D2D通信技术是3GPP R14中对于V2X的主要推动技术。在这种情况下,UE既可以直接与基础设施通信也可以通过中介节点连接基础设施,UE还可以直接与设备进行通讯,无论基础设施支持与否。由于车辆的快速移动,蜂窝UE与车载UE对服务质量的要求不同,而资源分配就是根据不同的QoS为UE分配合适的资源。本文介绍了共享上行资源的用户的UE的三种类型:两种车辆UE和手持移动电话类型的UE。根据三种类型UE的QoS需求差异,计算出最优功率,并应用三维图匹配和基于超图的资源块分配方法
概要
本文从D2D的角度出发,在前面说了很多关于D2D的分类(带内/外,under/overlay)与资源分配方法(博弈论、图论、启发式)等。最主要的特点是将CUE(蜂窝用户设备)也考虑进了架构内。研究了指定子载波后V2V/V2I和CUE的功率分配和RB分配的问题,其中前者通过优化方法解决,后者通过图论解决。
本文以V2V的中断概率和CUE的SINR为限制条件,最大化V2I的容量。
CODE;A
结论
本文以基于D2D技术的V2V资源分配,以三种不同QoS要求的用户的网络场景为基础。提出了一个优化问题,目标是增加V2I链路的容量。在考虑蜂窝用户所需的最低QoS的情况下,对于V2V和V2I链路的最优功率进行了计算。在RB资源分配方面,使用基于超图的着色算法进行解决。此外,还研究了CUE的SINR对V2I容量的影响,以及增加V2V用户对V2I容量的影响。在基于D2D的V2V通信中,超出覆盖范围的场景和中继可能会在资源分配方面带来全新的挑战。
介绍
车载通信在过去一段时间里收到了研究领域的广泛关注。基于DSRC的 Vehicular Adhoc+82网络(VANETs)已经得到了深入的研究。随着LTE R12的问师,研究的重点已经转向了基于LTE的车载通信,即LTE V2X。LTE V2X是基于的D2D的近邻服务,是建立ITS和促进未来自动驾驶技术的基石。
D2D通信是V2X的支撑,在频谱效率、小区卸载、紧急通信、IoT增强方面都有很大应用。它不依赖基础设施,允许彼此接近的设备直接通信。D2D的工作模式分为带内(Inband)和带外(Outband)两种:其中Inband允许设备在授权的频谱中通信,但是蜂窝UE将作为主要用户而D2D UE是次要用户,因为Inband比较方便控制授权的频谱,它的应用比较广泛;Outband允许UE在未经许可的频谱中通信。此外,D2D的模式分类还可分为underlay和overlay两种,在Underlay通信中,D2D和蜂窝UE共同分享整个频谱,而Overlay通信中D2D和蜂窝的 UE各自单独占用信道的一部分。因此说Underlay比Overlay具有更好的频谱利用率。
对于基于D2D的V2X,根据不同的场景其应用会有不同。V2V主要用于安全服务,V2I和V2N分别用于娱乐服务和基于云的存储服务,V2P用于确保车辆附近的人的安全。对于D2D的研究,主要集中在资源分配、功率控制、干扰管理、安全性和peer发现上。虽然目前对于D2D资源分配的论文不少见,但基于车辆网络的D2D资源分配的论文还不多。由于车辆UE和蜂窝UE的QoS的不同,在资源分配的解决方案上会有诸多限制,其中车辆的移动性是主要问题,因为车辆移动行使BS跟踪CSI变得困难。
