目录
一、KNN的介绍和应用
二、代码实战
(一)knn分类
(二)鸢尾花--knn分类
(三)模拟数据集——knn回归
(四)马绞痛数据--kNN数据预处理+kNN分类pipeline
三、KNN原理介绍
一、KNN的介绍和应用
1.1 KNN的介绍
kNN(k-nearest neighbors),中文翻译K近邻。我们常常听到一个故事:如果要了解一个人的经济水平,只需要知道他最好的5个朋友的经济能力,对他的这五个人的经济水平求平均就是这个人的经济水平。这句话里面就包含着kNN的算法思想。

示例 :如上图,绿色圆要被决定赋予哪个类,是红色三角形还是蓝色四方形?如果K=3,由于红色三角形所占比例为2/3,绿色圆将被赋予红色三角形那个类,如果K=5,由于蓝色四方形比例为3/5,因此绿色圆被赋予蓝色四方形类。
1) KNN建立过程
1 给定测试样本,计算它与训练集中的每一个样本的距离。
2 找出距离近期的K个训练样本。作为测试样本的近邻。
3 依据这K个近邻归属的类别来确定样本的类别。
2) 类别的判定
①投票决定,少数服从多数。取类别最多的为测试样本类别。
②加权投票法,依据计算得出距离的远近,对近邻的投票进行加权,距离越近则权重越大,设定权重为距离平方的倒数。
1.2 KNN的应用
KNN虽然很简单,但是人们常说"大道至简",一句"物以类聚,人以群分"就能揭开其面纱,看似简单的KNN即能做分类又能做回归,还能用来做数据预处理的缺失值填充。由于KNN模型具有很好的解释性,一般情况下对于简单的机器学习问题,我们可以使用KNN作为Baseline,对于每一个预测结果,我们可以很好的进行解释。推荐系统的中,也有着KNN的影子。例如文章推荐系统中,对于一个用户A,我们可以把和A最相近的k个用户,浏览过的文章推送给A。
机器学习领域中,数据往往很重要,有句话叫做:"数据决定任务的上限, 模型的目标是无限接近这个上限"。可以看到好的数据非常重要,但是由于各种原因,我们得到的数据是有缺失的,如果我们能够很好的填充这些缺失值,就能够得到更好的数据,以至于训练出来更鲁棒的模型。接下来我们就来看看KNN如果做分类,怎么做回归以及怎么填充空值。
二、代码实战
目标
- 了解KNN怎么做分类问题
- 了解KNN如何做回归
- 了解KNN怎么做空值填充, 如何使用knn构建带有空值的pipeline
(一)knn分类
# 1、库函数导入
import numpy as np
import matplotlib.pyplot as plt
from matplotlib.colors import ListedColormap
from sklearn.neighbors import KNeighborsClassifier
from sklearn import datasets
# 2、数据导入
# 使用莺尾花数据集的前两维数据,便于数据可视化
iris = datasets.load_iris()
X = iris.data[:, :2]
y = iris.target
# 3、模型训练&可视化
k_list = [1, 3, 5, 8, 10, 15]
h = 0.02
# 创建不同颜色的画布
cmap_light = ListedColormap(['orange', 'cyan', 'cornflowerblue'])
cmap_bold = ListedColormap(['darkorange', 'c', 'darkblue'])
plt.figure(figsize=(15,14))
# 根据不同的k值进行可视化
for ind,k in enumerate(k_list):
clf = KNeighborsClassifier(k)
clf.fit(X, y)
# 画出决策边界
x_min, x_max = X[:, 0].min() - 1, X[:, 0].max() + 1
y_min, y_max = X[:, 1].min() - 1, X[:, 1].max() + 1
#这里的xx和yy是二维坐标矩阵
xx, yy = np.meshgrid(np.arange(x_min, x_max, h),np.arange(y_min, y_max, h))
#展平成一个一维数组。对很多点进行一个预测。
#这里的Z是一个类别数值
Z = clf.predict(np.c_[xx.ravel(), yy.ravel()])
# 根据边界填充颜色
Z = Z.reshape(xx.shape)
#子图为三行两列。ind为索引,此处表示图所在的位置顺序
plt.subplot(321+ind)
#利用plt.pcolormesh来绘制分类图
#plt.pcolormesh()会根据y_predict的结果自动在cmap里选择颜色
#Z是预测值,二维矩阵
plt.pcolormesh(xx, yy, Z, cmap=cmap_light)
