简介
莫队是由莫涛队长整理的一种算法,是一种暴力优化的将数据强制离线进行处理的算法。
本文讲介绍几种常见的莫队。但有一个公共前提:莫队算法是个离线算法,对于强制在线的做法是不适用的。与其他很多算法(如树状数组、线段树)类似,莫队算法也用到了分块的思想。
Part 1:普通莫队
原理简述
我们将整一个长度为 n n n 的数组分成 n sqrt{n} n 块。接着,对于任意两个询问 [ l i , r i ] , [ l j , r j ] lbrack l_i,r_irbrack,lbrack l_j,r_jrbrack [li,ri],[lj,rj],如果 l i , l j l_i,l_j li,lj 所在区间不同,就按区间排序,否则按 r i , r j r_i,r_j ri,rj 排序。
排完序后,我们从 1 1 1 到 n sqrt{n} n 处理每一个块的查询,最终就可以得到结果。
下面是一波不算强的强势图解:
设数组长度为 9 9 9,有以下询问: ( 1 , 9 ) , ( 7 , 8 ) , ( 2 , 4 ) , ( 1 , 7 ) , ( 4 , 9 ) , ( 5 , 6 ) , ( 5 , 8 ) , ( 3 , 6 ) (1,9),(7,8),(2,4),(1,7),(4,9),(5,6),(5,8),(3,6) (1,9),(7,8),(2,4),(1,7),(4,9),(5,6),(5,8),(3,6)。
- 排序,排序完后如图所示:

- 操作。
- 定义一个左指针 s s s 和一个右指针 t t t,初始时是一个空区间,即 s = 1 , t = 0 s=1,t=0 s=1,t=0(注意 t = 1 t=1 t=1 不是空区间,还有一个元素)。
- 第一组询问:
l
=
2
,
r
=
4
l=2,r=4
l=2,r=4。将左右指针移动到对应位置后,如图:

- 第二组询问:
l
=
3
,
r
=
6
l=3,r=6
l=3,r=6。将左右指针移动到对应位置后,如图:

- 第二组询问:
l
=
3
,
r
=
6
l=3,r=6
l=3,r=6。将左右指针移动到对应位置后,如图:

- 以此类推,剩下的询问都是这么操作,直到得出最后结果。
看完图示,相信大家应该对莫队的原理有一定的了解了。
复杂度分析
开门见山:莫队算法的时间复杂度是 O ( n n ) O(n sqrt{n}) O(nn)。
罕见地证明一下:
首先易得莫队的复杂度主要体现在左右指针的移动上。那我们分左右指针探讨复杂度。
- 左指针 s s s:
- 因为有 n sqrt{n} n 块,所以 s s s 在区间间跳动的复杂度是 O ( n ) O(sqrt{n}) O(n),总距离 O ( n ) O(n) O(n)。
- 由 1 可得在同一个块内转移次数为 O ( n − n ) O(n-sqrt{n}) O(n−n),加上每次查询的时间复杂度是 O ( n ) O(sqrt{n}) O(n),可得 s s s 的总复杂度为 O ( n ) + O ( n − n ) × O ( n ) = O ( n n ) O(n)+O(n-sqrt{n})times O(sqrt{n})=O(nsqrt{n}) O(n)+O(n−n)×O(n)=O(nn)。
