题目链接:点击查看
题目大意:给出一棵有根树,树边都是有向边,再给出 k k k 个关系 ( x , y ) ( x , y ) (x,y),其意义是访问完点 x x x 后需要立即访问点 y y y,问是否存在一种合适的拓扑序
题目分析:因为题目说明了
k
k
k 个关系实际上也是一种绑定关系,在访问点
x
x
x 后需要立即访问点
y
y
y,所以不妨直接将点
y
y
y 与点
x
x
x 合并在一起,更具体的说,可以将
x
x
x 和
y
y
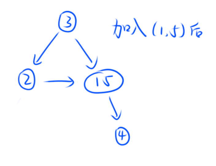
y 进行缩点,然后对缩点后的图进行拓扑,稍微画一下样例的图就能明白了:



剩下的注意一下细节直接实现就可以了,需要注意的是,
k
k
k 个关系可能会组成环,这些都是需要特判的
代码:
// #pragma GCC optimize(2)
// #pragma GCC optimize("Ofast","inline","-ffast-math")
// #pragma GCC target("avx,sse2,sse3,sse4,mmx")
#include<iostream>
#include<cstdio>
#include<string>
#include<ctime>
#include<cmath>
#include<cstring>
#include<algorithm>
#include<stack>
#include<climits>
#include<queue>
#include<map>
#include<set>
#include<sstream>
#include<cassert>
#include<bitset>
#include<unordered_map>
using namespace std;
typedef long long LL;
typedef unsigned long long ull;
const int inf=0x3f3f3f3f;
const int N=1e6+100;
int p[N],f[N],nt[N],c[N],ord[N],ban[N],du[N],id;
vector<int>node[N],dcc[N],ans;
int find(int x)
{
return f[x]==x?x:f[x]=find(f[x]);
}
void merge(int x,int y)//y->x
{
int xx=find(x),yy=find(y);
if(xx!=yy)
f[yy]=xx;
}
int topo(int st)
{
int cnt=0;
queue<int>q;
q.push(st);
while(q.size())
{
int u=q.front();
q.pop();
cnt++;
for(auto it:dcc[u])
ans.push_back(it);
for(auto v:node[u])
if(--du[v]==0)
q.push(v);
}
return cnt;
}
int main()
{
#ifndef ONLINE_JUDGE
// freopen("data.in.txt","r",stdin);
// freopen("data.out.txt","w",stdout);
#endif
// ios::sync_with_stdio(false);
int n,m,rt;
scanf("%d%d",&n,&m);
for(int i=1;i<=n;i++)
{
scanf("%d",p+i);
if(p[i]==0)
rt=i;
}
for(int i=1;i<=m;i++)//并查集缩点
{
int u,v;
scanf("%d%d",&u,&v);
nt[u]=v;
ban[v]=true;//v被缩到u的集合中去,在新图中相当于被ban掉了
merge(u,v);
}
for(int i=1;i<=n;i++)//缩点
{
if(ban[i])
continue;
id++;
int pos=i;
while(pos&&!c[pos])//注意这里会出现环的情况
{
ord[pos]=dcc[id].size();
dcc[id].push_back(pos);
c[pos]=id;
pos=nt[pos];
}
}
for(int i=1;i<=n;i++)//如果拓扑存在环的话,就不会被遍历到
if(!c[i])
return 0*puts("0");
for(int i=1;i<=n;i++)//建边
{
if(i==rt)
continue;
if(c[i]!=c[p[i]])
{
node[c[p[i]]].push_back(c[i]);
du[c[i]]++;
}
else if(ord[p[i]]>ord[i])//特判
return 0*puts("0");
}
if(topo(c[rt])!=id)//拓扑中有环
return 0*puts("0");
for(auto it:ans)
printf("%d ",it);
puts("");
return 0;
}
最后
以上就是尊敬唇膏最近收集整理的关于CodeForces - 1463E Plan of Lectures(拓扑排序+并查集缩点)的全部内容,更多相关CodeForces内容请搜索靠谱客的其他文章。
发表评论 取消回复