# 数据点可视化到画布
plt.scatter(X[:, 0], X[:, 1], c=y, cmap=cmap_bold,
edgecolor='k', s=20)
plt.xlim(xx.min(), xx.max())
plt.ylim(yy.min(), yy.max())
plt.title("3-Class classification (k = %i)"% k)
plt.show()

原理简析
如果选择较小的K值,就相当于用较小的领域中的训练实例进行预测,例如当k=1的时候,在分界点位置的数据很容易受到局部的影响,图中蓝色的部分中还有部分绿色块,主要是数据太局部敏感。当k=15的时候,不同的数据基本根据颜色分开,当时进行预测的时候,会直接落到对应的区域,模型相对更加鲁棒。
(二)鸢尾花--knn分类
# 1、库函数导入
import numpy as np
# 加载莺尾花数据集
from sklearn import datasets
# 导入KNN分类器
from sklearn.neighbors import KNeighborsClassifier
from sklearn.model_selection import train_test_split
# 2、数据导入&分析
# 导入莺尾花数据集
iris = datasets.load_iris()
X = iris.data
y = iris.target
# 得到训练集合和验证集合, 8: 2
X_train, X_test, y_train, y_test = train_test_split(X, y, test_size=0.2)
# 3、模型训练
# 这里我们设置参数k(n_neighbors)=5, 使用欧式距离(metric=minkowski & p=2)
#当p=1时,这等价于使用曼哈顿距离(L1),欧几里得距离(L2)等价于p=2时,对于任意的p,则使用Minkowski_距离(L_P)。
#metric:用于树的距离度量。默认度量是Minkowski,p=2等价于标准的欧几里德度量
clf = KNeighborsClassifier(n_neighbors=5, p=2, metric="minkowski")
# 训练模型
clf.fit(X_train, y_train)
生成的模型: KNeighborsClassifier(algorithm='auto', leaf_size=30, metric='minkowski',metric_params=None, n_jobs=1, n_neighbors=5, p=2,weights='uniform')
# 4、模型预测&可视化
# 预测
X_pred = clf.predict(X_test)
acc = sum(X_pred == y_test) / X_pred.shape[0]
print("预测的准确率ACC: %.3f" % acc)
预测的准确率ACC: 0.967
我们用表格来看一下KNN的训练和预测过程。这里用表格进行可视化:
- 训练数据[表格对应list]
feat_1 feat_2 feat_3 feat_4 label 5.1 3.5 1.4 0.2 0 4.9 3. 1.4 0.2 0 4.7 3.2 1.3 0.2 0 4.6 3.1 1.5 0.2 0 6.4 3.2 4.5 1.5 1 6.9 3.1 4.9 1.5 1 5.5 2.3 4. 1.3 1 6.5 2.8 4.6 1.5 1 5.8 2.7 5.1 1.9 2 7.1 3. 5.9 2.1 2 6.3 2.9 5.6 1.8 2 6.5 3. 5.8 2.2 2 - knn.fit(X, y)的过程可以简单认为是表格存储
3. knn.predict(x)预测过程会计算x和所有训练数据的距离 这里我们使用欧式距离进行计算, 预测过程如下
????=[5.,3.6,1.4,0.2]
????=0
step1: 计算x和所有训练数据的距离
| feat_1 | feat_2 | feat_3 | feat_4 | 距离 | label |
|---|---|---|---|---|---|
| 5.1 | 3.5 | 1.4 | 0.2 | 0.14142136 | 0 |
| 4.9 | 3. | 1.4 | 0.2 | 0.60827625 | 0 |
| 4.7 | 3.2 | 1.3 | 0.2 | 0.50990195 | 0 |
| 4.6 | 3.1 | 1.5 | 0.2 | 0.64807407 | 0 |
| 6.4 | 3.2 | 4.5 | 1.5 | 3.66333182 | 1 |
| 6.9 | 3.1 | 4.9 | 1.5 | 4.21900462 | 1 |
| 5.5 | 2.3 | 4. | 1.3 | 3.14801525 | 1 |
