最近在学习PCA,在学习过程中简单地记录下来,欢迎大家指正。
1.PCA简介
1.1PCA主要思想
PCA,即主成分分析方法,是一种使用最广泛的数据降维算法。PCA的主要思想是将n维特征映射到k维上,这k维是全新的正交特征也被称为主成分,是在原有n维特征的基础上重新构造出来的k维特征。PCA的工作就是从原始的空间中顺序地找一组相互正交的坐标轴,新的坐标轴的选择与数据本身是密切相关的。其中,第一个新坐标轴选择是原始数据中方差最大的方向,第二个新坐标轴选取是与第一个坐标轴正交的平面中使得方差最大的,第三个轴是与第1,2个轴正交的平面中方差最大的。依次类推,可以得到n个这样的坐标轴。通过这种方式获得的新的坐标轴,我们发现,大部分方差都包含在前面k个坐标轴中,后面的坐标轴所含的方差几乎为0。于是,我们可以忽略余下的坐标轴,只保留前面k个含有绝大部分方差的坐标轴。事实上,这相当于只保留包含绝大部分方差的维度特征,而忽略包含方差几乎为0的特征维度,实现对数据特征的降维处理。
计算数据矩阵的协方差矩阵,然后得到协方差矩阵的特征值和特征向量,选择特征值最大(即方差最大)的k个特征所对应的特征向量组成的矩阵。
由于得到协方差矩阵的特征值特征向量有两种方法:特征值分解协方差矩阵、奇异值分解协方差矩阵,所以PCA算法有两种实现方法:基于特征值分解协方差矩阵实现PCA算法、基于SVD分解协方差矩阵实现PCA算法。
1.1.1特征值分解
对于矩阵A,有一组特征向量v,将这组向量进行正交化单位化,就能得到一组正交单位向量。特征值分解,就是将矩阵A分解为如下式:

其中,Q是矩阵A的特征向量组成的矩阵,∑ 则是一个对角阵,对角线上的元素就是特征值,由大到小排列。这些特征值所对应的特征向量就是描述这个矩阵变换方向(从主要的变化到次要的变化排列)。
特征值分解可以得到特征值与特征向量,特征值表示的是这个特征到底有多么重要,而特征向量表示这个特征是什么,可以将每一个特征向量理解为一个线性的子空间,我们可以利用这些线性的子空间干很多事情。不过,特征值分解也有很多的局限,比如说变换的矩阵必须是方阵。
1.1.2 SVD分解
特征值分解最大的问题是只能针对方阵,即n*n的矩阵。而在实际的应用中,我们分解的大部分都不是方阵。此时,就可以用SVD对非方阵矩阵进行分解。
奇异值分解能适用于任意矩阵,对于任意矩阵A总是存在一个奇异值分解:

假设A是一个m*n的矩阵,那么得到的U是一个m*m的方阵,U里面的正交向量被称为左奇异向量。Σ是一个m*n的矩阵,Σ除了对角线其它元素都为0,对角线上的元素称为奇异值。 V的转置矩阵,是一个n*n的矩阵,它里面的正交向量被称为右奇异值向量。而且一般来讲,我们会将Σ上的值按从大到小的顺序排列。
如何求得左奇异向量、右奇异向量和奇异值呢?
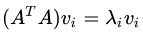
用矩阵A的转置乘以A,得到一个方阵,用这样的方阵进行特征分解,得到的特征值和特征向量满足下面的等式:

这里的vi就是我们要求的右奇异向量。
其次,我们将A和A的转置做矩阵的乘法,得到一个方阵,用这样的方阵进行特征分解,得到的特征和特征向量满足下面的等式:

这里的ui就是左奇异向量。
此外,我们还可以得到奇异值:

奇异值分解的优点:
在奇异值分解矩阵中Σ里面的奇异值按从大到小的顺序排列,奇异值从大到小的顺序减小的特别快。在很多情况下,前10%甚至1%的奇异值的和就占了全部的奇异值之和的99%以上。也就是说,剩下的90%甚至99%的奇异值几乎没有什么作用。因此,我们可以用前面r个大的奇异值来近似描述矩阵,于是奇异值分解公式可以写成如下:

其中r是一个远远小于m和n的数,右边的三个矩阵相乘的结果将会使一个接近A的矩阵。如果r越接近于n,则相乘的结果越接近于A。如果r的取值远远小于n,从计算机内存的角度来说,右边三个矩阵的存储内存要远远小于矩阵A的。所以在奇异值分解中r的取值很重要,就是在计算精度和时间空间之间做选择。
1.1.3 奇异值分解举例
矩阵A定义为:





1.2 概率论的一些准备知识
样本均值:

样本方差:

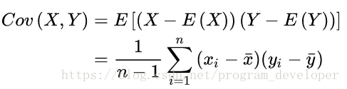
样本X和样本Y的协方差:

协方差为正时,说明X和Y是正相关关系;协方差为负时,说明X和Y是负相关关系;协方差为0时,说明X和Y是相互独立。Cov(X,X)就是X的方差。当样本是n维数据时,它们的协方差实际上是协方差矩阵(对称方阵)。例如,对于3维数据(x,y,z),计算它的协方差就是:

2.PCA的两种实现
2.1 基于特征值分解的PCA
输入:数据集
,需要降到k维。
1) 去平均值(即去中心化),即每一位特征减去各自的平均值。、
2) 计算协方差矩阵
注:这里除或不除样本数量n或n-1,其实对求出的特征向量没有影响。
3) 用特征值分解方法求协方差矩阵的特征值与特征向量。
4) 对特征值从大到小排序,选择其中最大的k个。然后将其对应的k个特征向量分别作为行向量组成特征向量矩阵P。
5) 将数据转换到k个特征向量构建的新空间中,即Y=PX。
举例:

以X为例,我们用PCA方法将这两行数据降到一行。
1)因为X矩阵的每行已经是零均值,所以不需要去平均值。
2)求协方差矩阵:

3)求协方差矩阵的特征值与特征向量。
求解后的特征值为:

对应的特征向量为:

其中对应的特征向量分别是一个通解,和可以取任意实数。那么标准化后的特征向量为:

4)矩阵P为:

5)最后我们用P的第一行乘以数据矩阵X,就得到了降维后的表示:

结果如图

2.2基于SVD的PCA
1) 去平均值,即每一位特征减去各自的平均值。
2) 计算协方差矩阵。
3) 通过SVD计算协方差矩阵的特征值与特征向量。
4) 对特征值从大到小排序,选择其中最大的k个。然后将其对应的k个特征向量分别作为列向量组成特征向量矩阵。
5) 将数据转换到k个特征向量构建的新空间中。
3.Python实现
##Python实现PCA
import numpy as np
def pca(X,k):#k is the components you want
#mean of each feature
n_samples, n_features = X.shape
mean=np.array([np.mean(X[:,i]) for i in range(n_features)])
#normalization
norm_X=X-mean
#scatter matrix
scatter_matrix=np.dot(np.transpose(norm_X),norm_X)
#Calculate the eigenvectors and eigenvalues
eig_val, eig_vec = np.linalg.eig(scatter_matrix)
eig_pairs = [(np.abs(eig_val[i]), eig_vec[:,i]) for i in range(n_features)]
# sort eig_vec based on eig_val from highest to lowest
eig_pairs.sort(reverse=True)
# select the top k eig_vec
feature=np.array([ele[1] for ele in eig_pairs[:k]])
#get new data
data=np.dot(norm_X,np.transpose(feature))
return data
X = np.array([[-1, 1], [-2, -1], [-3, -2], [1, 1], [2, 1], [3, 2]])
print(pca(X,1))
##用sklearn的PCA
from sklearn.decomposition import PCA
import numpy as np
X = np.array([[-1, 1], [-2, -1], [-3, -2], [1, 1], [2, 1], [3, 2]])
pca=PCA(n_components=1)
pca.fit(X)
print(pca.transform(X))
4.选择降维后的维度K(主成分的个数)
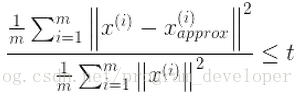
如何选择主成分个数K呢?先来定义两个概念:

选择不同的K值,然后用下面的式子不断计算,选取能够满足下列式子条件的最小K值即可。

其中t值可以由自己定,比如t值取0.01,则代表了该PCA算法保留了99%的主要信息。当你觉得误差需要更小,你可以把t值设置的更小。上式还可以用SVD分解时产生的S矩阵来表示,如下面的式子:

参考资料:https://blog.csdn.net/program_developer/article/details/80632779
最后
以上就是甜蜜马里奥最近收集整理的关于PCA降维算法1.PCA简介2.PCA的两种实现3.Python实现 4.选择降维后的维度K(主成分的个数)的全部内容,更多相关PCA降维算法1.PCA简介2.PCA内容请搜索靠谱客的其他文章。
发表评论 取消回复