安琪拉教鲁班学算法之BFS和DFS
《安琪拉与面试官二三事》系列文章
一个HashMap能跟面试官扯上半个小时
一个synchronized跟面试官扯了半个小时《安琪拉教鲁班学算法》系列文章
安琪拉教鲁班学算法之动态规划
安琪拉教鲁班学算法之BFS和DFS
BFS 和 DFS在算法中属于有举足轻重的地位,本文希望通过使用王者峡谷二位脆皮英雄对话的方式讲解动态规划,让大家在轻松愉快的氛围中搞懂BFS 和 DFS。
鲁班: 安琪拉,你知道 BFS 和DFS 吗?
安琪拉:当然知道啊,BFS 全程是 广度优先搜索, DFS 指的是深度优先搜索。
鲁班: 安琪拉妹妹,你这么说我还是很蒙,能跟我详细讲讲吗?
安琪拉:鲁班哥哥,看你求知欲这么强,咱俩又都是脆皮的份上,我给你讲讲BFS 和 DFS。
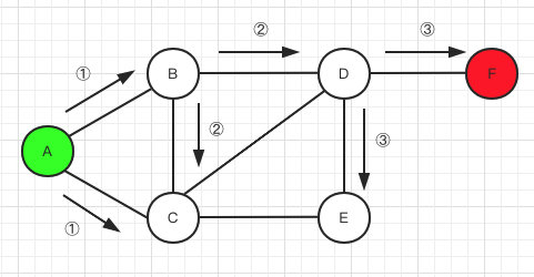
以下图为例,

广度优先搜索 和 深度优先搜索都是遍历图/树 节点的方式
广度优先搜索: 如下图所示,广度优先搜索,例如从上图中选取一个节点A,作为起点,宽度优先搜索,遍历的方式是遍历A、 和A相连的B和C,和B相连的D,和C相连的E,和D相连的F,以这样的顺序访问图中的节点。

深度优先搜索:还是以A作为起点,一直走到底,直到不能访问,再回退,A => B => D => F =>E => C

代码实现例子:
public static void main(String[] args) {
//以map 存储图中节点的关系 A 相连的节点为 B、C
//就可表示为 List<Character> aList = new LinkedList<>(Arrays.asList('B','C'));
Map<Character, List<Character>> graph = buildGraph();
dfs(graph, 'A');
bfs(graph, 'A');
}
// 构造图
private static Map<Character,List<Character>> buildGraph(){
Map<Character, List<Character>> graph = new HashMap<>();
List<Character> aList = new LinkedList<>(Arrays.asList('B','C'));
List<Character> bList = new LinkedList<>(Arrays.asList('A','C','D'));
List<Character> cList = new LinkedList<>(Arrays.asList('A','B','D','E'));
List<Character> dList = new LinkedList<>(Arrays.asList('B','F','E','C'));
List<Character> eList = new LinkedList<>(Arrays.asList('C','D'));
List<Character> fList = new LinkedList<>(Arrays.asList('D'));
graph.put('A',aList);
graph.put('B',bList);
graph.put('C',cList);
graph.put('D',dList);
graph.put('E',eList);
graph.put('F',fList);
return graph;
}
/**
* 深度优先搜索 关键是使用栈来维护相邻后继节点
* @param graph 要遍历的图
* @param s 起始点
*/
public static void dfs(Map<Character,List<Character>> graph, Character s){
//走过的节点
Set<Character> visited = new HashSet<>();
Stack<Character> stack = new Stack<>();
stack.push(s);
while(!stack.empty()){
Character accessC = stack.pop();
if(!visited.contains(accessC)){
//访问函数
System.out.print("->"+accessC);
visited.add(accessC);
}
graph.get(accessC).forEach(c ->{
if(!visited.contains(c)){
stack.push(c);
}
});
}
}
/**
* 广度优先搜索 使用队列维护相邻后续节点
* @param graph
* @param s
*/
public static void bfs(Map<Character,List<Character>> graph, Character s){
//走过的节点
Set<Character> visited = new HashSet<>();
Queue<Character> queue = new LinkedList<>();
queue.offer(s);
while (!queue.isEmpty()){
Character accessC = queue.poll();
if(!visited.contains(accessC)){
//访问函数
System.out.print("->"+accessC);
visited.add(accessC);
}
graph.get(accessC).forEach(c ->{
if(!visited.contains(c)){
queue.offer(c);
}
});
}
}
欢迎大家关注 Wx公众号:安琪拉的博客 获取更多技术资料
最后
以上就是专一水池最近收集整理的关于安琪拉教鲁班学算法之BFS和DFS的全部内容,更多相关安琪拉教鲁班学算法之BFS和DFS内容请搜索靠谱客的其他文章。
本图文内容来源于网友提供,作为学习参考使用,或来自网络收集整理,版权属于原作者所有。
发表评论 取消回复