| 6.5 | 2.8 | 4.6 | 1.5 | 3.84967531 | 1 |
| 5.8 | 2.7 | 5.1 | 1.9 | 4.24617475 | 2 |
| 7.1 | 3. | 5.9 | 2.1 | 5.35070089 | 2 |
| 6.3 | 2.9 | 5.6 | 1.8 | 4.73075047 | 2 |
| 6.5 | 3. | 5.8 | 2.2 | 5.09607692 | 2 |
step2: 根据距离进行编号排序
| 距离升序编号 | feat_1 | feat_2 | feat_3 | feat_4 | 距离 | label |
|---|---|---|---|---|---|---|
| 1 | 5.1 | 3.5 | 1.4 | 0.2 | 0.14142136 | 0 |
| 3 | 4.9 | 3. | 1.4 | 0.2 | 0.60827625 | 0 |
| 2 | 4.7 | 3.2 | 1.3 | 0.2 | 0.50990195 | 0 |
| 4 | 4.6 | 3.1 | 1.5 | 0.2 | 0.64807407 | 0 |
| 6 | 6.4 | 3.2 | 4.5 | 1.5 | 3.66333182 | 1 |
| 8 | 6.9 | 3.1 | 4.9 | 1.5 | 4.21900462 | 1 |
| 5 | 5.5 | 2.3 | 4. | 1.3 | 3.14801525 | 1 |
| 7 | 6.5 | 2.8 | 4.6 | 1.5 | 3.84967531 | 1 |
| 9 | 5.8 | 2.7 | 5.1 | 1.9 | 4.24617475 | 2 |
| 12 | 7.1 | 3. | 5.9 | 2.1 | 5.35070089 | 2 |
| 10 | 6.3 | 2.9 | 5.6 | 1.8 | 4.73075047 | 2 |
| 11 | 6.5 | 3. | 5.8 | 2.2 | 5.09607692 | 2 |
step3: 我们设置k=5,选择距离最近的k个样本进行投票
| 距离升序编号 | feat_1 | feat_2 | feat_3 | feat_4 | 距离 | label |
|---|---|---|---|---|---|---|
| 1 | 5.1 | 3.5 | 1.4 | 0.2 | 0.14142136 | 0 |
| 3 | 4.9 | 3. | 1.4 | 0.2 | 0.60827625 | 0 |
| 2 | 4.7 | 3.2 | 1.3 | 0.2 | 0.50990195 | 0 |
| 4 | 4.6 | 3.1 | 1.5 | 0.2 | 0.64807407 | 0 |
| 6 | 6.4 | 3.2 | 4.5 | 1.5 | 3.66333182 | 1 |
| 8 | 6.9 | 3.1 | 4.9 | 1.5 | 4.21900462 | 1 |
| 5 | 5.5 | 2.3 | 4. | 1.3 | 3.14801525 | 1 |
| 7 | 6.5 | 2.8 | 4.6 | 1.5 | 3.84967531 | 1 |
| 9 | 5.8 | 2.7 | 5.1 | 1.9 | 4.24617475 | 2 |
| 12 | 7.1 | 3. | 5.9 | 2.1 | 5.35070089 | 2 |
| 10 | 6.3 | 2.9 | 5.6 | 1.8 | 4.73075047 | 2 |
| 11 | 6.5 | 3. | 5.8 | 2.2 | 5.09607692 | 2 |
step4: k近邻的label进行投票
nn_labels = [0, 0, 0, 0, 1] --> 得到最后的结果0。
(三)模拟数据集——knn回归
# 1、库函数导入
import numpy as np
import matplotlib.pyplot as plt
from sklearn.neighbors import KNeighborsRegressor
# 2、数据导入&分析
np.random.seed(0)
# 随机生成40个(0, 1)之间的数,乘以5,再进行升序
X = np.sort(5 * np.random.rand(40, 1), axis=0)
# 创建[0, 5]之间的500个数的等差数列, 作为测试数据
T = np.linspace(0, 5, 500)[:, np.newaxis]
# 使用sin函数得到y值,并拉伸到一维
y = np.sin(X).ravel()
# Add noise to targets[y值增加噪声]
y[::5] += 1 * (0.5 - np.random.rand(8))