- 右指针 t t t:
- t t t 在每一个 s s s 的转移时间为 O ( n ) O(n) O(n)(因为排序没有要求右指针的排列,所以它是无序的)。
- 又因为一共有 n sqrt{n} n 块,所以 t t t 的时间复杂度为 O ( n n ) O(nsqrt{n}) O(nn)。
综上所述,莫队算法的时间复杂度就是 O ( n n ) O(nsqrt{n}) O(nn)。
例题
P1494 小z的袜子。
首先想到暴力:每次枚举
[
l
,
r
]
lbrack l,r rbrack
[l,r] 暴力求解。时间复杂度
O
(
n
m
)
O(nm)
O(nm),妥妥的 Time Limit Enough 。
因为是静态区间询问,并且没有强制在线,所以考虑莫队。
设 c n t i cnt_i cnti 为当前区间第 i i i 种颜色数量。对于一个区间 [ l , r ] lbrack l,rrbrack [l,r],一共有 C r − l + 1 2 C_{r-l+1}^2 Cr−l+12 种选法;每一对袜子对这个区间的的贡献为 C c n t i 2 C_{cnt_i}^2 Ccnti2,最后求个最大公因数约分,问题就解决了。
Code:
#include<bits/stdc++.h>
#define int long long
using namespace std;
const int N = 50000 + 10;
int n, m, now, k, cnt[N], ret[N], a[N];
struct query{int l, r, id;} q[N];
bool cmp(query i, query j){
if(i.l / k != j.l / k) return i.l < j.l;//注意不是 i.l < j.l
return i.r < j.r;
}
bool cmp2(query i, query j){return i.id < j.id;}//输出答案用的
void add(int x){
now -= cnt[x] * (cnt[x] - 1) / 2;//减去不在区间内的元素
cnt[x]++;
now += cnt[x] * (cnt[x] - 1) / 2;//加上新的元素
}
void del(int x){
now -= cnt[x] * (cnt[x] - 1) / 2;//减去不在区间内的元素
cnt[x]--;
now += cnt[x] * (cnt[x] - 1) / 2;//加上新的元素
}
signed main(){
scanf("%lld%lld", &n, &m);
for(int i=1;i<=n;i++) scanf("%lld", &a[i]);
for(int i=1;i<=m;i++){
scanf("%lld%lld", &q[i].l, &q[i].r);
q[i].id = i;
}
k = sqrt(n);//排序要用
sort(q + 1, q + 1 + m, cmp);
int s = 1, t = 0;//表示空区间
