我是靠谱客的博主 爱听歌日记本,这篇文章主要介绍RNN里 门(gate) 的理解,现在分享给大家,希望可以做个参考。

门不是像mask一样造成 0 1 的输出,
而是限流的作用,控制数值大小,这靠 点乘 操作实现,
(点乘而不求和就没有cosine相似度的含义,)
要控制数值大小,点乘是最好的选择。
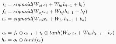
这时再看LSTM的公式,
LSTM
公式里 i f o 明显就是将 点乘 的另一乘数 限流/控制了,

最后

以上就是爱听歌日记本最近收集整理的关于RNN里 门(gate) 的理解的全部内容,更多相关RNN里内容请搜索靠谱客的其他文章。

本图文内容来源于网友提供,作为学习参考使用,或来自网络收集整理,版权属于原作者所有。
点赞(174)

评论列表共有 0 条评论

立即
投稿
返回
顶部