# 3、模型训练&预测可视化
# Fit regression model
# 设置多个k近邻进行比较
n_neighbors = [1, 3, 5, 8, 10, 40]
# 设置图片大小
plt.figure(figsize=(10,20))
for i, k in enumerate(n_neighbors):
# 默认使用加权平均进行计算predictor
clf = KNeighborsRegressor(n_neighbors=k, p=2, metric="minkowski")
# 训练
clf.fit(X, y)
# 预测
y_ = clf.predict(T)
plt.subplot(6, 1, i + 1)
plt.scatter(X, y, color='red', label='data')
plt.plot(T, y_, color='navy', label='prediction')
plt.axis('tight')
plt.legend()
plt.title("KNeighborsRegressor (k = %i)" % (k))
# tight_layout会自动调整子图参数,使之填充整个图像区域
plt.tight_layout()
plt.show()

4、模型分析
当k=1时,预测的结果只和最近的一个训练样本相关,从预测曲线中可以看出当k很小时候很容易发生过拟合。
当k=40时,预测的结果和最近的40个样本相关,因为我们只有40个样本,此时是所有样本的平均值,此时所有预测值都是均值,很容易发生欠拟合。
一般情况下,使用knn的时候,根据数据规模我们会从[3, 20]之间进行尝试,选择最好的k,例如上图中的[3, 10]相对1和40都是还不错的选择。
(四)马绞痛数据--kNN数据预处理+kNN分类pipeline
# 下载需要用到的数据集
!wget https://tianchi-media.oss-cn-beijing.aliyuncs.com/DSW/3K/horse-colic.csv
--2021-01-02 11:40:36-- https://tianchi-media.oss-cn-beijing.aliyuncs.com/DSW/3K/horse-colic.csv Resolving tianchi-media.oss-cn-beijing.aliyuncs.com (tianchi-media.oss-cn-beijing.aliyuncs.com)... 47.95.85.21 Connecting to tianchi-media.oss-cn-beijing.aliyuncs.com (tianchi-media.oss-cn-beijing.aliyuncs.com)|47.95.85.21|:443... connected. HTTP request sent, awaiting response... 200 OK Length: 25151 (25K) [text/csv] Saving to: ‘horse-colic.csv’ 100%[======================================>] 25,151 --.-K/s in 0.02s 2021-01-02 11:40:36 (1.07 MB/s) - ‘horse-colic.csv’ saved [25151/25151]
# 下载数据集介绍
!wget https://tianchi-media.oss-cn-beijing.aliyuncs.com/DSW/3K/horse-colic.names
--2021-01-02 11:40:39-- https://tianchi-media.oss-cn-beijing.aliyuncs.com/DSW/3K/horse-colic.names Resolving tianchi-media.oss-cn-beijing.aliyuncs.com (tianchi-media.oss-cn-beijing.aliyuncs.com)... 47.95.85.21 Connecting to tianchi-media.oss-cn-beijing.aliyuncs.com (tianchi-media.oss-cn-beijing.aliyuncs.com)|47.95.85.21|:443... connected. HTTP request sent, awaiting response... 200 OK Length: 9011 (8.8K) [application/octet-stream] Saving to: ‘horse-colic.names’ 100%[======================================>] 9,011 --.-K/s in 0s 2021-01-02 11:40:39 (52.7 MB/s) - ‘horse-colic.names’ saved [9011/9011]
