前言
最近做项目时,使用 R语言对一些数据做回归计算,分析数据时,想查看这堆数据的相关性,得知R-squared可以得到我想要的信息,但是在打印线性关系式时,看到了R-squared,Adjust R-squared 这两个参数,有点疑惑,上网也查看了一部分资料,最后,发现有两道题可以很明白解释这两个参数,如下:
题一
如果在线性回归模型中增加一个特征变量,下列可能发生的是(多选)?
A. R-squared 增大,Adjust R-squared 增大
B. R-squared 增大,Adjust R-squared 减小
C. R-squared 减小,Adjust R-squared 减小
D. R-squared 减小,Adjust R-squared 增大
答案:AB
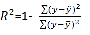
**解析:**线性回归问题中,R-Squared 是用来衡量回归方程与真实样本输出之间的相似程度。其表达式如下所示

上式中,分子部分表示真实值与预测值的平方差之和,类似于均方差 MSE;分母部分表示真实值与均值的平方差之和,类似于方差 Var。一般来说,R-Squared 越大,表示模型拟合效果越好。R-Squared 反映的是大概有多准,因为,随着样本数量的增加,R-Squared 必然增加,无法真正定量说明准确程度,只能大概定量。
单独看 R-Squared,并不能推断出增加的特征是否有意义。通常来说,增加一个特征特征,R-Squared 可能变大也可能保持不变,两者不一定呈正相关。
如果使用校正决定系数(Adjusted R-Squared):

其中,n 是样本数量,p 是特征数量。Adjusted R-Squared 抵消样本数量对 R-Squared 的影响,做到了真正的 0~1,越大越好。
增加一个特征变量,如果这个特征有意义,Adjusted R-Square 就会增大,若这个特征是冗余特征,Adjusted R-Squared 就会减小。
题二
在一个线性回归问题中,我们使用 R 平方(R-Squared)来判断拟合度。此时,如果增加一个特征,模型不变,则下面说法正确的是?
A. 如果 R-Squared 增加,则这个特征有意义
B. 如果R-Squared 减小,则这个特征没有意义
C. 仅看 R-Squared 单一变量,无法确定这个特征是否有意义。
D. 以上说法都不对
答案:C
解析: 看题一解析
总结
到此这篇关于R语言中R-squared与Adjust R-squared参数解释的文章就介绍到这了,更多相关R语言 R-squared与Adjust R-squared内容请搜索靠谱客以前的文章或继续浏览下面的相关文章希望大家以后多多支持靠谱客!
最后
以上就是直率唇彩最近收集整理的关于R语言中R-squared与Adjust R-squared参数的解释的全部内容,更多相关R语言中R-squared与Adjust内容请搜索靠谱客的其他文章。
发表评论 取消回复