文章目录
- 题意
- 题解
题意
令
k
=
∑
i
=
1
m
ϕ
(
n
×
i
)
m
o
d
1
0
9
+
7
k=sum_{i=1}^{m}phi(ntimes i) mod 10^9+7
k=∑i=1mϕ(n×i) mod 109+7,求
k
k
k
k
k
k
.
.
.
.
.
.
m
o
d
p
k^{k^{k^{k^{k^k......}}}} mod p
kkkkkk...... mod p.
n
,
m
,
p
≤
1
0
7
n,m,pleq 10^7
n,m,p≤107.
题解
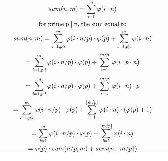
首先计算
k
k
k.根据下面的公式可以得到递归公式.

function<ll(ll,ll)> dfs=[&](ll n,ll m) {
return !m?0:n==1?sum[m]:(phi[p[n]]*dfs(n/p[n],m)%mod+dfs(n,m/p[n]))%mod;
};
在这之前用线性筛欧拉函数辅助便可完成,其中
p
n
p_n
pn表示
n
n
n最小的质因子,可以在线性筛中顺便完成.
接下来计算模
p
p
p的余数.
由欧拉降幂公式可知,假设原式为
a
n
s
ans
ans,则
a
n
s
ans
ans无限大,因此在
g
c
d
(
k
,
p
)
≠
1
gcd(k,p)neq1
gcd(k,p)=1时,一定满足
b
>
ϕ
(
p
)
b>phi(p)
b>ϕ(p)的条件,从而原式
=
k
a
n
s
m
o
d
ϕ
(
p
)
+
ϕ
(
p
)
m
o
d
p
=k^{ans mod phi(p)+phi(p)} mod p
=kans mod ϕ(p)+ϕ(p) mod p.
而对于
k
,
p
k,p
k,p互质的情况,再加一遍
ϕ
(
p
)
phi(p)
ϕ(p)不影响答案,因此全部的情况都可以转化为一种可能.
那么我们采用递归的方法.
对于上面的
a
n
s
m
o
d
ϕ
(
p
)
ans mod phi(p)
ans mod ϕ(p),再取出一个
k
k
k,那么模数变成
ϕ
(
ϕ
(
p
)
)
phi(phi(p))
ϕ(ϕ(p)),反复嵌套欧拉函数之后不超过
l
o
g
(
p
)
log(p)
log(p)次模数就会变成
1
1
1.
再嵌套一次快速幂,我们就解决了这题.
#include<bits/stdc++.h> //Ithea Myse Valgulious
using namespace std;
const int yuzu=1e7,mod=1e9+7;
typedef int fuko[yuzu|10];
fuko p,pr,phi,id,sum;
int main() {
auto gphi=[&](int n) {
int i,j;
p[1]=phi[1]=1;
for (i=2;i<=n;++i) {
if (!p[i]) pr[++*pr]=p[i]=i,phi[i]=i-1;
for (j=1;j<=*pr&&pr[j]*i<=n;++j) {
p[pr[j]*i]=pr[j];
if (i%pr[j]==0) {
phi[pr[j]*i]=pr[j]*phi[i];
break;
}
phi[pr[j]*i]=(pr[j]-1)*phi[i];
}
}
for (i=1;i<=n;++i) sum[i]=(sum[i-1]+phi[i])%mod;
return;
};
function<ll(ll,ll)> dfs=[&](ll n,ll m) {
return !m?0:n==1?sum[m]:(phi[p[n]]*dfs(n/p[n],m)%mod+dfs(n,m/p[n]))%mod;
};
auto kasumi=[&](ll a,ll b,ll p) {
ll zw=1;
for (;b;b>>=1,a=a*a%p) if (b&1) zw=zw*a%p;
return zw;
};
function<ll(ll,ll)> cal=[&](ll n,ll p) {
return p==1?1:kasumi(n,cal(n,phi[p])+phi[p],p);
};
gphi(yuzu);
ll n,m,p,k;
for (;read(n),read(m),read(p);) {
k=dfs(n,m);
printf("%lldn",cal(k,p)%p);
}
}
最后
以上就是妩媚西牛最近收集整理的关于HDU 5728 PowMod 欧拉函数公式推导+欧拉降幂的全部内容,更多相关HDU内容请搜索靠谱客的其他文章。
发表评论 取消回复