# 1、库函数导入
import numpy as np
import pandas as pd
# kNN分类器
from sklearn.neighbors import KNeighborsClassifier
# kNN数据空值填充
from sklearn.impute import KNNImputer
# 计算带有空值的欧式距离
from sklearn.metrics.pairwise import nan_euclidean_distances
# 交叉验证
from sklearn.model_selection import cross_val_score
# KFlod的函数
from sklearn.model_selection import RepeatedStratifiedKFold
from sklearn.pipeline import Pipeline
import matplotlib.pyplot as plt
from sklearn.model_selection import train_test_split
2、数据导入&分析
2,1,530101,38.50,66,28,3,3,?,2,5,4,4,?,?,?,3,5,45.00,8.40,?,?,2,2,11300,00000,00000,2
1,1,534817,39.2,88,20,?,?,4,1,3,4,2,?,?,?,4,2,50,85,2,2,3,2,02208,00000,00000,2
2,1,530334,38.30,40,24,1,1,3,1,3,3,1,?,?,?,1,1,33.00,6.70,?,?,1,2,00000,00000,00000,1
1,9,5290409,39.10,164,84,4,1,6,2,2,4,4,1,2,5.00,3,?,48.00,7.20,3,5.30,2,1,02208,00000,00000,1
2,1,530255,37.30,104,35,?,?,6,2,?,?,?,?,?,?,?,?,74.00,7.40,?,?,2,2,04300,00000,00000,2
......
数据集介绍:horse-colic.names
数据中的'?'表示空值,如果我们使用KNN分类器,'?'不能数值,不能进行计算,因此我们需要进行数据预处理对空值进行填充。
这里我们使用KNNImputer进行空值填充,KNNImputer填充的原理很简单,计算每个样本最近的k个样本,进行空值填充。
我们先来看下KNNImputer的运行原理:
3、KNNImputer空值填充--使用和原理介绍
X = [[1, 2, np.nan], [3, 4, 3], [np.nan, 6, 5], [8, 8, 7]]
imputer = KNNImputer(n_neighbors=2, metric='nan_euclidean')
imputer.fit_transform(X)
array([[1. , 2. , 4. ],
[3. , 4. , 3. ],
[5.5, 6. , 5. ],
[8. , 8. , 7. ]])
带有空值的欧式距离计算公式
nan_euclidean_distances([[np.nan, 6, 5], [3, 4, 3]], [[3, 4, 3], [1, 2, np.nan], [8, 8, 7]])
array([[3.46410162, 6.92820323, 3.46410162], [0. , 3.46410162, 7.54983444]])
4、 KNNImputer空值填充--欧式距离的计算
样本[1, 2, np.nan] 最近的2个样本是: [3, 4, 3] [np.nan, 6, 5], 计算距离的时候使用欧式距离,只关注非空样本。 [1, 2, np.nan] 填充之后得到 [1, 2, (3 + 5) / 2] = [1, 2, 4]
正常的欧式距离
带有空值的欧式聚类
表格中距离度量使用的是带有空值欧式距离计算相似度,使用简单的加权平均进行填充。
| 带有空值的样本 | 最相近的样本1 | 最相近的样本2 | 填充之后的值 |
|---|---|---|---|
| [1, 2, np.nan] | [3, 4, 3]; 3.46 | [np.nan, 6, 5]; 6.93 | [1, 2, 4] |
| [np.nan, 6, 5] | [3, 4, 3]; 3.46 | [8, 8, 7]; 3.46 | [5.5, 6, 5] |
# load dataset, 将?变成空值
input_file = './horse-colic.csv'
df_data = pd.read_csv(input_file, header=None, na_values='?')