本文主要贡献如下:
- 提出了对于CUE(蜂窝用户)、V2V、V2I三者的资源分配方案,使用三位图论匹配的方法进行信道容量的计算。
- 使用基于超图着色的邻接矩阵,进行了RB的分配。
对于D2D资源管理的研究并不少见,[1]从优化的角度对D2D的资源管理技术进行了深入的回顾,并提出一种方法,首先识别问题和约束然后使用相应的优化技术加以解决,其提出了三种解决资源分配的主要方法:博弈论、图论、启发式方法(heuristic aproaches);[2]着眼于选择D2D和CUE之间的模式,提出一种多摩市的资源管理方法。
图论被应用于D2D的资源分配,[3、4]提出了干扰感知图;[5]利用图轮方法研究了功率和RB分配的问题。但是在传统的图论中,只能用边来表征联系,而边只能连接两个主题,因此不能对多用户之间的关系进行建模;[6]中提出一种基于超图的资源分配方法;[7]对基于D2D的V2V中无线资源管理进行了详细的分析。
[8]提出了基于D2D的具有延迟和可靠性约束的V2V通信,作者强调了车辆UE的需求,并提出一种独立的RB分配和功率控制的算法。[9]延续了8的工作,将延迟和可靠性的需求转化为优化问题的约束并使用SOLEN(独立RB与功率分配)算法加以解决。[10]根据车辆UE服务需求的不同,通过优化问题对D2D车辆通信的最优功率分配进行建模,它仅考虑缓慢变化的大尺度衰落;[11]在一个场景中引入了三种UE,分别用于单个CUE、安全性V2V通信、非安全性V2V通信中,其实用了基于超图和贪婪算法的三位匹配模型,提出一种基于局部搜索的V2X通信资源分配的三位匹配算法。[12]中给出了最大化遍历容量的功率与用户对联合优化算法。
近期结合图论的资源分配方法也不少见,超图是这些文章共有的重要工具据,大多数对于超图的研究还局限于二维问题,也就是网络中只有两种不同类型的UE。
本文将[10]中的功率分配算法扩展到三种用户类型的情况,并将[6]中的工作扩展到RB分配上,对于2-3种UE使用不同的SIR阈值。使用基于邻接矩阵的着色方案进行图着色。
网络架构和系统模型
网络架构
考虑基于LTE的V2X场景,其中VUE(车辆UE)与CUE(蜂窝UE)一起出现在网络中,并且共享可用的上行资源,假设VUE与CUE在需求和应用方面是不同的,因此需要对CUE有不同的配置。VUE分为V2V和V2I,分别用于安全类和非安全类应用。用j = {1,..., J}表示CUE的集合,k={1,..., K}表示VUE中V2I链路的集合,l={1, ... , L}表示VUE中V2V链路的集合。所有通信同时发生,发送端和接收端都为单天线,用X={1, ... , X}表示可用的上行RB集合。
【网络架构】
以单个eNB覆盖范围内的区域为研究对象,网络由一个基于D2D的V2V和一个传统蜂窝UE和一个V2I链路组成,如图1所示。三个用户在上行链路上互相干扰,虽然目前的工作大多数将CUE和V2I链路归为一类但本文不那样做,原因是V2I链路的移动性导致其遇到的大尺度衰落和CSI是延迟到达BS的,而CUE大多是在一个相对固定的位置并且移动非常缓慢,因此其主要受到小尺度衰落的影响。

