实现简单的三层神经网络





在第2层到输出层用的激活函数和之前的隐藏层有所不同,之前的隐藏层使用的是sigmoid函数,我们定义了identity_function()函数(也称为“恒等函数”),并将其作为输出层的激活函数。恒等函数会将输入原样输出。此外输出层的激活函数用σ() 表示,不同于隐藏层的激活函数h(x)。

对于输出层所用的激活函数,回归问题可以用恒等函数,二元分类问题可以使用sigmoid函数,多元分类问题可以使用softmax函数。
何为回归问题?
回归问题是根据某个输入预测一个(连续的)数值的问题。比如,根据一个人的图像预测这个人的体重的问题就是回归问题。
# 教材p63 手动实现3层的神经网络
import numpy as np
# 从sigmoid.py文件中导入sigmoid函数
from sigmoid import sigmoid
def identity_function(x):
return x
# init_network()函数用于对每一层权重和偏置进行初始化,并将它们保存在字典变量network中
def init_network():
network = {}
network['W1'] = np.array([[0.1, 0.3, 0.5], [0.2, 0.4, 0.6]])
network['b1'] = np.array([0.1, 0.2, 0.3])
network['W2'] = np.array([[0.1, 0.4], [0.2, 0.5], [0.3, 0.6]])
network['b2'] = np.array([0.1, 0.2])
network['W3'] = np.array([[0.1, 0.3], [0.2, 0.4]])
network['b3'] = np.array([0.1, 0.2])
return network
# forward()函数用于封装将输入信号转换为输出信号的处理过程
def forward(network, x):
W1, W2, W3 = network['W1'], network['W2'], network['W3']
b1, b2, b3 = network['b1'], network['b2'], network['b3']
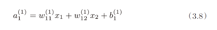
a1 = np.dot(x, W1) + b1
z1 = sigmoid(a1)
a2 = np.dot(z1, W2) + b2
z2 = sigmoid(a2)
a3 = np.dot(z2, W3) + b3
y = identity_function(a3)
return y
network = init_network()
x = np.array([1.0, 0.5])
y = forward(network, x)
print(y)
恒等函数和softmax函数
恒等函数会将输入按照原样输出,上面的代码中使用的就是恒等函数。
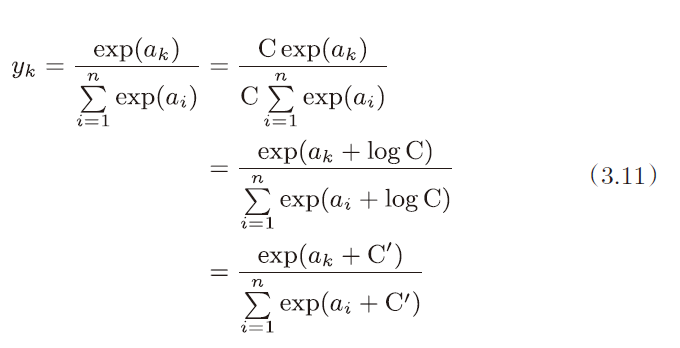
softmax函数公式如下

为了解决溢出问题,可以对(3.10)做出以下改进

def softmax(a):
c = np.max(a)
exp_a = np.exp(a - c) # 溢出对策
sum_exp_a = np.sum(exp_a)
y = exp_a / sum_exp_a
return y
最后
以上就是苹果高跟鞋最近收集整理的关于实现3层神经网络实现简单的三层神经网络恒等函数和softmax函数的全部内容,更多相关实现3层神经网络实现简单内容请搜索靠谱客的其他文章。
本图文内容来源于网友提供,作为学习参考使用,或来自网络收集整理,版权属于原作者所有。
发表评论 取消回复