# 得到训练数据和label, 第23列表示是否发生病变, 1: 表示Yes; 2: 表示No.
data = df_data.values
ix = [i for i in range(data.shape[1]) if i != 23]
X, y = data[:, ix], data[:, 23]
# 查看所有特征的缺失值个数和缺失率
for i in range(df_data.shape[1]):
n_miss = df_data[[i]].isnull().sum()
perc = n_miss / df_data.shape[0] * 100
if n_miss.values[0] > 0:
print('>Feat: %d, Missing: %d, Missing ratio: (%.2f%%)' % (i, n_miss, perc))
# 查看总的空值个数
print('KNNImputer before Missing: %d' % sum(np.isnan(X).flatten()))
# 定义 knnimputer
imputer = KNNImputer()
# 填充数据集中的空值
imputer.fit(X)
# 转换数据集
Xtrans = imputer.transform(X)
# 打印转化后的数据集的空值
print('KNNImputer after Missing: %d' % sum(np.isnan(Xtrans).flatten()))
>Feat: 0, Missing: 1, Missing ratio: (0.33%) >Feat: 3, Missing: 60, Missing ratio: (20.00%) >Feat: 4, Missing: 24, Missing ratio: (8.00%) >Feat: 5, Missing: 58, Missing ratio: (19.33%) >Feat: 6, Missing: 56, Missing ratio: (18.67%) >Feat: 7, Missing: 69, Missing ratio: (23.00%) >Feat: 8, Missing: 47, Missing ratio: (15.67%) >Feat: 9, Missing: 32, Missing ratio: (10.67%) >Feat: 10, Missing: 55, Missing ratio: (18.33%) >Feat: 11, Missing: 44, Missing ratio: (14.67%) >Feat: 12, Missing: 56, Missing ratio: (18.67%) >Feat: 13, Missing: 104, Missing ratio: (34.67%) >Feat: 14, Missing: 106, Missing ratio: (35.33%) >Feat: 15, Missing: 247, Missing ratio: (82.33%) >Feat: 16, Missing: 102, Missing ratio: (34.00%) >Feat: 17, Missing: 118, Missing ratio: (39.33%) >Feat: 18, Missing: 29, Missing ratio: (9.67%) >Feat: 19, Missing: 33, Missing ratio: (11.00%) >Feat: 20, Missing: 165, Missing ratio: (55.00%) >Feat: 21, Missing: 198, Missing ratio: (66.00%) >Feat: 22, Missing: 1, Missing ratio: (0.33%) KNNImputer before Missing: 1605 KNNImputer after Missing: 0
5、基于pipeline模型训练&可视化
什么是Pipeline, 我这里直接翻译成数据管道。任何有序的操作有可以看做pipeline,例如工厂流水线,对于机器学习模型来说,这就是数据流水线。 是指数据通过管道中的每一个节点,结果出了之后,继续流向下游。对于我们这个例子,数据是有空值,我们会有一个KNNImputer节点用来填充空值, 之后继续流向下一个kNN分类节点,最后输出模型。

results = list()
strategies = [str(i) for i in [1, 2, 3, 4, 5, 6, 7, 8, 9, 10, 15, 16, 18, 20, 21]]
for s in strategies:
# create the modeling pipeline
pipe = Pipeline(steps=[('imputer', KNNImputer(n_neighbors=int(s))), ('model', KNeighborsClassifier())])