//注意:s=1, t=1不是空区间,还有一个元素
for(int i=1;i<=m;i++){//以下四步结合图解理解
while(s > q[i].l) add(a[--s]);
while(t < q[i].r) add(a[++t]);
while(s < q[i].l) del(a[s++]);
while(t > q[i].r) del(a[t--]);
ret[q[i].id] = now;//记录答案
}
sort(q + 1, q + 1 + m, cmp2);
for(int i=1;i<=m;i++){
if(q[i].r == q[i].l){
printf("0/1n");
continue;
}//题目数据特判
int tot = (q[i].r - q[i].l + 1) * (q[i].r - q[i].l) / 2;//总共选法
int g = __gcd(ret[i], tot);//约分用的
printf("%lld/%lldn", ret[i] / g, tot / g);
}
return 0;
}
Part 2:带修莫队
原理
其实这东西是跟普通莫队一起学的,但可能题练得少,再看的时候已经没印象了。
带修莫队其实就是在普通莫队上加了个时间维度。类似主席树,我们在每次的查询操作中,记录一个 v e r ver ver 表示当前查询是基于第几个版本的。当然,这里的查询不算一个新版本,只有更新的时候才会产生新版本。
两个查询的 v e r ver ver 越相近,证明它们版本的相似度越高,更新次数就越少。但因为其不涉及到左右指针的移动,并且相对来说操作次数较小,所以我们将其作为第三关键字排序,仍然以左右端点作为主要对象。
时间复杂度分析
这个东西显然跟莫队的块长有关系,直接上结论:每块大小在 n 2 3 n^{frac{2}{3}} n32 时会有最优复杂度。
怎么取到这个数的我就不讲了,因为证明过程十分复杂,解出来一堆带未知数的东西。我来分析分析移动指针的复杂度(假设 n , m n,m n,m 同阶):
- 左指针:每个询问最多移动 n 2 3 n^{frac{2}{3}} n32 次(全为块内移动), n n n 次询问总共 O ( n 5 3 ) O(n^{frac{5}{3}}) O(n35)。
- 右指针:每次询问最多 n n n 次,但左端点在一个块内时,右指针单调上升,即它最多只会“重置” n 2 3 n^{frac{2}{3}} n32 次(每块重置一次),总时间复杂度 O ( n 5 3 ) O(n^{frac{5}{3}}) O(n35)。
- 时间指针:左右端点皆一致时, t t t 指针单调上升。而左右端点最多只会变动 n 1 3 × n 1 3 = n 2 3 n^{frac{1}{3}}times n^{frac{1}{3}}=n^{frac{2}{3}} n31×n31=n32,加上同块内转移的 O ( n ) O(n) O(n),时间复杂度 O ( n 5 3 ) O(n^{frac{5}{3}}) O(n35)。
