是每次都是输出入度为0的顶点
for (i = 0; i < this->vexnum; i++) {
cout << result.top() << " ";
result.pop();
}
cout << endl;
return true;
}
void Graph_DG::dfs(int n, bool * & visit, stack<string> & result) {
visit[n] = true;
ArcNode * temp = this->arc[n].firstarc;
while (temp) {
if (!visit[temp->adjvex]) {
dfs(temp->adjvex, visit,result);
}
temp = temp->next;
}
//由于加入顶点到集合中的时机是在dfs方法即将退出之时,
//而dfs方法本身是个递归方法,
//仅仅要当前顶点还存在边指向其他不论什么顶点,
//它就会递归调用dfs方法,而不会退出。
//因此,退出dfs方法,意味着当前顶点没有指向其他顶点的边了
//,即当前顶点是一条路径上的最后一个顶点。
//换句话说其实就是此时该顶点出度为0了
result.push(this->arc[n].data);
}
main.cpp文件:
#include"topological_sort.h"
//检验输入边数和顶点数的值是否有效,可以自己推算为啥:
//顶点数和边数的关系是:((Vexnum*(Vexnum - 1)) / 2) < edge
bool check(int Vexnum, int edge) {
if (Vexnum <= 0 || edge <= 0 || ((Vexnum*(Vexnum - 1)) / 2) < edge)
return false;
return true;
}
int main() {
int vexnum; int edge;
cout << "输入图的顶点个数和边的条数:" << endl;
cin >> vexnum >> edge;
while (!check(vexnum, edge)) {
cout << "输入的数值不合法,请重新输入" << endl;
cin >> vexnum >> edge;
}
Graph_DG graph(vexnum, edge);
graph.createGraph();
graph.print();
graph.topological_sort();
graph.topological_sort_by_dfs();
system("pause");
return 0;
}
输入:
6 8
1 2
1 3
1 4
3 2
3 5
4 5
6 4
6 5
输出:

输入:
13 15
1 2
1 6
1 7
3 1
3 4
4 6
6 5
7 4
7 10
8 7
9 8
10 11
10 12
10 13
12 13
输出:

以上就是详解C++实现拓扑排序算法的详细内容,更多关于C++ 拓扑排序算法的资料请关注靠谱客其它相关文章!
最后
以上就是傻傻烧鹅最近收集整理的关于详解C++实现拓扑排序算法的全部内容,更多相关详解C++实现拓扑排序算法内容请搜索靠谱客的其他文章。
发表评论 取消回复