# 数据多次随机划分取平均得分
scores = []
for k in range(20):
# 得到训练集合和验证集合, 8: 2
X_train, X_test, y_train, y_test = train_test_split(Xtrans, y, test_size=0.2)
pipe.fit(X_train, y_train)
# 验证model
score = pipe.score(X_test, y_test)
scores.append(score)
# 保存results
results.append(np.array(scores))
print('>k: %s, Acc Mean: %.3f, Std: %.3f' % (s, np.mean(scores), np.std(scores)))
# print(results)
# plot model performance for comparison
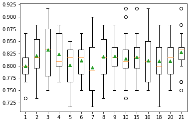
plt.boxplot(results, labels=strategies, showmeans=True)
plt.show()
>k: 1, Acc Mean: 0.800, Std: 0.031 >k: 2, Acc Mean: 0.821, Std: 0.041 >k: 3, Acc Mean: 0.833, Std: 0.053 >k: 4, Acc Mean: 0.824, Std: 0.037 >k: 5, Acc Mean: 0.802, Std: 0.038 >k: 6, Acc Mean: 0.811, Std: 0.030 >k: 7, Acc Mean: 0.797, Std: 0.056 >k: 8, Acc Mean: 0.819, Std: 0.044 >k: 9, Acc Mean: 0.820, Std: 0.032 >k: 10, Acc Mean: 0.815, Std: 0.046 >k: 15, Acc Mean: 0.818, Std: 0.037 >k: 16, Acc Mean: 0.811, Std: 0.048 >k: 18, Acc Mean: 0.809, Std: 0.043 >k: 20, Acc Mean: 0.810, Std: 0.038 >k: 21, Acc Mean: 0.828, Std: 0.038

6、结果分析
我们的实验是每个k值下,随机切分20次数据, 从上述的图片中, 根据k值的增加,我们的测试准确率会有先上升再下降再上升的过程。 [3, 5]之间是一个很好的取值,上文我们提到,k很小的时候会发生过拟合,k很大时候会发生欠拟合,当遇到第一下降节点,此时我们可以 简单认为不在发生过拟合,取当前的k值即可。
三、KNN原理介绍
k近邻方法是一种惰性学习算法,可以用于回归和分类,它的主要思想是投票机制,对于一个测试实例x, 我们在有标签的训练数据集上找到和最相近的k个数据,用他们的label进行投票,分类问题则进行表决投票,回归问题使用加权平均或者直接平均的方法。knn算法中我们最需要关注两个问题:k值的选择和距离的计算。 kNN中的k是一个超参数,需要我们进行指定,一般情况下这个k和数据有很大关系,都是交叉验证进行选择,但是建议使用交叉验证的时候,k∈[2,20],使用交叉验证得到一个很好的k值。
k值还可以表示我们的模型复杂度,当k值越小意味着模型复杂度变大,更容易过拟合,(用极少数的样例来绝对这个预测的结果,很容易产生偏见,这就是过拟合)。我们有这样一句话,k值越多学习的估计误差越小,但是学习的近似误差就会增大。
距离/相似度的计算:
样本之间的距离的计算,我们一般使用对于一般使用Lp距离进行计算。当p=1时候,称为曼哈顿距离(Manhattan distance),当p=2时候,称为欧氏距离(Euclidean distance),当p=∞时候,称为极大距离(infty distance), 表示各个坐标的距离最大值,另外也包含夹角余弦等方法。
一般采用欧式距离较多,但是文本分类则倾向于使用余弦来计算相似度。
对于两个向量,一般使用
距离进行计算。 假设特征空间X是n维实数向量空间
, 其中,
,
,
的
距离定义为:
- 这里的
. 当
时候,称为欧氏距离(Euclidean distance):
- > 当
时候,称为曼哈顿距离(Manhattan distance):
- > 当
时候,称为极大距离(infty distance), 表示各个坐标的距离最大值:
最后
以上就是耍酷跳跳糖最近收集整理的关于机器学习算法(三)K近邻(k-nearest neighbors)的全部内容,更多相关机器学习算法(三)K近邻(k-nearest内容请搜索靠谱客的其他文章。
发表评论 取消回复