图2展示了cell内UE的分布情况,CUE用红色表示,其散布在半斤500m的cell内,VUE穿越cell中心的在高速路上移动(用蓝、黑、紫表示)。

不同种类UE的需求
V2I链路的优化目标是高信道容量,因为从信息娱乐服务到交通相关服务都需要高的传输速率;V2V因为主要用于安全信息,因此其优化目标是可靠性。对于CUE,设置一个语音通话的最小SINR需求。此外,瞬时CSI对于CUE是可获得的,但在VUE的情况下,由于车辆的高移动性使CSI不可得,因此对于VUE的信道跟踪是比较困难的。信道的功率增益由大尺度和小尺度衰落参数决定,分别用g和alpha表示。表一展示了不同UE的需求,对于V2V,高可靠性意味着中断概率需要低于某个阈值;对于V2I,高速率代表着需要最大化其信道容量;对于CUE,需要SINR高于阈值以提供良好的语音服务。

系统和信道模型
BS来自CUE、V2V、V2I的接收SINR用式(1)~(3)表示,用x表示两个链路是否分配到同一个RB上。

表2展示了不同信道的功率增益。假设所有UE共用一个对数正态阴影分布。[16]中提出了车辆通信的信道模型。表3展示了三个种类UE的PL模型,其为具有不同阴影标准差的瑞利衰落信道。VUE中a和b的信道增益由4a表示,信道功率增益由PL和阴影决定(4b),其中为对数正态的阴影成分,l为发送端和接收端的距离,
为延迟成分。


RB分配方案
最大化信道容量的第一步是计算最优的功率分配。[10]中对V2I V2V用户的最优功率进行了评估,这里将其扩展为适用于三种UE的情况,这里假设CUE的最小需求SINR已知,并且将AWGN从SINR公式中去掉(这是因为已经推导出干扰比AWGN大得多)。
最优功率分配
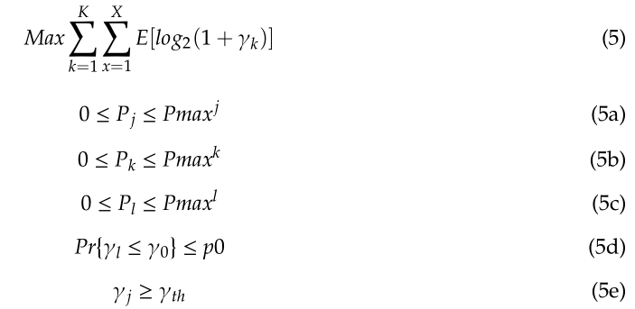
首先找到单V2VV2ICUE下的重用子载波的最优功率分配方法,即l号V2V链路与k号V2I链路和j号CUE共享频谱。为简单起见,去掉子载波的指数,重写公式如下:

上式的表示的是V2I链路的SINR,(5)式的Max正体现了对V2I链路的容量最大化的期望,(5d)体现了将V2V中断概率作为限制条件,(5e)体现了将CUE的SINR作为限制条件。
这里假设CUE所得到的SINR是其下限,因此可将(5e)改作:
(5f)并且
(5g)
起初,将(5g)中的Pk和Pl设置为Pk_max和Pl_max,进而得到P_j的数值。应用方程(5e)得到(6)式:

为简化对功率表达式的推导,假设干扰比加性噪声大得多,因此我们将从计算中省略,所以得到:
![]()
因此(6)式成为:

下面使用公式(7)和文献[10]中提出的引理1(对于两种UE的情况),将其扩展到三种UE的情况。
在过零点上,Pl >= 0,式(9)为:

式8的图示如下,未找到Pk和Pl的最优解,使用Newton-Raphson算法,图上红点表示最优点,当得到Pk和Pl的最优值后,这些值会被插入到(5g)中,整个过程不断重复知道得到所有三次幂的稳定值。


基于超图的匹配与RB分配
【使用超图进行匹配】
图G用G=(V, E)表示,其中V是顶点集,E是边集。在表征干扰的超图中,顶点表示UE,边表示UE之间的干扰。这里存在两种类型的干扰:独立干扰与积累干扰。独立干扰用普通图中的边表示,说明此边所连接的两个UE互相干扰,而积累干扰时由超边连接。当超图构建好以后,用不同的颜色对其着色,每种颜色标识一个RB。若CUE满足表4中的等式,则形成一条连接V2V和V2I的边。

为了分别找到独立和积累干扰,首先定义SIR(信干比),表4总结了用于构建一个图的所有等式。选择SIR阈值是为了去欸的那个eNB受到的干扰的严重程度。超边中的组的大小可能不同,举个例子如图4所示,在一个超边中考虑由三个节点构成的组。