综上,三个指针移动的总次数都是 O ( n 5 3 ) O(n^{frac{5}{3}}) O(n35),所以总时间复杂度就是 O ( n 5 3 ) O(n^{frac{5}{3}}) O(n35)。
剩下的就跟普通莫队是一样的了,就是开多一个 c c c 表示当前版本号,在 s , t s,t s,t 指针移动完之后加个版本号的判断即可。
例题
P1903 是一道不错的题,但是网上到处都是,所以这里给 P2464 的题解,而 P1903 就作为练习题使用。
Part 3:树上莫队
树上莫队其实挺简单的。
显然不可能直接在树上放两个指针瞎搞,你都不知道往哪跳。
想想我们的树链剖分是怎么做的:化树成链,再用数据结构维护区间信息。树上莫队同样运用到了化树成链的思想。
化树成链其实有两种方法,取决于题目问什么。
d f n dfn dfn 序
这个 d f n dfn dfn 序跟树剖是一样的,就是记录这个节点是第几个被访问到的。所以,一个子树的 d f n dfn dfn 序是连续的(它们总是同时被遍历),因此碰到与子树相关的问题时,树上莫队的杀伤力是非常强的。
但是这种方式能被下面的东西代替,所以我们基本上用不到。
Euler 序(dfs 序)
一字之差的确大有不同。我们介绍一下。
原理
dfs 序的原理跟 dfn 序是一样的,但是它的不同之处在于,每个节点进去记一次,出来记一次。
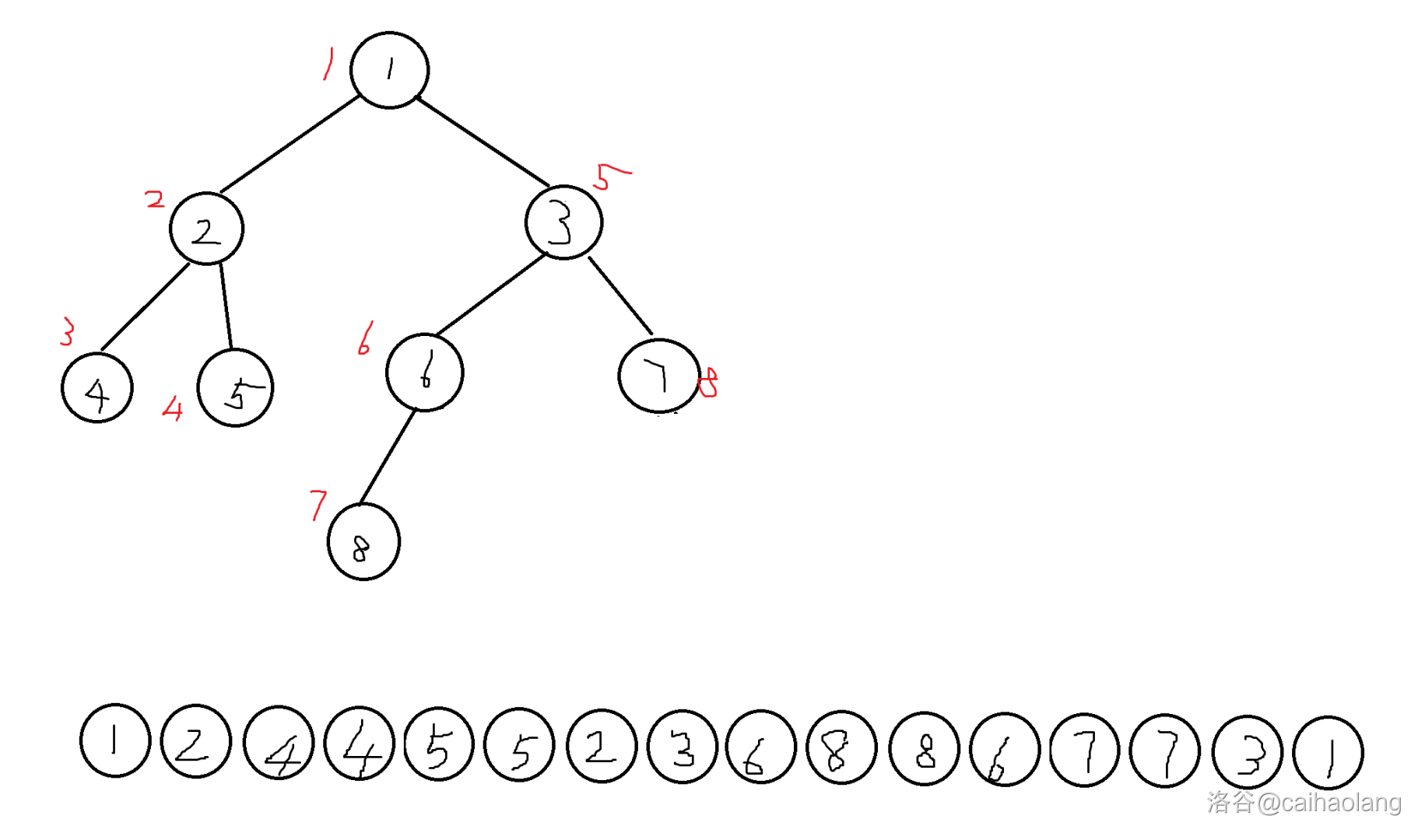
什么意思呢?看图吧。
如图,这是一棵树。红色笔是它们的 dfn 序,下面是整棵树的 dfs 序。
你会发现每个点都出现两次。是的,dfs 序按照 dfs 的顺序往下遍历,当进入以 u u u 为根的子树时,就放一个 u u u 进 dfs 序;离开以 u u u 为根的子树时,再放一个 u u u 进去。
这样,第一个 u u u 就是“进来”的地方,第二个 u u u 就是“出去”的地方,我们分别记为 i n u in_u inu 和 o u t u out_u outu。
来看些性质吧:
- 祖先关系路径:如果两个点 u , v u,v u,v,有其中一个是它们的 LCA,那么 u , v u,v u,v 两点的路径就是 i n u in_u inu 和 i n v in_v inv 之间只出现过一次的点。比如 1 , 8 1,8 1,8 两个点,它们的 i n in in 之间就是 1244552368 1244552368 1244552368,出现一次的就是 1368 1368 1368,正好是 1 1 1 到 8 8 8 的路径。
- 非祖先关系路径:如果两个点 u , v u,v u,v,有其中一个是它们的 LCA,那么 u , v u,v u,v 两点的路径就是 o u t u out_u outu 和 i n v in_v inv 或者 o u t v out_v outv 和 i n u in_u inu 之间(哪两个挨得近就是哪个)只出现过一次的点,加上 LCA 这个点。比如 7 , 8 7,8 7,8 两个点,它们之间就是 867 867 867,加个 LCA,就是 3 3 3, 8673 8673 8673 正好是它们的路径。
也就是说,两点之间的路径问题,我们可以转化为区间了!
