题目
题目描述
在瑞神大战宇宙射线中我们了解到了宇宙狗的厉害之处,虽然宇宙狗凶神恶煞,但是宇宙狗有一 个很可爱的女朋友。
最近,他的女朋友得到了一些数,同时,她还很喜欢树,所以她打算把得到的数拼成一颗树。
这一天,她快拼完了,同时她和好友相约假期出去玩。贪吃的宇宙狗不小心把树的树枝都吃掉 了。所以恐惧包围了宇宙狗,他现在要恢复整棵树,但是它只知道这棵树是一颗二叉搜索树,同 时任意树边相连的两个节点的gcd(greatest common divisor)都超过1。
但是宇宙狗只会发射宇宙射线,他来请求你的帮助,问你能否帮他解决这个问题。
补充知识:
GCD:最大公约数,两个或多个整数共有约数中最大的一个 ,例如8和6的最大公约数是2。
一个简短的用辗转相除法求gcd的例子:
int gcd(int a,int b){return b == 0 ? a : gcd(b,a%b);}
输入描述
输入第一行一个t,表示数据组数。
对于每组数据,第一行输入一个n,表示数的个数
接下来一行有n个数 a i a_i ai,输入保证是升序的。
输出描述
每组数据输出一行,如果能够造出来满足题目描述的树,输出Yes,否则输出No。
无行末空格。
样例输入1
1 6 3 6 9 18 36 108
样例输出1
Yes
样例输入2
2 2 7 17 9 4 8 10 12 15 18 33 44 81
样例输出2
No Yes
样例解释
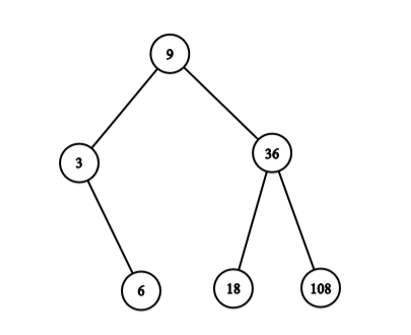
样例1可构造如下图
题目大意
本题给出若干组数据。对于每组数据,给出的数字升序排列,询问这些数字是否可以构成一棵二叉搜索树,并且任意一条数边相连的两个节点数字的最大公约数大于1。如果满足上述条件输出“Yes”,否则输出“No”。
解题思路
本题解决思路与动态规划的思想十分相似,总的来说就是用一个函数 sol (l, now, r) 来判断区间a[l+1]到a[r+1]这一区间内的以now做根节点now左侧为左子树,右侧为右子树是否可以满足要求。这里可以通过递归方法来实现,具体递归部分就是 sol (l, i, now) 和 sol (now, i, r) ,二者均返回true说明该区间满足条件。下面放出递归左子树的部分便于理解:
int flag = false;
if (l == now - 1) flag = true;
for (int i = l + 1; i < now; i++)
{
if (getgcd[i][now] > 1)
{
if(sol(l, i, now)) flag = true;
}
}
flag_l[l + 1][now + 1] = true;
ans_l[l + 1][now + 1] = flag;
本题中为了简化时间复杂度,可以提前记录下区间范围内是否满足条件,这里用两个数组 flag_l[705][705] 和 flag_r[705][705] 来表示区间 l+1~now+1 和区间 now+1~r+1 是否检查过,ans_l[705][705] 和 ans_r[705][705] 表示对应区间是否满足条件。递归过程中如果发现某段区间已经检查过,可以直接引用结果,免去重复计算过程。
本次题目的解答我也是参照了其他同学的博客,这里附上链接:解题思路参考
具体代码
#include<iostream>
#include<cstring>
#include<cstdio>
#include<string>
#include<algorithm>
#include<cmath>
#include<cstdlib>
#include<iomanip>
#include <map>
#define ll long long
#define MAXN 105
using namespace std;
int a[705];
int getgcd[705][705];
bool flag_l[705][705];
bool flag_r[705][705];
bool ans_l[705][705];
bool ans_r[705][705];
int t,n;
int gcd(int a, int b) { return b == 0 ? a : gcd(b, a % b); }
bool sol(int l, int now, int r)
{
if (flag_l[l + 1][now + 1] && flag_r[now + 1][r + 1])
{
return (ans_l[l + 1][now + 1] && ans_r[now+1][r + 1]);
}
if (l >= now - 1 && r <= now + 1)
{
return true;
}
if(!flag_l[l + 1][now + 1])
{
int flag = false;
if (l == now - 1) flag = true;
for (int i = l + 1; i < now; i++)
{
if (getgcd[i][now] > 1)
{
if(sol(l, i, now)) flag = true;
}
}
flag_l[l + 1][now + 1] = true;
ans_l[l + 1][now + 1] = flag;
}
if(!flag_r[now + 1][r + 1])
{
int flag = false;
if (now == r - 1) flag = true;
for (int i = now + 1; i < r; i++)
{
if (getgcd[now][i] > 1)
{
if(sol(now, i, r)) flag = true;
}
}
flag_r[now + 1][r + 1] = true;
ans_r[now + 1][r + 1] = flag;
}
return (ans_l[l + 1][now + 1] && ans_r[now + 1][r + 1]);
}
int main()
{
cin >> t;
while(t--)
{
memset(flag_l,0,sizeof(flag_l));
memset(flag_r,0,sizeof(flag_r));
memset(ans_l,0,sizeof(ans_l));
memset(ans_r,0,sizeof(ans_r));
cin >> n;
for(int i = 0; i < n; i++) cin >> a[i];
for(int i = 0; i < n; i++)
{
for(int j = i; j < n; j++)
{
getgcd[i][j] = gcd(a[i],a[j]);
getgcd[j][i] = getgcd[i][j];
}
}
int ans = 0;
for(int i = 0; i < n; i++)
{
if(ans) break;
if(sol(-1,i,n)) ans = 1;
}
if(ans) cout << "Yes" << endl;
else cout << "No" << endl;
}
return 0;
}
最后
以上就是现代戒指最近收集整理的关于【宇宙狗的危机】CSP模测T4的全部内容,更多相关【宇宙狗内容请搜索靠谱客的其他文章。


发表评论 取消回复