第二步是对顶点进行着色,由于优化问题中的约束条件,所以该问题是非凸的,即np-hard问题。这里使用贪心着色算法,将RB分配给UE。
[11]中,提出了一种基于局部搜索的三维匹配方法,该方法利用超冲突图和基于k-claw的局部搜索的方法。[15]提出了一种基于图形的车载通信资源共享方法。针对高干扰的V2V用户提出了三位匹配的方案。瓷娃娃i,作者还考虑了慢衰信道状态信息(CSI)。比较了贪婪图、随机图、baseline的资源分配,但其仅考虑RB和两种UE。
本文对三种不同类型的UE使用三维匹配法,首先创建一个邻接矩阵,这个矩阵是一个用于在三种UE中寻找共享资源块的加权三维矩阵,其中每个RB不会分配给相同类型UE第二次。图5a是邻接矩阵的可视化,黑色放个表示相同种类的UE不能占用一个RB。我们将这个邻接矩阵为指标矩阵W。这个矩阵将会和速率矩阵R相乘。与[11]不同,我们已经在上一节得到了最优功率,并用它来计算速率矩阵R。R与W的相乘将得到所有可能的速率。
【通过给图着色分配RB】
本节使用邻接矩阵对图着色。图5显示了邻接矩阵即独立干扰。全黑区域表示相同类型的UE对彼此造成的独立干扰,黑白区域表示用户可以是另一种类型用户的独立干扰源,也可以对另一种用户不造成干扰。作为独立干扰源的用户通过一条边相互连接,并分配不同颜色,如图5b所示。这确保了用户永远部分共享相同的颜色(RB)。图的构建是动态的,这说明他在每次迭代中都随着车辆的移动而变化。
仿真结果
本文目标是调查V2I在不同条件集下的容量。仿真通过MATLAB。首先考虑车辆的速度和容量,然后增加V2V用户数并记录信道荣拉你个。最后检查最优功率分配是否会得到最优的信道容量。表5给出了仿真参数。起初每个类别有20个用户,后来添加了V2V用户的数量。

【不同CUR的SINR下 车辆速度对信道容量的影响】

如上图,当CUE的SINR阈值不同时,V2I信道容量不同,阈值越大V2I容量越小,这是因为CUE对V2I的干扰变大了。

如上图是CUE数量不同时V2I信道容量的变化,如图可见CUE数量的增加对V2I容量几乎没变化,这是因为CUE用户随机分布在蜂窝中, 其中靠近高速公路的用户对V2I的干扰大。

如上图,是V2V用户不同时对V2I容量的影响,其影响很大。这是因为V2V与V2I的通信发生在同一高速公路上,因此当V2V数量增多时,V2I的容量将降低。该影响在速度块时更加明显,这是由于车辆高速行驶时信道增益变化造成的。

如上图,速度变化时,V2I发射功率和信道容量的关系。增加发射功率可以增大信噪比,进而获得更大的信道容量,但是来自其他用户的干扰也会更大,上图可以看到23dB和20dB信道容量的差别不大。因此功率和干扰之间需要权衡
展望
基于D2D的V2V通信中的资源分配受多个因素影响,网络的拓扑结构、网络中的用户类型、用于解决该问题的优化技术。
目前大多数研究是在一个BS覆盖范围内进行的,因此不同BS覆盖范围之间的切换还有待研究。网络的拓扑结构和用户的QoS需求导致优化问题的约束条件不同,对于优化问题的解法从匹配理论[18]到基于机器学习的算法[19,20]都有很多,[21]提出了一个混合资源分配的结构,其中C-V2X和IEEE 802.11P的协同时未来研究的一个点。
最后
以上就是玩命中心最近收集整理的关于[论文笔记]Three-Dimensional Resource Allocation in D2D-Based V2V Communication概要结论介绍网络架构和系统模型RB分配方案仿真结果展望的全部内容,更多相关[论文笔记]Three-Dimensional内容请搜索靠谱客的其他文章。

发表评论 取消回复