同时, u u u 的子树就是 i n u in_u inu 和 o u t u out_u outu 之间的所有点了,所以子树问题也可以解决。
这跟莫队联系非常大。因为出现两次的点不在路径上,所以当这个点第一次出现时,我们就添加信息;第二次出现时,我们就删除信息。
例题
然后就做完了。我们来看看例题吧:SP10707 Count on a tree II。
这个题就是把数颜色搬到树上,按上述步骤把其化为序列问题就可以用莫队解决。
注意倍增 LCA dfs 的时候传参是 dfs(1, 1) 而不是 dfs(1, 0)。
struct event{
int s, t, idx;
bool operator < (const event &p) const {
if(s / blk != p.s / blk)
return s < p.s;
return t < p.t;
}
} q[M];
void add(int u, int v){
to[++id] = v;
nxt[id] = head[u], head[u] = id;
}
void dfs(int u, int fa){
f[u][0] = fa;
in[u] = ++clk, euler[clk] = u;
for(int i=1;i<=16;i++)
f[u][i] = f[f[u][i - 1]][i - 1];
for(int i=head[u];i;i=nxt[i]){
int v = to[i];
if(v == fa)
continue;
dep[v] = dep[u] + 1;
dfs(v, u);
}
out[u] = ++clk, euler[clk] = u;
}
int lca(int u, int v){
if(dep[u] < dep[v])
swap(u, v);
for(int i=16;i>=0;i--)
if(dep[f[u][i]] >= dep[v])
u = f[u][i];
if(u == v)
return u;
for(int i=16;i>=0;i--)
if(f[u][i] != f[v][i])
u = f[u][i], v = f[v][i];
return f[u][0];
}
void calc(int k){
if(vis[k])
tot -= (--tcol[col[k]] == 0);
else
tot += (++tcol[col[k]] == 1);
vis[k] ^= 1;//每出现一次,这个点是否被统计的状态一定会发生改变
//统计出现次数也能做
}
int main(){
scanf("%d%d", &n, &m);
for(int i=1;i<=n;i++)
scanf("%d", &col[i]), a[i] = col[i];
sort(a + 1, a + 1 + n);
int len = unique(a + 1, a + 1 + n) - a - 1;
for(int i=1;i<=n;i++)
col[i] = lower_bound(a + 1, a + 1 + len, col[i]) - a;
for(int i=1,u,v;i<n;i++){
scanf("%d%d", &u, &v);
add(u, v), add(v, u);
}
dfs(1, 1);
blk = sqrt(clk);
for(int i=1,u,v;i<=m;i++){
scanf("%d%d", &u, &v);
if(in[u] > in[v])
swap(u, v);//保证 in[u] < in[v],这样 LCA(u,v) 一定不会等于 v
if(lca(u, v) == u)
q[i] = (event){in[u], in[v], i};
else
q[i] = (event){out[u], in[v], i};
//有个细节:u比v先进,如果u比v后出,那就是上面那种情况,所以必定 out[u]<out[v]
//而欧拉序遍历的是子树,只有包含关系而没有交错关系,所以 out[u] 必定小于 in[v]
}
sort(q + 1, q + 1 + m);
int l = 1, r = 0;
for(int i=1;i<=m;i++){
while(r < q[i].t)
calc(euler[++r]);
while(l > q[i].s)
calc(euler[--l]);
while(r > q[i].t)
calc(euler[r--]);
while(l < q[i].s)
calc(euler[l++]);
int chl = lca(euler[q[i].s], euler[q[i].t]);
if(chl != euler[q[i].s] && chl != euler[q[i].t])
calc(chl);//记得计算 LCA 的贡献
ans[q[i].idx] = tot;
if(chl != euler[q[i].s] && chl != euler[q[i].t])
calc(chl);//别忘了还原
}
for(int i=1;i<=m;i++)
printf("%dn", ans[i]);
return 0;
}
Part 4:回滚莫队
Part 5:莫队二次离线
至此,莫队的几种常用的类型都已讲述完毕。但因为其同样大量运用到了分块的思想,所以十分适合与各种各样奇奇怪怪的分块配合(Ynoi 警告),形成巨大的杀伤力,用途十分广泛,是需要掌握的重要算法之一。
最后
以上就是轻松楼房最近收集整理的关于莫队全家桶 学习笔记简介Part 1:普通莫队Part 2:带修莫队Part 3:树上莫队Part 4:回滚莫队Part 5:莫队二次离线的全部内容,更多相关莫队全家桶内容请搜索靠谱客的其他文章。
发表评论 取消回复